全部版块 我的主页
论坛 计量经济学与统计论坛 五区 计量经济学与统计软件 LISREL、AMOS等结构方程模型分析软件
3931 4
2018-03-19
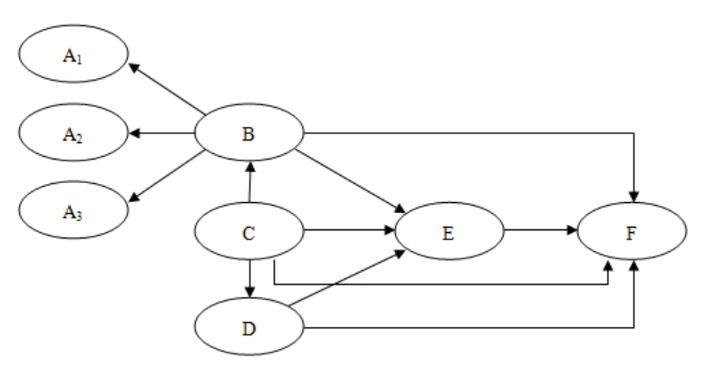
Q1-大部分教材在讲结构方程模型的二阶因子时,二阶因子一般是不会作为其他潜变量的原因变量或结果变量,如吴明隆P246只介绍二阶CFA模型的分析等。
倘若将二阶因子作为其他潜变量的原因变量或结果变量,这样的设置是否可行呢?
如图:B为二阶因子,是否可以设置其为变量C的结果变量以及变量E的原因变量?共同构成一个新的模型?
模型图

Q2-如果可以这样设置,那一阶中的因子是作为整个模型的潜变量还是可测变量呢?
如图:B为二阶因子,A1、A2、A3为一阶因子;可以确定的是B C D E F为潜变量,那A1、A2、A3是潜变量还是可测变量呢?



希望各路大侠好汉伸出援手解救处于水深火热之中的我,小女子定当感激不尽!
二维码

扫码加我 拉你入群

请注明:姓名-公司-职位

以便审核进群资格,未注明则拒绝

全部回复
2018-3-19 20:57:07
1.需要加残差项;
2.那一阶中的因子可作为整个模型的潜变量,也可作为可测变量。
二维码

扫码加我 拉你入群

请注明:姓名-公司-职位

以便审核进群资格,未注明则拒绝

2018-3-20 08:34:26
bfzldh 发表于 2018-3-19 20:57
1.需要加残差项;
2.那一阶中的因子可作为整个模型的潜变量,也可作为可测变量。
嗯呢~~感谢您的回复~~~
1、一阶因子都有加残差项,在AMOS中也能跑出数据,但因为没有看到已有文献是这样操作,所以担心这样设置会不合理~~
2、对于第二点,在文章写作中,该怎么对它进行界定呢?一阶中的因子在整个模型中属于潜变量,在二阶模型中属于可测变量,是这样理解吗?(总感觉怪怪的
二维码

扫码加我 拉你入群

请注明:姓名-公司-职位

以便审核进群资格,未注明则拒绝

2022-7-26 15:56:05
楼主请问你解决了吗?我构建的模型是四个变量,但四个变量都和你图里的B一样,不知道该能不能这样用,然后不知道怎么做效度检验。跪求经验
二维码

扫码加我 拉你入群

请注明:姓名-公司-职位

以便审核进群资格,未注明则拒绝

2022-7-26 19:43:16
qyh... 发表于 2022-7-26 15:56
楼主请问你解决了吗?我构建的模型是四个变量,但四个变量都和你图里的B一样,不知道该能不能这样用,然后 ...
我可以帮你解决,如有需要,可以加3100556104
二维码

扫码加我 拉你入群

请注明:姓名-公司-职位

以便审核进群资格,未注明则拒绝

栏目导航
热门文章
推荐文章

说点什么

分享

扫码加好友,拉您进群
各岗位、行业、专业交流群