全部版块 我的主页
论坛 经济学论坛 三区 宏观经济学
5660 0
2017-12-22
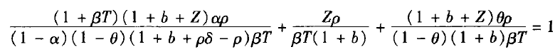
在做宏观模型中,经常会用到比较静态分析。
简单来说,假设我们已经设计好了模型:
p.png
因为模型的设定存在诸多假设与缺陷,所以不能够保证α、β、ρ等的关系存在一一对应,但是根据我们模型合理的假设,各个变量之间的正负向关系应该是可以确定的,所以可以采用比较静态分析:
当α变动一个单位的时候其他变量会如何变动,这样的分析是可以的;这也叫作比较静态分析。

另外,附件中是比较静态分析中的相关方法,来自论坛其他会员整理的到,原网址为:https://bbs.pinggu.org/thread-75486-1-1.html

二维码

扫码加我 拉你入群

请注明:姓名-公司-职位

以便审核进群资格,未注明则拒绝

相关推荐
栏目导航
热门文章
推荐文章

说点什么

分享

扫码加好友,拉您进群
各岗位、行业、专业交流群