全部版块 我的主页
论坛 计量经济学与统计论坛 五区 计量经济学与统计软件 Stata专版
1397 1
2018-08-02

我用frontier4.1计算的12期能源效率,发现每一年都比前一年增加0.006-0.007,而且每一城市增加的幅度也都是0.006-0.007,按理来说能源效率应该是波动的,最起码增幅应该是不一样的,这样每年的增幅,每个城市的增幅都一样太不正常了,求大神帮我看看是Eg1-ins设置错了,还是数据有误。。。我现在像无头苍蝇一样,不知道怎么改进啊
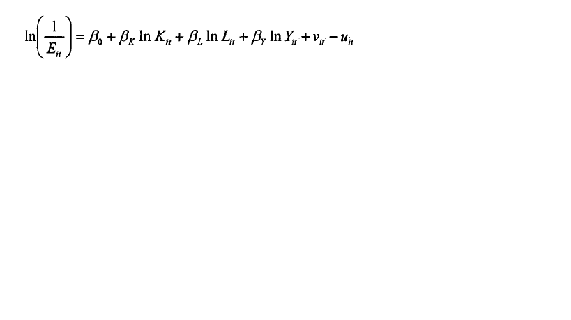
82-dat.txt里的数据是已经取对数后的,公式见附件中的图片。
附件列表
1.png

原图尺寸 6.14 KB

1.png

82-dat.txt

大小:22.58 KB

 马上下载

final820.txt

大小:19.85 KB

 马上下载

Eg1-ins.txt

大小:1.29 KB

 马上下载

二维码

扫码加我 拉你入群

请注明:姓名-公司-职位

以便审核进群资格,未注明则拒绝

全部回复
2022-11-24 11:22:58
请问dat中每一列分别代表什么呢
二维码

扫码加我 拉你入群

请注明:姓名-公司-职位

以便审核进群资格,未注明则拒绝

相关推荐
栏目导航
热门文章
推荐文章

说点什么

分享

扫码加好友,拉您进群
各岗位、行业、专业交流群