全部版块 我的主页
论坛 休闲区 十二区 休闲灌水
1896 5
2018-11-22

最后,值得一提的是,康托罗维奇的线性规划论是运筹学中最早成熟的研究内容和分支之一。运筹学可以定义为,管理系统的人为了获得关于系统运行的最优解而必须使用的一种科学方法,主要依赖于数学方法和逻辑判断。与运筹学几乎同时脱胎于第二次世界大战的应用数学学科还有控制论和信息论,其创始人分别是美国数学家维纳(Wiener,1894—1964)和香农(Shannon,1916—2001),两人退休前都在麻省理工学院任教,也都是公众人物。维纳18岁就获得哈佛大学博士学位,出版过两本自传——《昔日神童》和《我是一个数学家》;香农则被誉为数字通信时代的奠基人。

在维纳看来,控制论是一门研究机器、生物社会中的控制和通信的一般规律的科学,是研究动态系统在变的环境条件下如何保持平衡或稳定状态的科学。他创造了cybernetics这个词,希腊文原意为“操舵术”,就是掌舵的方法和技术的意思。在柏拉图的著作中,常用它来表示管理人的艺术。信息论是一门用数理统计方法来研究信息的度量、传递和变换规律的科学。

需要注意的是,这里的信息指的不是传统的消息,而是一种秩序的等级或非随机性的程度,可以测量或用数学方法处理,就像质量、能量或其他物理量一样。

3

计算机和混沌理论

一般来说,计算机是指能接收数据,按照程序指令进行运算并提供运算结果的自动电子机器。在计算机的历史上,起重要革新作用的几乎全是数学家。直到20世纪70年代末,中国大学里的电子计算机专业还大多设在数学系,就像康德时代数学隶属于哲学系一样。可是如今,多数大学都有了一两个计算机学院。用机器来代替人工计算,一直是人类的梦想。

或许最早使用算盘的并非中国人,但长期以来使用最广泛的当属中国的算盘。在明代(1371)出版的一本书里,就有十档算盘的插图,但它的实际发明时间远在此之前。数学家程大位(1533—1606)的《算法统宗》(1592)详述了珠算的规则、口诀和方法,标志着珠算的成熟。这本书也流传到朝鲜和日本,使得算盘在这两个国家十分流行。

第一个提出机械计算机设计思想的是德国人席卡德(Schickard,1592—1635),他在与开普勒通信时阐述了这一想法。第一台能进行加减计算的机械计算机是由帕斯卡发明的(1642),30年后莱布尼茨制造出一台能进行乘除和开方运算的计算机。

使计算机拥有能对数据进行各种运算的装置,是向现代计算机过渡的关键一步,由英国数学家巴贝奇(Babbage,1792—1871)首先迈出,在数论里有一个与二项式系数有关的同余式用他的名字命名。巴贝奇设计的“分析机”(1834)分为运算室和存储库,外加一个专门控制运算程序的装置,他曾设想根据穿孔卡片上的“0”和“1”来控制运算的顺序,这无疑是现代电子计算机的雏形。

640.webp (6).jpg

邮票上的巴贝奇

遗憾的是,即便巴贝奇付出后半生的绝大多数精力和财产,甚至失去剑桥大学的卢卡斯教授职位,也没几个人能理解他的思想。据说真正支持他的人只有三个:他的儿子——巴贝奇少将(在父亲去世后还为分析机奋斗了许多年)、未来的意大利总理和诗人拜伦(Byron,1788—1824)的女儿阿达。

阿达(Ada,1815—1852)是拜伦和妻子的独生女,她为某些函数编制了计算程序,可谓开现代程序设计之先河。由于时代的局限性,巴贝奇分析机的设计方案在技术实施上遇到了巨大的障碍,他借助通用程序控制数字计算机的天才设想,要再过一个多世纪才能实现。

