经管之家App
让优质教育人人可得
立即打开
全部版块
我的主页
›
论坛
›
提问 悬赏 求职 新闻 读书 功能一区
›
经管百科
›
爱问频道
利用差分来构建的模型,不清楚最后怎么求得原数据的弹性值
楼主
漠尘44
1101
4
收藏
2018-11-22
悬赏
50
个论坛币
未解决
:
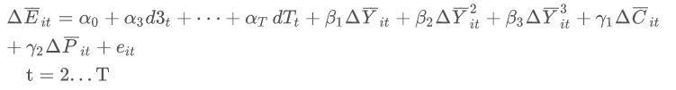
这是原始理论模型,研究人均GDP与人均能耗的关系
:这是能耗与人均GDP的弹性
:数据经过差分和减去样本几何平均值后的模型,最后参数标定的模型
:参数标定结果,最后怎么求得转折点的数值?为什么lnGVApc=4.362,谢谢各位,实在不清楚怎么来的,以及弹性怎么求得?
理论模型.png
原图尺寸 16.08 KB
扫码加我 拉你入群
请注明:姓名-公司-职位
以便审核进群资格,未注明则拒绝
全部回复
沙发
漠尘44
2018-11-22 22:34:20
谢谢各位,真想不明白,望指导
扫码加我 拉你入群
请注明:姓名-公司-职位
以便审核进群资格,未注明则拒绝
藤椅
漠尘44
2018-11-23 13:09:40
又没有老师给解答一下,谢谢各位
扫码加我 拉你入群
请注明:姓名-公司-职位
以便审核进群资格,未注明则拒绝
板凳
漠尘44
2019-1-17 10:23:42
已解决,有这方面不清楚的朋友可以互相交流
扫码加我 拉你入群
请注明:姓名-公司-职位
以便审核进群资格,未注明则拒绝
报纸
九号舒
2019-4-16 09:48:48
漠尘44 发表于 2019-1-17 10:23
已解决,有这方面不清楚的朋友可以互相交流
你好,我想请问一下怎么利用差分后建立的模型来预测原数据呢?刚看到你之前有提到过类似问题并且已经解决了,所以来问问,救救孩子吧
谢谢啦
扫码加我 拉你入群
请注明:姓名-公司-职位
以便审核进群资格,未注明则拒绝
相关推荐
请问在什么情况下需要对GDP进行平减?
关于利用Eviews进行GMM模型的实证分析中的操作问题
新疆、西藏各市的宏观数据
美国出口贸易数据
城市级GDP 2000-2018
想根据各省人均GDP,将除西藏外30个省市划分为4组,有没有统一的划分标准
求教关于国内GDP人民币计价换算成美元计价的问题
GDP是否可以作为中介变量
2003-2017年全国31省的人均GDP
求西部地区各省2009-2017年的人均GDP指数(1952=100)
栏目导航
爱问频道
经管文库(原现金交易版)
Stata专版
跨学科讨论区
行业分析报告
金融类
热门文章
在概率与代码之间:Agent Skills 是 AI 的枷 ...
CDA数据分析脱产就业班于2026年3月7日开班! ...
癌症·真相:医生也在读(菠萝)
北大国发院 - 2026生活经济报告
脑机接口行业深度报告:顶层战略支持,国产 ...
山西经济普查年鉴2023 PDF版 全四册
天堂的证据(〔美〕埃本·亚历山大)
半导体行业分析手册之二:混合键合设备,AI ...
芜湖造船厂为我国高端船舶制造自主创新再添 ...
表格结构数据特征与CDA数据分析师:精准适配 ...
推荐文章
2026JG学术冬训营:从Stata初高到Python机器 ...
【必看】【本版版规,欢迎发悬赏贴求助】
【新课】26年3月|Gemini辅助论文写作与数据 ...
关于如何利用文献的若干建议
关于学术研究和论文发表的一些建议
关于科研中如何学习基础知识的一些建议 (一 ...
一个自编的经济学建模小案例 --写给授课本科 ...
AI智能体赋能教学改革: 全国AI教育教学应用 ...
2025中国AIoT产业全景图谱报告-406页
关于文献求助的一些建议
说点什么
分享
微信
QQ空间
QQ
微博
扫码加好友,拉您进群
各岗位、行业、专业交流群