全部版块 我的主页
论坛 计量经济学与统计论坛 五区 计量经济学与统计软件 IRT理论相关软件
2731 6
2017-12-19
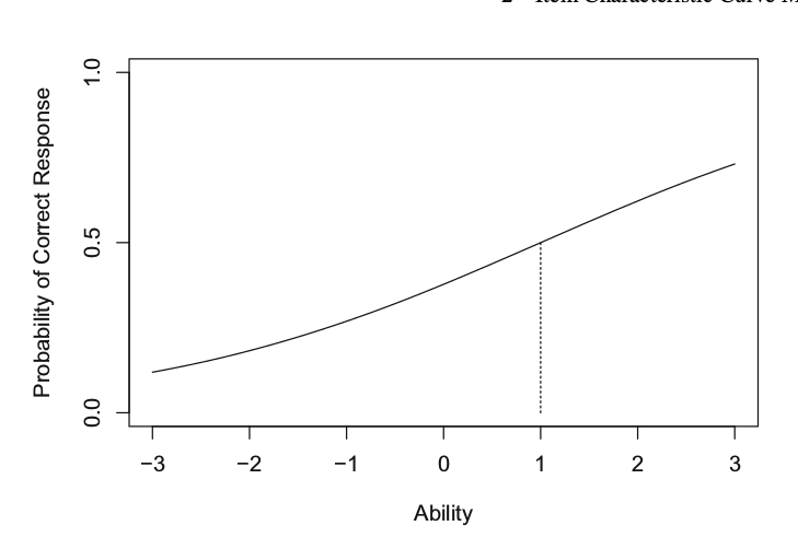
如题这次分享二参数模型:
一,二参数模型定义





这个方程表示一族由参数b和a所定义的个体曲线,因此称为二参数模型.
二,数值计算
b = 1.0   :the item difficulty parameter  
a = 0.5   : the item discrimination parameter   
[LaTex]\theta \in [-3,3][/LaTex] : performed at the ability level:
计算结果如下:
2017-12-19 21-12-55屏幕截图.png
图形展示为:
2017-12-19 21-14-42屏幕截图.png

三,R语言代码实践
PL=function(a,b){
theta <- seq(-3, 3, 1)
L <- a * (theta - b)
P <- 1 / (1 + exp(-L))
x1 <- cbind(theta,L)
x2 <- cbind(x1,exp(-L))
x3 <- cbind(x2,1 + exp(-L))
result <- cbind(x3,P)
colnames(result) <-c("ability,theta","logit,L","exp(-L)","1+exp(-L)","p(theta)")
plot(theta,P,type = "l",xlab="Ability", ylab="Probability of Correct Response")
abline(v=1,col=c("blue"),lty=1,lwd=1)
return(result)
}

PL(0.5,1)
结果如下:

    ability,theta logit,L   exp(-L) 1+exp(-L)  p(theta)
[1,]            -3    -2.0 7.3890561  8.389056 0.1192029
[2,]            -2    -1.5 4.4816891  5.481689 0.1824255
[3,]            -1    -1.0 2.7182818  3.718282 0.2689414
[4,]             0    -0.5 1.6487213  2.648721 0.3775407
[5,]             1     0.0 1.0000000  2.000000 0.5000000
[6,]             2     0.5 0.6065307  1.606531 0.6224593
[7,]             3     1.0 0.3678794  1.367879 0.7310586

Rplot0111.png


附件列表
2017-12-19 20-51-37屏幕截图.png

原图尺寸 33.36 KB

2017-12-19 20-51-37屏幕截图.png

二维码

扫码加我 拉你入群

请注明:姓名-公司-职位

以便审核进群资格,未注明则拒绝

全部回复
2017-12-19 21:53:34
二维码

扫码加我 拉你入群

请注明:姓名-公司-职位

以便审核进群资格,未注明则拒绝

2017-12-19 22:02:25
beijin2008 发表于 2017-12-19 21:53
二维码

扫码加我 拉你入群

请注明:姓名-公司-职位

以便审核进群资格,未注明则拒绝

2017-12-20 11:45:46
二维码

扫码加我 拉你入群

请注明:姓名-公司-职位

以便审核进群资格,未注明则拒绝

2017-12-30 09:03:45
军旗飞扬 发表于 2017-12-20 11:45
欢迎留言交流。
二维码

扫码加我 拉你入群

请注明:姓名-公司-职位

以便审核进群资格,未注明则拒绝

2018-4-20 19:09:39
请问有专门的教材教用r代码分析irt吗?
二维码

扫码加我 拉你入群

请注明:姓名-公司-职位

以便审核进群资格,未注明则拒绝

点击查看更多内容…
栏目导航
热门文章
推荐文章

说点什么

分享

扫码加好友,拉您进群
各岗位、行业、专业交流群