20 世纪以来,科学技术的迅猛发展带来了堆积如山的数据问题,尤其是在“二战”期间,军事上的计算需要更使计算速度的改进成为燃眉之急。起初,人们采用电器元件来代替机械齿轮。1944年,美国哈佛大学的数学家艾肯(Aiken,1900—1973)在IBM(国际商业机器公司)的支持下设计和制造出世界上第一台能实际操作的通用程序计算机(占地170平方米),只部分使用了继电器,不久后他又制成了一台全部用继电器的计算机。与此同时,在宾夕法尼亚大学,人们用电子管来代替继电器,于1946年造出了第一台通用电子数字积分计算机(ENIAC),效率提高了1000倍。

1947年,数学家冯·诺依曼(Neumann,1903—1957)提出了把ENIAC使用的外插程序改为存储程序的想法,按照这种想法制成的计算机能按存储器中的指令进行操作,从而大大加快了运算进程。1946年,他与人合作发表论文,提出了并行处理和存储数据计算机的综合设计理念,对后来的数字计算机的设计产生了深远影响。冯·诺依曼出生在布达佩斯,属于多才多艺的那类学者,在数学、物理学、经济学、气象学、爆炸理论和计算机领域都取得了卓越的成就。据说他是在火车站等车时遇见了ENIAC的设计师,后者向他讨教计算机的技术问题,从而激起了他的兴趣。

640.webp (5).jpg

冯·诺依曼和他的电子计算机

640.webp (4).jpg

英国萨里大学的图灵铜像

另一位对计算机设计理念做出杰出贡献的是英国数学家图灵(Turing,1912—1954),他为了解决数理逻辑中的基本理论问题——相容性,以及数学问题的机器可计算性的判定,而提出了他的“理想计算机”模型。直到今天,数字计算机都没有跳出这个理想模型的范畴:

输入/输出装置(带子和读写头)、存储器和控制器。

图灵还研究过可以制造出能思考的计算机的理论,这方面的构想已成为人工智能研究的基础。可惜的是,图灵后来因为不堪忍受对其性取向进行的强迫治疗,吃下用氰化物溶液浸泡过的苹果而自杀。为了纪念图灵,1966年,英特尔公司出资设立了“图灵奖”,这是计算机领域的最高奖项。1976年创建的苹果电脑公司以一只被咬了一口的苹果作为标志,这家以推出iPhone手机和iPad平板电脑风靡全球的公司的信念是:只有不完美才能促使进步去追求完美。

虽然数字计算机已历经四代的发展,但从电子管、晶体管到集成电路、超大规模集成电路,均是采用二进制拨码开关。这一点不会改变,即使将来有一天,电子计算机被取代(比如量子计算机)。这自然与19世纪英国数学家布尔(Boole,1815—1864)所创立的布尔代数的符号逻辑体系分不开,他完成了两个世纪前莱布尼茨未竞的事业,即创立了一套表意符号,每一个符号代表一个简单的概念,再通过符号的组合来表达复杂的思想。

布尔出身贫寒,他的父亲是一个补鞋匠,他主要通过自学成材,后来成为爱尔兰皇后学院(现名为科克大学)的数学教授,并入选英国皇家学会。不幸的是,布尔49岁那年因淋雨患肺炎去世。当年早些时候,他的小女儿出世,她便是小说《牛虻》的作者伏尼契(Voynich,1864—1960)。

作为抽象数学应用的一个光辉典范,计算机也已成为数学研究本身的有力工具和问题源泉,并推动了一个新的数学分支——计算数学的诞生。它不仅设计、改进各种数值计算方法,还研究与这些计算有关的误差分析、收敛性和稳定性等问题。冯·诺依曼是这门学科的奠基人之一,不仅与人合作建立了全新的数值计算法——蒙特卡罗方法,还领导一个小组利用ENIAC首次实现了数值天气预报,后者的中心问题是求解有关的流体力学方程。值得一提的是,20世纪60年代,中国数学家冯康(1920—1993)独立创建了一种数值分析方法——有限元法,可用于包括航空、电磁场和桥梁设计等在内的工程计算。

