经管之家App
让优质教育人人可得
立即打开
全部版块
我的主页
›
论坛
›
数据科学与人工智能
›
数据分析与数据科学
›
SPSS论坛
求指点。二分变量作为自变量应该如何回归分析
楼主
我叫小面面
7182
4
收藏
2018-01-21
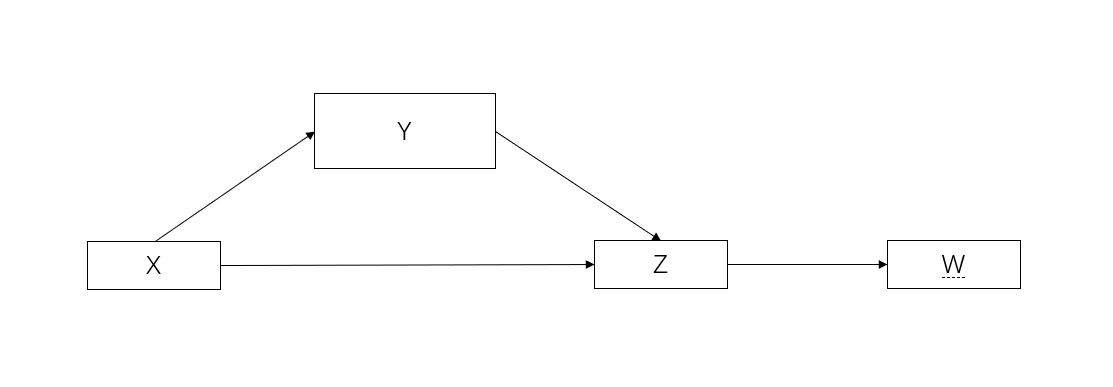
如下如所示,X为二分变量,取值为0和1。Y、Z和W变量为连续变量,求问各位大神我应该如何进行回归分析?
扫码加我 拉你入群
请注明:姓名-公司-职位
以便审核进群资格,未注明则拒绝
全部回复
沙发
kuangsir6
2018-1-22 06:44:00
T检验或非参数检验。看数据的情况而定。
扫码加我 拉你入群
请注明:姓名-公司-职位
以便审核进群资格,未注明则拒绝
藤椅
kuangsir6
2018-1-22 06:45:27
或者二元logistic回归。
扫码加我 拉你入群
请注明:姓名-公司-职位
以便审核进群资格,未注明则拒绝
板凳
我叫小面面
2018-1-23 22:02:41
kuangsir6 发表于 2018-1-22 06:45
或者二元logistic回归。
哦哦,好的,谢谢大神。
扫码加我 拉你入群
请注明:姓名-公司-职位
以便审核进群资格,未注明则拒绝
报纸
sunchuntao
2022-9-28 17:15:48
二元logistic是Y是二元变量,不是x
扫码加我 拉你入群
请注明:姓名-公司-职位
以便审核进群资格,未注明则拒绝
相关推荐
缺失值多重填补以后怎么作为自变量进行回归分析
回归分析自变量超过11000个怎么办
回归分析中如何能让更多的自变量通过t检验?
回归分析
急!!!有关论文结论的问题
自变量为分类变量的层次回归分析
回归分析中自变量取值范围太大如何处理
回归分析时自变量通不过T检验怎么破
回归分析中自变量的系数为负数,与理论相悖了怎么解释?
请问同一个量表中维度分作为自变量,总分作为因变量,两者之间可以做回归分析吗?
栏目导航
SPSS论坛
经管文库(原现金交易版)
休闲灌水
学术道德监督
行业分析报告
新手入门区
热门文章
通用指标与场景指标:CDA数据分析师的核心分 ...
2024年合集 ESG评级数据大全(彭博 华证 Wi ...
中国企业高质量发展展望穿越周期与聚力创新
中国企业高质量发展展望穿越周期与聚力创新
《那年2003:我双手插兜,搞钱不知什么叫对 ...
求文献“Using Survey Information for Imp ...
在概率与代码之间:Agent Skills 是 AI 的枷 ...
CDA数据分析脱产就业班于2026年3月7日开班! ...
参数估计:CDA数据分析师的核心推断工具,用 ...
GeoSaaS永久会员版
推荐文章
2026JG学术冬训营:从Stata初高到Python机器 ...
【必看】【本版版规,欢迎发悬赏贴求助】
【新课】26年3月|Gemini辅助论文写作与数据 ...
关于如何利用文献的若干建议
关于学术研究和论文发表的一些建议
关于科研中如何学习基础知识的一些建议 (一 ...
一个自编的经济学建模小案例 --写给授课本科 ...
AI智能体赋能教学改革: 全国AI教育教学应用 ...
2025中国AIoT产业全景图谱报告-406页
关于文献求助的一些建议
说点什么
分享
微信
QQ空间
QQ
微博
扫码加好友,拉您进群
各岗位、行业、专业交流群