全部版块 我的主页
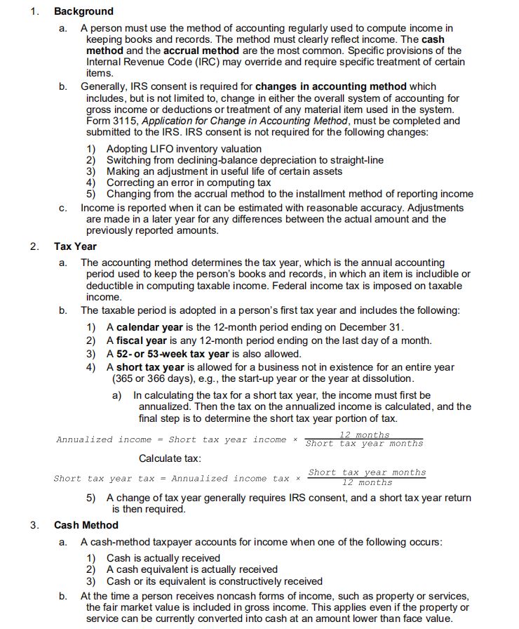
论坛 经管考试 九区 经管考证 财会类
2115 3
2018-02-26
本人正准备CPA考试,从官方途径购买的2018版Gleim CPA复习资料,REG 科目

只能说Gleim的Review真是具详细...!!!
保持更新~

Sample 样章.JPG

CPA_REG BookOnline_AppA.pdf
大小:(16.18 KB)

只需: 1 个论坛币  马上下载




附件列表

CPA_REG_BookOnline_SU20_Outline.pdf

大小:329.21 KB

只需: 5 个论坛币  马上下载

CPA_REG_BookOnline_SU19_Outline.pdf

大小:101.88 KB

只需: 8 个论坛币  马上下载

CPA_REG_BookOnline_SU18_Outline.pdf

大小:127.98 KB

只需: 5 个论坛币  马上下载

CPA_REG_BookOnline_SU17_Outline.pdf

大小:243.15 KB

只需: 8 个论坛币  马上下载

CPA_REG_BookOnline_SU16_Outline.pdf

大小:97.3 KB

只需: 8 个论坛币  马上下载

CPA_REG_BookOnline_SU15_Outline.pdf

大小:101.17 KB

只需: 8 个论坛币  马上下载

CPA_REG_BookOnline_SU14_Outline.pdf

大小:539.48 KB

只需: 8 个论坛币  马上下载

CPA_REG_BookOnline_SU13_Outline.pdf

大小:444.77 KB

只需: 8 个论坛币  马上下载

CPA_REG_BookOnline_SU12_Outline.pdf

大小:883.2 KB

只需: 8 个论坛币  马上下载

CPA_REG_BookOnline_SU11_Outline.pdf

大小:175.74 KB

只需: 8 个论坛币  马上下载

CPA_REG_BookOnline_SU10_Outline.pdf

大小:530.04 KB

只需: 8 个论坛币  马上下载

CPA_REG_BookOnline_SU9_Outline.pdf

大小:1.93 MB

只需: 8 个论坛币  马上下载

CPA_REG_BookOnline_SU8_Outline.pdf

大小:1023.19 KB

只需: 8 个论坛币  马上下载

CPA_REG_BookOnline_SU7_Outline.pdf

大小:1.26 MB

只需: 8 个论坛币  马上下载

CPA_REG_BookOnline_SU6_Outline.pdf

大小:1011.89 KB

只需: 8 个论坛币  马上下载

CPA_REG_BookOnline_SU5_Outline.pdf

大小:1022.8 KB

只需: 8 个论坛币  马上下载

CPA_REG_BookOnline_SU4_Outline.pdf

大小:893.3 KB

只需: 8 个论坛币  马上下载

CPA_REG_BookOnline_SU3_Outline.pdf

大小:936.96 KB

只需: 8 个论坛币  马上下载

CPA_REG_BookOnline_SU2_Outline.pdf

大小:116.07 KB

只需: 8 个论坛币  马上下载

CPA_REG_BookOnline_SU1_Outline.pdf

大小:151.95 KB

只需: 8 个论坛币  马上下载

二维码

扫码加我 拉你入群

请注明:姓名-公司-职位

以便审核进群资格,未注明则拒绝

全部回复
2018-2-28 16:28:08
好贵呀
二维码

扫码加我 拉你入群

请注明:姓名-公司-职位

以便审核进群资格,未注明则拒绝

2018-3-28 15:11:11
谢谢分享
二维码

扫码加我 拉你入群

请注明:姓名-公司-职位

以便审核进群资格,未注明则拒绝

2018-3-28 15:11:33
二维码

扫码加我 拉你入群

请注明:姓名-公司-职位

以便审核进群资格,未注明则拒绝

栏目导航
热门文章
推荐文章

说点什么

分享

扫码加好友,拉您进群
各岗位、行业、专业交流群