全部版块 我的主页
论坛 计量经济学与统计论坛 五区 计量经济学与统计软件 Stata专版
1739 0
2018-10-10
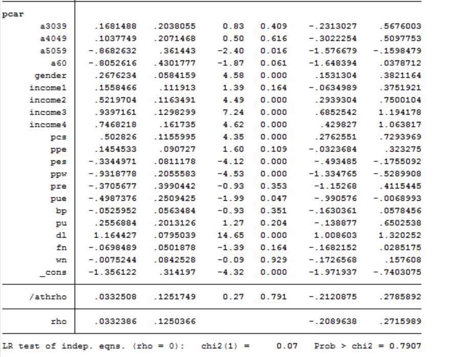
我利用Stata跑了一个 两阶段模型

跑的指令是用 heckprob

跑的模型名称 在Stata中被给予的名字是Probit Model with Sample Selection

大体上跑出来的报表在阅读理解上没有太大的问题

但在报表的最后几行 有点小问题 所以想请教一下大家
结果的开头和最后几行
7Y(LR{10FF`{50P9_)BRR1T.png
OI0DMH~Q@V93I]PG]6%JV}1.png

问题:
1、开头的prob>chi2=0.0000表示模型结果是合理的,但是最后一行LR检验结果不显著,说明两者之间不存在选择偏差,但是不存在自选择偏差的话是不是就不能用heckprob模型来做,Heckprob还可以跑出结果呢?其实这个时候选择偏差的问题已经不存在了,对吧?所以其实用Heckprob的命令对数据进行分析是不对的。可以这么理解吗?谢谢!
2、heckprob模型可以分两步实现么,在stata里怎样操作呢?






附件列表
QQ图片20181010104734.png

原图尺寸 159.25 KB

QQ图片20181010104734.png

31ROJP`IA]M~)D3%]ZHJKX0.png

原图尺寸 125.68 KB

31ROJP`IA]M~)D3%]ZHJKX0.png

二维码

扫码加我 拉你入群

请注明:姓名-公司-职位

以便审核进群资格,未注明则拒绝

栏目导航
热门文章
推荐文章

说点什么

分享

扫码加好友,拉您进群
各岗位、行业、专业交流群