全部版块 我的主页
论坛 计量经济学与统计论坛 五区 计量经济学与统计软件
4442 4
2006-01-11

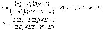
关于变截距模型与常截距模型的判定 我在做协方差检验时,看到两个公式,不知道哪个公式是正确的,望清楚的请指教!先谢过了

我的变截距模型残差平方和小于1,而且小于常截距模型残差平方和,因此根据第一个F统计量算是负值,根据后者算是正值,因此问题1,两个公式哪个是对的!前者来源于复旦大学出版的《高等计量经济学》,后者来自一份讲义!

其次,计算好的F统计量是否要加绝对值然后和临界值进行比较!谢谢回复!!

二维码

扫码加我 拉你入群

请注明:姓名-公司-职位

以便审核进群资格,未注明则拒绝

全部回复
2006-1-11 13:33:00

怎么没人回阿,难道没人懂吗?还是大家都不热心?

二维码

扫码加我 拉你入群

请注明:姓名-公司-职位

以便审核进群资格,未注明则拒绝

2006-1-11 14:00:00

两个都是正确的。

前者采用拟合优度来计算,后者采用残差平方和计算,并不矛盾。

二维码

扫码加我 拉你入群

请注明:姓名-公司-职位

以便审核进群资格,未注明则拒绝

2006-1-11 15:18:00
谢谢了,我刚才才发现前者是拟合优度,而不是残差平方和;有些文章可真害人啊;我看得是一篇关于外商直接投资对创新能力的文章,在世界经济上发表的,晕啊,不知道作者是怎么作的
二维码

扫码加我 拉你入群

请注明:姓名-公司-职位

以便审核进群资格,未注明则拒绝

2006-1-11 15:23:00

FDI对中国创新能力的溢出效应南开大学跨国公司研究中心 冼国明 严兵做的;也忒不严谨了,这么重要的东东竟然犯错误,很怀疑他后面是怎么做的哟

二维码

扫码加我 拉你入群

请注明:姓名-公司-职位

以便审核进群资格,未注明则拒绝

相关推荐
栏目导航
热门文章
推荐文章

说点什么

分享

扫码加好友,拉您进群
各岗位、行业、专业交流群