全部版块 我的主页
论坛 数据科学与人工智能 数据分析与数据科学 R语言论坛
4755 4
2017-12-07
现在,我采用nnet包中nnet函数进行神经网络预测,但是我对结果有一些困惑。
问题在于:
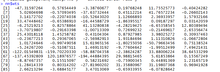
通过模型的预测nn$wts的不是说是w、b的值,对吗?但是,我的结果让我很困惑,因为我只有9个输入变量,但是这个nn$wts出现了89个数,不知道这89个数分别代表什么是哪个输入量的参数值,谢谢!!
nn <-nnet(ycsc[,11]~ycsc[,1]++ycsc[,2]+ycsc[,3]+ycsc[,4]+ycsc[,5]+ycsc[,6]+ycsc[,7]+ycsc[,8]+ycsc[,9],ycsc[1:150000, ], size =8, decay = 0.00000001 , maxit = 10000, linout = T, trace = T)
predict <- predict(nn,ycsc[, 1:9])


得到的结果是:
nn$wts的结果


得到以上的结果:我的疑惑:
不理解:上述结果中的值各自代表的是哪些输入量的参数???谢谢!!
二维码

扫码加我 拉你入群

请注明:姓名-公司-职位

以便审核进群资格,未注明则拒绝

全部回复
2019-3-5 21:08:43
你好,请问你最后弄明白了吗?我也遇到了相同的问题,想求助你!
二维码

扫码加我 拉你入群

请注明:姓名-公司-职位

以便审核进群资格,未注明则拒绝

2019-4-19 09:18:40
第一层9个输入加偏置一起10个变量,隐藏层8个,10*8=80个系数;
第二层8个隐藏节点加偏置一起9个变量,输出1个,9*1=9个系数;
总共80+9=89
二维码

扫码加我 拉你入群

请注明:姓名-公司-职位

以便审核进群资格,未注明则拒绝

2019-4-19 15:20:47
zijin1218 发表于 2019-4-19 09:18
第一层9个输入加偏置一起10个变量,隐藏层8个,10*8=80个系数;
第二层8个隐藏节点加偏置一起9个变量,输出 ...
你好哦,请问nnet包不是只适用单层神经网络吗?(详见help(nnet)
二维码

扫码加我 拉你入群

请注明:姓名-公司-职位

以便审核进群资格,未注明则拒绝

2019-4-19 15:31:58
雪凤夏洛 发表于 2019-4-19 15:20
你好哦,请问nnet包不是只适用单层神经网络吗?(详见help(nnet)
单层是指只有一层隐藏层。输入层和隐藏层之间有一个权重矩阵(10*8大小),隐藏层和输出层之间也有一个权重矩阵(9*1大小)
二维码

扫码加我 拉你入群

请注明:姓名-公司-职位

以便审核进群资格,未注明则拒绝

相关推荐
栏目导航
热门文章
推荐文章

说点什么

分享

扫码加好友,拉您进群
各岗位、行业、专业交流群