一、定义
首先分别列举常用的向量范数和矩阵范数的定义。
1-范数:

,即向量元素绝对值之和,matlab调用函数norm(x, 1) 。
2-范数:

,Euclid范数(欧几里得范数,常用计算向量长度),即向量元素绝对值的平方和再开方,matlab调用函数norm(x, 2)。
-范数:

,即所有向量元素绝对值中的最大值,matlab调用函数norm(x, inf)。
-范数:

,即所有向量元素绝对值中的最小值,matlab调用函数norm(x, -inf)。
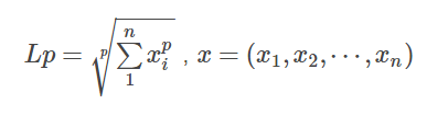
p-范数:

,即向量元素绝对值的p次方和的1/p次幂,matlab调用函数norm(x, p)。
1-范数:

, 列和范数,即所有矩阵列向量绝对值之和的最大值,matlab调用函数norm(A, 1)。
2-范数:

,

为

的最大特征值。
,谱范数,即A'A矩阵的最大特征值的开平方。matlab调用函数norm(x, 2)。
-范数:

,行和范数,即所有矩阵行向量绝对值之和的最大值,matlab调用函数norm(A, inf)。
F-范数:

,Frobenius范数,即矩阵元素绝对值的平方和再开平方,matlab调用函数norm(A, ’fro‘)。
核范数(nuclear norm):

是A的
奇异值。
即奇异值之和,也称迹范数(trace norm)。
二、什么是范数? 我们知道距离的定义是一个宽泛的概念,只要满足非负、自反、三角不等式就可以称之为距离。范数是一种强化了的距离概念,它在定义上比距离多了一条数乘的运算法则。有时候为了便于理解,我们可以把范数当作距离来理解。
在数学上,范数包括向量范数和矩阵范数,向量范数表征向量空间中向量的大小,矩阵范数表征矩阵引起变化的大小。一种非严密的解释就是,对应向量范数,向量空间中的向量都是有大小的,这个大小如何度量,就是用范数来度量的,不同的范数都可以来度量这个大小,就好比米和尺都可以来度量远近一样;对于矩阵范数,学过线性代数,我们知道,通过运算,AX=B,可以将向量X变化为B,矩阵范数就是来度量这个变化大小的。这里简单地介绍以下几种向量范数的定义和含义
1、 L-P范数
与闵可夫斯基距离的定义一样,L-P范数不是一个范数,而是一组范数,其定义如下:

根据P 的变化,范数也有着不同的变化,一个经典的有关P范数的变化图如下:
上图表示了p从无穷到0变化时,三维空间中到原点的距离(范数)为1的点构成的图形的变化情况。以常见的L-2范数(p=2)为例,此时的范数也即欧氏距离,空间中到原点的欧氏距离为1的点构成了一个球面。
实际上,在0≤p<1时,Lp并不满足三角不等式的性质,也就不是严格意义下的范数。以p=0.5,二维坐标(1,4)、(4,1)、(1,9)为例:

因此这里的L-P范数只是一个概念上的宽泛说法。
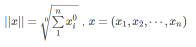
2、L0范数
当P=0时,也就是L0范数,由上面可知,L0范数并不是一个真正的范数,它主要被用来度量向量中非零元素的个数。用上面的L-P定义可以得到的L-0的定义为:

这里就有点问题了,我们知道非零元素的零次方为1,但零的零次方,非零数开零次方都是什么鬼,很不好说明L0的意义,所以在通常情况下,大家都用的是:
||x||0=||x||0=#(i|xi≠0)(i|xi≠0)
表示向量xx中非零元素的个数。
对于L0范数,其优化问题为:
min||x||0
s.t. Ax=b
在实际应用中,由于L0范数本身不容易有一个好的数学表示形式,给出上面问题的形式化表示是一个很难的问题,故被人认为是一个NP难问题。所以在实际情况中,L0的最优问题会被放宽到L1或L2下的最优化。
3、L1范数
L1范数是我们经常见到的一种范数,它的定义如下:
||x||1=∑i|xi|||x||1=∑i|xi|
表示向量xx中非零元素的绝对值之和。
L1范数有很多的名字,例如我们熟悉的曼哈顿距离、最小绝对误差等。使用L1范数可以度量两个向量间的差异,如绝对误差和(Sum of Absolute Difference):
SAD(x1,x2)=∑i|x1i−x2i|
对于L1范数,它的优化问题如下:
min||x||1
s.t.Ax=b
由于L1范数的天然性质,对L1优化的解是一个稀疏解,因此L1范数也被叫做稀疏规则算子。通过L1可以实现特征的稀疏,去掉一些没有信息的特征,例如在对用户的电影爱好做分类的时候,用户有100个特征,可能只有十几个特征是对分类有用的,大部分特征如身高体重等可能都是无用的,利用L1范数就可以过滤掉。
4、L2范数
L2范数是我们最常见最常用的范数了,我们用的最多的度量距离欧氏距离就是一种L2范数,它的定义如下:

表示向量元素的平方和再开平方。
像L1范数一样,L2也可以度量两个向量间的差异,如平方差和(Sum of Squared Difference):
SSD(x1,x2)=∑i(x1i−x2i)2
对于L2范数,它的优化问题如下:
min||x||2
s.t.Ax=b
L2范数通常会被用来做优化目标函数的正则化项,防止模型为了迎合训练集而过于复杂造成过拟合的情况,从而提高模型的泛化能力。
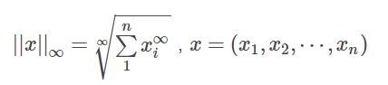
5、L-∞范数,它主要被用来度量向量元素的最大值。用上面的L-P定义可以得到的L∞的定义为:

与L0一样,在通常情况下,大家都用的是:
||x||∞=max(|xi|)
来表示L∞
参考
链接:
https://www.zhihu.com/question/20473040/answer/102907063
链接:
http://blog.csdn.net/shijing_0214/article/details/51757564