1976 年秋,伊利诺伊大学的两位数学家阿佩尔(Appel,1932—2013)和哈肯(Haken,1928—)借助电子计算机,证明了已有100多年历史的地图四色定理,这是利用计算机解决重大数学问题的最鼓舞人心的范例。说起地图四色定理,这是由英国人提出的难得一见的著名猜想。1852年,刚刚在伦敦大学获得双学士学位的格斯里(Guthrie,1831—1899)来到一家科研单位做地图着色工作,他发现只需用4种颜色即可填满地图并使得任何两个邻国呈现不同颜色。但是,不仅他和仍然在读的弟弟无法证明这个猜想,就连他的老师摩根和哈密尔顿也无能为力。于是,凯莱经过一番研究后在伦敦数学学会做了一个报告,使得这个问题出了名。

640.webp (3).jpg

地图四色问题图例

从那以后,数学家们更多地借助计算机研究纯粹数学,这方面突出的例子是孤立子(soliton)和混沌(chaos)的发现,它们是非线性科学的核心问题,可谓两朵美丽的“数学物理之花”。孤立子比四色定理出现得还早,1834年,英国工程师拉塞尔(Russell,1808—1882)在马背上跟踪观察运河中船只突然停止所激起的水波,他发现它们在行进中形状和速度没有发生明显的改变,于是称其为“孤立波”。一个多世纪以后,数学家们又发现,两个孤立波碰撞后仍是孤立波,因此被称为“孤立子”,孤立子在光纤通信、木星红斑活动、神经脉冲传导等领域大量存在。混沌理论是描述自然界不规则现象的有力工具,被视为继相对论和量子力学之后现代物理学的又一次革命。

计算机科学的飞速发展,不仅离不开数理逻辑,也促进了与之相关的其他数学分支的变革或创立,前者的一个例子是组合学,后者的一个典型代表是模糊数学。组合学的起源可以追溯至《易经》中的“洛书”,莱布尼茨在《论组合的艺术》中率先提出了“组合”这个概念,后来数学家们从游戏中归纳出一些新问题,如哥尼斯堡七桥问题(衍生出“图论”这一组合数学的主要分支)、欧拉36军官问题、柯克曼女生问题和哈密尔顿环球旅行问题等。20世纪下半叶以来,在计算机系统设计和信息存储、恢复中遇到的问题,为组合学研究注入了全新的强大动力。

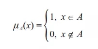
相比古老的组合学,1965年诞生的模糊数学可以说是年轻的。按照经典集合的概念,每一个集合必须由确定的元素构成,元素之于集合的隶属关系是明确的,这一性质可以用特征函数μA(x)来表示:

640.webp (2).jpg

模糊数学的创始人是阿塞拜疆出生的伊朗裔美国数学家、电器工程师扎德(Zadeh,1921—),他把特征函数改写成所谓的隶属函数μA(x):0≤μA(x)≤1,在这里A被称为模糊集合,μA(x)为隶属度。经典集合论要求μA(x)取0或1两个值,模糊集合则突破了这一限制,μA(x)=1表示百分之百隶属于A,μA(x)=0表示完全不属于A,还可以有20%隶属于A,80%隶属于A,等等。由于人脑的思维包括精确的和模糊的两个方面,因此模糊数学在人工智能系统模拟人类思维的过程中起到了重要作用,它与新型的计算机设计密切相关。但是,作为一个数学分支,模糊数学尚未成熟。

640.webp (1).jpg

曼德勃罗集图例

一方面,计算机的每一次飞跃都离不开数学家们的工作。另一方面,计算机的进步也推进了数学研究工作。现在,我们来谈谈几何学和计算机的奇妙结合。20世纪几何学的两次飞跃分别是从有限维到无限维(上半世纪)和从整数维到分数维(下半世纪),后者被称为分形几何学,它是新兴的科学分支——混沌理论的数学基础。拥有法国和美国双重国籍、波兰出生的数学家曼德勃罗(Mandelbrot,1924—2010)通过自相似性建立起这门全新的几何学,这是有关斑痕、麻点、破碎、扭曲、缠绕、纠结的几何学,它的维数居然可以不是整数。

