全部版块 我的主页
论坛 新商科论坛 四区(原工商管理论坛) 商学院
7415 3
2018-07-16

撰文 克拉拉·莫斯科维茨(Clara Moskowitz)


公式美吗?对于科学家来说,公式可以展现大自然的基本原理,或者将复杂的东西简洁地表达出来,这的确妙不可言。但对于普通大众中的一些人而言,公式也可能是美的反面——令人生畏、功利主义以及晦涩难懂。然而对另外一些人来说,正是公式的神秘使其变得迷人:即便不能理解公式的含义,我们也可以被它们所打动,因为我们知道,有些公式蕴含着一些超出我们理解能力的含义。此外,不管是数学家还是普通人,都能被这些公式纯粹的美学感染力所吸引——它们优雅的、有时难以理解的符号以一种视觉上完美的形式组合在一起。



1安培定律


640 (3).jpg

推选人:西蒙·唐纳森(Simon Donaldson),纽约州立大学石溪分校数学家


唐纳森并没有选择一个单独的公式,而是列出了三个式子并画了一条打了纽结(如果你对拓扑学有所了解,你就会知道这种奇异的缠绕方式)的电线。电流(J)沿着大箭头的方向在电线中穿过并产生磁场(B),其方向由小箭头表示。这三个式子便是所谓的安培定律,描述了电流是如何产生磁场的。图像和公式展示了电磁学与拓扑学之间的联系,拓扑学是数学中涉及纽结与空间关系的分支学科。唐纳森表示,他之所以认为这套公式和图像很美,是因为它揭示了“曾经被认为完全不同的事物之间的新关联”。将电磁学的一些数学和理念应用到纽结的研究中,研究人员发现了确定看似不同的纽结在根本上是否相同的新方法,就像炸面圈和咖啡杯在本质上具有相同的形状,只不过变形后看起来不同而已。


2麦克唐纳公式


640 (5).jpg

推选人:弗里曼·戴森(Freeman Dyson),普林斯顿高等研究院物理学家


这个公式是由戴森本人稍晚于数学家伊恩·麦克唐纳(Ian MacDonald)独立推导出来的,它是对经典的τ函数进行重新表述而得到的新公式,因印度数学家斯里尼瓦萨·拉马努金(Srinivasa Ramanujan)的研究,τ函数此前就闻名于世。在麦克唐纳公式中,5个变量a、b、c、d、e两两组合并相减,得到10个差值,将它们全部相乘,并除以1、2、3、4的阶乘(一个正整数的阶乘是所有小于或等于该数的正整数的乘积,如4的阶乘为4! = 1 × 2 × 3 × 4)之积。对戴森而言,这个表达式的优美之处在于它揭示了τ函数的5个变量之间的一种对称,或者说平衡。这个式子还有一种难以名状的美,“它并没有具体地告诉你关于宇宙的什么真理,它只代表它自己,就像一首音乐,”他指出,“要问它究竟代表什么就如同问一首贝多芬三重奏有什么含义一样没有意义,你只需要去聆听它就好了。”这个公式属于纯数学的一个叫做数论的分支。


3亏格g曲线模空间


640 (6).jpg

推选人:戴维·芒福德(David Mumford),布朗大学数学家


我们的宇宙在空间上只有三个维度,但是数学家可以想象它包含更多的度。这个表达式描述了一个维数为3 g – g的空间,并且当g足够大时,空间的形状是负向弯曲的,如同马鞍的表面。当芒福德发现这个表达式时,“我觉得这是一个令人吃惊的结果,尤其是13这个奇怪的数字出现在其中。”他回忆道。大多数基本的数学表达式都只包含变量、算符以及像1、2这样的小整数,因此这个表达式中出现13这个相对比较大的数就显得不同寻常。对于芒福德来说,正是这个式子的奇特之处使其妙不可言。“数学家通常都认为你所发现的事实都必然是由逻辑预先决定好的——它们必须是这样的而不能是那样的,”他说,“然后你突然得到了一个奇怪的数字,你就不得不想,‘为什么它必须如此呢?’”


