经管之家App
让优质教育人人可得
立即打开
全部版块
我的主页
›
论坛
›
提问 悬赏 求职 新闻 读书 功能一区
›
经管百科
›
爱问频道
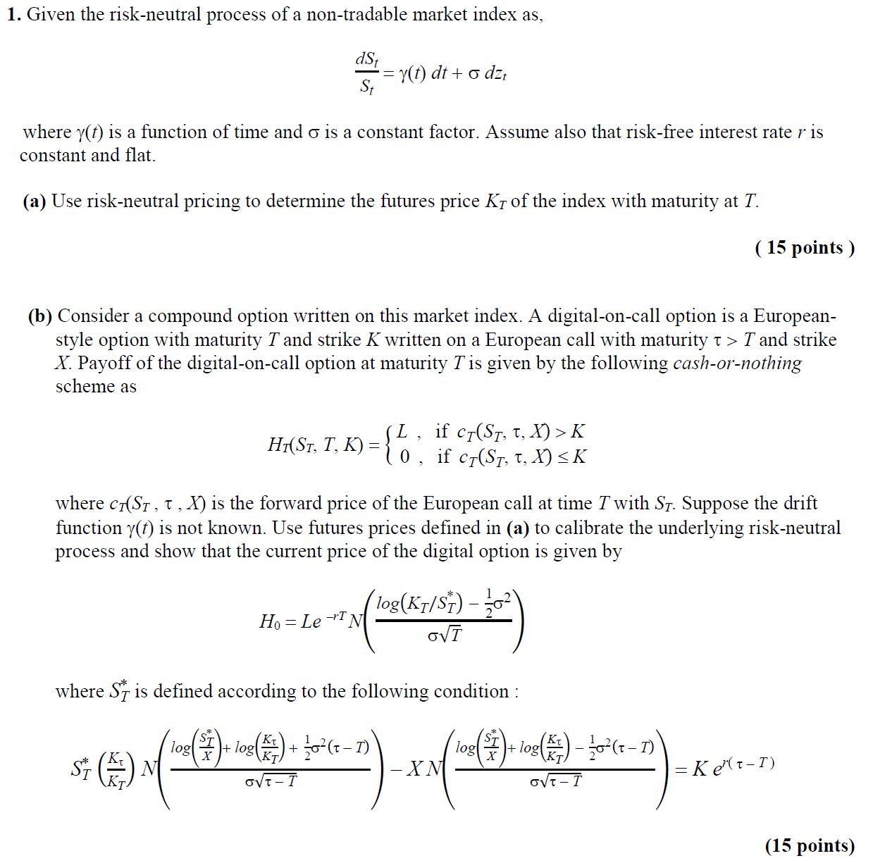
求一道期权定价试题的完整答案
楼主
测距机2010
1110
0
收藏
2018-02-08
悬赏
270
个论坛币
未解决
希望哪位朋友能打出完整答案,或者手写在纸上,拍照发上来也可以。要
答案完整,谢谢大家!
扫码加我 拉你入群
请注明:姓名-公司-职位
以便审核进群资格,未注明则拒绝
相关推荐
[求助]期权定价文献综述
期权定价理论
问一个关于多资产障碍期权定价的问题
期权定价理论及应用_陈舜
期权定价公式
【恳请指教】等概率三叉树为欧式期权定价,我的错误在哪?
外汇期权定价方法的论述及比较
求有股息的欧式看涨期权定价的程序
非完全市场上奇异期权定价研究
BS期权定价公式的数据实证及具体应用
栏目导航
爱问频道
商学院
区域经济学
市场营销
行业分析报告
SAS专版
热门文章
我该如何记住你?智能体记忆系统的演化之路
CDA数据分析脱产就业班于2026年3月7日开班! ...
无上高明的“无为”“无住”哲学在传统中国
新宏观丨中美经济总量差距拉大的根源
艾瑞咨询 - 2025年中国早教行业白皮书
第一太平戴维斯 - 2026年中国房地产市场展望 ...
2025中国居民退休准备指数调研报告-清华大学 ...
Measure Theory for Analysis and Probabil ...
现代数学基础19 偏微分方程 孔德兴
科研时间70%耗在“下载-复制-粘贴”?零代码 ...
推荐文章
2026JG学术冬训营:从Stata初高到Python机器 ...
【必看】【本版版规,欢迎发悬赏贴求助】
26年寒假天津站|Gemini论文写作&数据分析 ...
关于如何利用文献的若干建议
关于学术研究和论文发表的一些建议
关于科研中如何学习基础知识的一些建议 (一 ...
一个自编的经济学建模小案例 --写给授课本科 ...
AI智能体赋能教学改革: 全国AI教育教学应用 ...
2025中国AIoT产业全景图谱报告-406页
关于文献求助的一些建议
说点什么
分享
微信
QQ空间
QQ
微博
扫码加好友,拉您进群
各岗位、行业、专业交流群