1967 年,曼德勃罗发表了《英国的海岸线有多长?》的文章。在查阅了西班牙和葡萄牙、比利时和荷兰的百科全书后,人们发现这些国家对于它们共同边界的估计相差20%。事实上,无论是海岸线还是国境线,其长度取决于测量度的大小。一位试图从人造卫星上估计海岸线长度的观察者,相比海湾和海滩上的踏勘者,将得出较小的数值。

而后者相较爬过每一枚鹅卵石的蜗牛来,又会得出较小的结果。常识告诉我们,虽然这些估值一个比一个大,可是它们会趋近于某个特定的值,即海岸线的真正长度。但曼德勃罗却证明了任何海岸线在一定意义上都是无限长的,因为海湾和半岛会显露出越来越小的子海湾和子半岛。这就是所谓的自相似性,它是一种特殊的跨越不同尺度的对称性,它意味着递归,即图案之中套着图案。这个概念在西方文化中由来已久,早在17世纪,莱布尼茨就设想过一滴水中包含着整个多彩的宇宙;之后,英国诗人兼画家威廉·布莱克(Blake,1757—1827)在诗中写道:一颗沙里看出一个世界/一朵野花里有一个天堂。

曼德勃罗考虑了一个简单的函数f(x)=x2+c,其中x是复变量,c是复参数。从某个初始值x0开始令xn+1=f(xn),就产生了点集{xi,i=0,1,2…}。1980年,曼德勃罗发现,对于有些参数c,迭代会在复平面的某几点之间循环反复;而对于另外一些参数c,迭代结果却毫无规律可言。前一种参数c叫吸引子,后一种叫混沌,所有吸引子的复平面子集如今被命名为“曼德勃罗集合”。

由于复数迭代过程即便对于较为简单的方程(动力系统)也需要海量的计算,因此分形几何学和混沌理论的研究只有借助高速计算机才能进行,结果也产生了许多精美奇妙的分形图案,不仅被用来做书籍插图,还被出版商拿去制作挂历。在实际应用中,分形几何学和混沌理论在描述和探索许许多多的不规则现象(如海岸线形状、大气运动、海洋湍流、野生生物群,乃至股票、基金价格的涨落,等等)方面,均起到十分重要的作用。

640.webp.jpg

洛伦兹吸引子与“混沌蝴蝶”

就美学价值而言,新的几何学赋予了硬科学特别的现代感,即追求野性、未开化、未驯养的天然情趣,这与20世纪70年代以来后现代主义艺术家所追逐的目标不谋而合。在曼德勃罗看来,令人满足的艺术没有特定的尺度,或者说它包含了一切尺寸的要素。他指出,巴黎的艺术宫殿作为摩天大楼的对立面,它的群雕和怪兽,突角和侧柱,布满旋涡花纹的拱壁和配有檐沟齿饰的飞檐,观察者从任何距离望去都能看到某种赏心悦目的细节。而当你走近时,它的构造又发生了变化,展现出新的结构元素。


二维码

扫码加我 拉你入群

请注明:姓名-公司-职位

以便审核进群资格,未注明则拒绝

全部回复
2018-11-22 13:23:10
长知識了,谢谢提供分享!
二维码

扫码加我 拉你入群

请注明:姓名-公司-职位

以便审核进群资格,未注明则拒绝

2018-11-22 13:42:04
了解,谢谢发表分享!
二维码

扫码加我 拉你入群

请注明:姓名-公司-职位

以便审核进群资格,未注明则拒绝

2019-1-2 18:16:32
二维码

扫码加我 拉你入群

请注明:姓名-公司-职位

以便审核进群资格,未注明则拒绝

2019-8-4 14:31:44
是楼主自己写的吗?
二维码

扫码加我 拉你入群

请注明:姓名-公司-职位

以便审核进群资格,未注明则拒绝

2019-8-5 07:58:28
点赞!谢谢楼主分享。
二维码

扫码加我 拉你入群

请注明:姓名-公司-职位

以便审核进群资格,未注明则拒绝

栏目导航
热门文章
推荐文章

说点什么

分享

扫码加好友,拉您进群
各岗位、行业、专业交流群