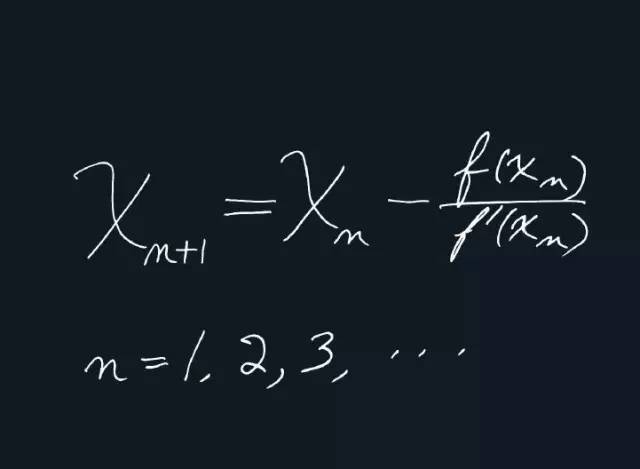
4牛顿法


640 (7).jpg

推选人:斯蒂芬·斯梅尔(Stephen Smale),香港城市大学数学家


牛顿法是用来近似求解方程的一种数学方法,对于无法直接求解的方程f(x)=0,用牛顿法可以求得它的近似解。要使用牛顿法,首先我们需要选取任意实数x,减去函数f (x)除以其在该点的导数f \'(x)的商,并得到新的x。这个过程每迭代一次,x就更接近于方程的解。这个方法非常方便,然而即便是牛顿也没能解释它为何如此有效。正是这个谜团让这个方程对斯梅尔充满了吸引力。“为了理解牛顿方程,探索它在什么情况下有效,我已经付出了很多心血,”他说,“但我个人感觉,一个伟大的问题是永远不可能解决的,它只会成为越来越多的研究工作的焦点。”


5电弱理论的拉格朗日量


640 (8).jpg

推选人:史蒂文·温伯格(Steven Weinberg),得克萨斯大学奥斯汀分校物理学家


大自然有四种基本相互作用力,而这个式子统一了其中的两种——电磁相互作用与弱相互作用(放射性衰变的原因),揭示出它们只是同一枚硬币的正反两面。这个公式由温伯格在1967年发现,它表明在某些能量下,电磁相互作用力与弱相互作用力会统一成同一种相互作用——电弱相互作用,这个发现也让温伯格荣获1979年诺贝尔物理学奖。这里L 代表拉格朗日密度,本质上是相互作用力所对应的场(由A和B表示)的能量密度。“我觉得这个式子的美与式中那些符号的形状无关,”温伯格说,“使这个理论优美的是它的严格性,即哪怕只改变它一丝半毫,它就不再是它了。它的细节已经被一些深层次的基本原理完全确定。”


来源: 電子工匠2018.07.11


论坛新推出区块链技术计算出的新通用积分,原注册会员可免费领取。还没领取的小伙伴们,赶快来领
https://bbs.pinggu.org/ext8_airdrop.php?airdropfrom^^uid=4568101


二维码

扫码加我 拉你入群

请注明:姓名-公司-职位

以便审核进群资格,未注明则拒绝

全部回复
2018-7-16 23:49:15
thank you
二维码

扫码加我 拉你入群

请注明:姓名-公司-职位

以便审核进群资格,未注明则拒绝

2018-7-17 08:45:48
just looking.
二维码

扫码加我 拉你入群

请注明:姓名-公司-职位

以便审核进群资格,未注明则拒绝

2018-7-18 15:29:34
谢谢分享  
二维码

扫码加我 拉你入群

请注明:姓名-公司-职位

以便审核进群资格,未注明则拒绝

相关推荐
栏目导航
热门文章
推荐文章

说点什么

分享

扫码加好友,拉您进群
各岗位、行业、专业交流群