经管之家App
让优质教育人人可得
立即打开
全部版块
我的主页
›
论坛
›
计量经济学与统计论坛 五区
›
计量经济学与统计软件
›
Stata专版
求助 Stata 做probit极大似然估计!!
楼主
鹦鹉洲419
3277
2
收藏
2018-01-14
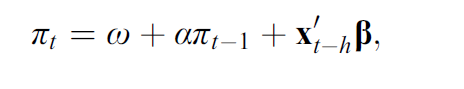
如题 我在做一种用到自回归probit 模型的论文 ,只是stata没有处理时间序列的动态probit模型包,只有处理面板数据的。
模型相较于原始的probit模型
然后我就用极大似然方法写了一个:调用之后的结果显示 如上图 我使用mlabel 作为被解释变量。 l11spread l1r l1pe 等作为解释变量
扫码加我 拉你入群
请注明:姓名-公司-职位
以便审核进群资格,未注明则拒绝
全部回复
沙发
鹦鹉洲419
2018-1-14 15:34:56
请问我这个问题出在哪,怎样修改stata 程序呢
扫码加我 拉你入群
请注明:姓名-公司-职位
以便审核进群资格,未注明则拒绝
藤椅
鹦鹉洲419
2018-1-14 16:49:59
已经解决啦,可能是我电脑内存不够的问题,我还了下收敛的方式。。。tech就好了
扫码加我 拉你入群
请注明:姓名-公司-职位
以便审核进群资格,未注明则拒绝
相关推荐
关于用stata做极大似然估计的问题
[求助]有没有人对probit模型做过极大似然估计
求助极大似然估计如何在stata中实现
在stata中如何做参数的极大似然估计?
求助 STATA如何做随机前沿函数的极大似然估计
stata做服从泊松过程的极大似然估计
stata中极大似然估计
如何直接在Stata里做简单的极大似然估计?
stata中极大似然估计编程求助
stata做异方差的极大似然估计
栏目导航
stata专版
学道会
经管文库
真实世界经济学(含财经时事)
行业分析报告
文献求助专区
热门文章
《那年2003:我双手插兜,搞钱不知什么叫对 ...
大势与抉择:关键趋势20讲(马江博)
国家新纪元:人工智能时代的力量与优势
《那年2003》第67章:预警信号频发?CDA老哥 ...
《那年2003》 第66章:时间管理大师?周旋于 ...
无限维空间上的测度和积分
北美PHD,焦虑的一批~
计算方法丛书006 无约束最优化计算方法 邓乃 ...
《信用价值论》社会再生产方程式解读 与在宏 ...
《信用价值论》社会再生产均衡方程式 在宏观 ...
推荐文章
2026JG学术冬训营:从Stata初高到Python机器 ...
【必看】【本版版规,欢迎发悬赏贴求助】
【新课】26年3月|Gemini辅助论文写作与数据 ...
关于如何利用文献的若干建议
关于学术研究和论文发表的一些建议
关于科研中如何学习基础知识的一些建议 (一 ...
一个自编的经济学建模小案例 --写给授课本科 ...
AI智能体赋能教学改革: 全国AI教育教学应用 ...
2025中国AIoT产业全景图谱报告-406页
关于文献求助的一些建议
说点什么
分享
微信
QQ空间
QQ
微博
扫码加好友,拉您进群
各岗位、行业、专业交流群