全部版块 我的主页
论坛 休闲区 十二区 休闲灌水
2238 2
2018-11-23

问题很有趣,是初步学习量子力学里薛定谔方程的时候,书上最常见的例题和习题之一。

对于微观粒子具有量子隧穿效应,但对于宏观物体按物质波理论也有这样的概率,但是微乎其微。

学习大学物理会出现这样的习题,比如计算汽车闯入客厅的概率,人穿墙的概率。

640.webp (12).jpg

这是薛定谔方程应用最简单的粒子,方势垒的穿透问题,如果考虑方势垒的隧道效应,可以简单模型为如下图。

640.webp (11).jpg

本题中,方势垒为

640.webp (10).jpg

1.经典情况

当入射粒子能量E低于V0时,按照经典力学观点,粒子不能进入势垒,将全部被弹回。

2.量子情况

但是,量子力学将给出全然不同的结论。我们从一维定态薛定谔方程出发:

640.webp (9).jpg

然后分三个区域求解。

在方势垒的区域内( x1< x),V=V0>E,

其解是指数函数:

640.webp (8).jpg

由此可见,在区域Ⅲ的波函数并不为零;原在区域Ⅰ的粒子有通过区域Ⅱ进入Ⅲ的可能,见图

640.webp (7).jpg

从上图势垒贯穿过程的波函数,可以计算出穿透几率为:

640.webp (6).jpg

由此可见,势垒厚度(D=x2-x1)越大,粒子通过的几率越小;粒子的能量E越大,则穿透几率也越大。两者都呈指数关系,因此,D和E的变化对穿透因子P十分灵敏。

你可以取各种穿越粒子的数据代入,比如人穿墙,取各种参数,如取人的质量 m=100kg,墙厚0.2m等参数代入以后,穿透几率计算后远远小于:

640.webp (5).jpg

可见宏观物体穿越的几率及其微小,近似不可能。所以宏观物体谈量子效应是无意义的。

如果换成一个电子和一个高于它具有能量的势垒,那么电子就有很大几率可以贯穿这个势垒,这就是扫描隧道显微镜的物理原理。

这个习题主要是供物理专业学生计算和熟悉量子隧道效应计算用的。

所以从以上计算看出,量子力学主要对微观粒子其作用,对于宏观物体,量子力学几乎毫无影响。

讨论宏观物体的量子力学效应,也是意义不大的。

#章彦博 #

物理科普作家

根据量子力学,一个粒子在经过一堵墙/阻隔的时候,有极小的概率可以穿过它。这就是量子隧穿效应。

而隧道扫描显微镜,就是根据隧穿效应制造的。所以你们也不要无端质疑这个效应的真实性了,它已经经过了无数次的检验了。

640.webp (4).jpg

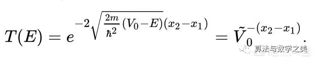
我们要计算人穿过一堵墙的概率,其实需要一个隧穿概率公式,这个公式是一个近似公式(WKB近似),但精度足够了:

640.webp (3).jpg

其中V0是势能壁垒的高度,而E是物质的能量。m是物质的质量,x2-x1就是宽度。hbar是约化普朗克常量。

人假设是60kg,速度是1m/s,这样能量就是30J。而穿墙的能量要多少呢?我们平时钉钉子,大约得要100N的力,才能穿入1mm。那么就可以假设1mm^2的面积,前进1mm,需要100N*1mm=0.1J。换算到人,非常近似的、只计算数量级,大约是多少呢……

640.webp (2).jpg

这个数实在是太小了……

所以换成科学记数法,是:

640.webp (1).jpg

这有多小呢?10^-8就已经是一亿分之一了,而这个概率上的指数,却仍然需要科学记数法来计算!

一件事的概率这么小,从宇宙诞生到毁灭,恐怕都不会发生一次。

#科学薛定谔的猫#  

科学达人

这个问题应该和量子隧穿有关,量子隧穿是量子力学中的一种特殊现象,它科学的解释是,像电子等微观粒子,能够穿入或穿越位势垒的量子行为,这个解释听起来就很复杂,一般的人肯定听不懂,我尽量简单的进行解释一下好了。

640.webp.jpg

假设现在有一堵墙,如果我们要去墙的那边,就需要翻墙而过,但翻墙是需要能量的,如果你没有力气,肯定是翻不过去的,但在微观的粒子世界当中,粒子有时候不需要翻墙,它可以直接穿墙而过,出现在另外一边,那么这个现象就是量子隧穿。

但这里有一个问题,不是所有的粒子都会穿墙而过,比如说有一大堆粒子撞在墙上,大部分的粒子都被反射出去了,只有少数的粒子,可以出现在墙的另一边,所以量子隧穿的效应是偶然性的,你根本无法让所有的微观粒子,都穿墙而过,出现在墙的另一边。

最后人类的本身,是一种现实宏观物质,我们的身体,确实是由无数的微观粒子组成的,但除非你能让组成身体的所有粒子,都一下子出现量子隧穿的现象,否则人是无法穿墙的,因为科学家已经告诉我们了,只有非常少数的粒子,才可以穿墙而过,所以人只能撞墙,而非穿墙……


二维码

扫码加我 拉你入群

请注明:姓名-公司-职位

以便审核进群资格,未注明则拒绝

全部回复
2018-11-23 14:27:47
谢谢分享
二维码

扫码加我 拉你入群

请注明:姓名-公司-职位

以便审核进群资格,未注明则拒绝

2020-6-6 15:35:49
谢谢提供分享!
二维码

扫码加我 拉你入群

请注明:姓名-公司-职位

以便审核进群资格,未注明则拒绝

栏目导航
热门文章
推荐文章

说点什么

分享

扫码加好友,拉您进群
各岗位、行业、专业交流群