全部版块 我的主页
论坛 休闲区 十二区 休闲灌水
1482 1
2018-11-30

5. 朴素贝叶斯方法


朴素贝叶斯方法是一个很特别的方法,所以值得介绍一下。我们用朴素贝叶斯在垃圾邮件过滤中的应用来举例说明。


5.1 贝叶斯垃圾邮件过滤器


问题是什么?问题是,给定一封邮件,判定它是否属于垃圾邮件。按照先例,我们还是用 D 来表示这封邮件,注意 D 由 N 个单词组成。我们用 h+ 来表示垃圾邮件,h- 表示正常邮件。问题可以形式化地描述为求:


P(h+|D) = P(h+) * P(D|h+) / P(D)

P(h-|D) = P(h-) * P(D|h-) / P(D)


其中 P(h+) 和 P(h-) 这两个先验概率都是很容易求出来的,只需要计算一个邮件库里面垃圾邮件和正常邮件的比例就行了。然而 P(D|h+) 却不容易求,因为 D 里面含有 N 个单词 d1, d2, d3, .. ,所以P(D|h+) = P(d1,d2,..,dn|h+) 。我们又一次遇到了数据稀疏性,为什么这么说呢?P(d1,d2,..,dn|h+) 就是说在垃圾邮件当中出现跟我们目前这封邮件一模一样的一封邮件的概率是多大!开玩笑,每封邮件都是不同的,世界上有无穷多封邮件。瞧,这就是数据稀疏性,因为可以肯定地说,你收集的训练数据库不管里面含了多少封邮件,也不可能找出一封跟目前这封一模一样的。结果呢?我们又该如何来计算 P(d1,d2,..,dn|h+) 呢?


我们将 P(d1,d2,..,dn|h+)  扩展为: P(d1|h+) * P(d2|d1, h+) * P(d3|d2,d1, h+) * .. 。熟悉这个式子吗?这里我们会使用一个更激进的假设,我们假设 di 与 di-1 是完全条件无关的,于是式子就简化为 P(d1|h+) * P(d2|h+) * P(d3|h+) * .. 。这个就是所谓的条件独立假设,也正是朴素贝叶斯方法的朴素之处。而计算 P(d1|h+) * P(d2|h+) * P(d3|h+) * .. 就太简单了,只要统计 di 这个单词在垃圾邮件中出现的频率即可。关于贝叶斯垃圾邮件过滤更多的内容可以参考这个条目,注意其中提到的其他资料。


一点注记:这里,为什么有这个数据稀疏问题,还是因为统计学习方法工作在浅层面,世界上的单词就算不再变多也是非常之多的,单词之间组成的句子也是变化多端,更不用说一篇文章了,文章数目则是无穷的,所以在这个层面作统计,肯定要被数据稀疏性困扰。


我们要注意,虽然句子和文章的数目是无限的,然而就拿邮件来说,如果我们只关心邮件中句子的语义(进而更高抽象层面的“意图”(语义,意图如何可计算地定义出来是一个人工智能问题),在这个层面上可能性便大大缩减了,我们关心的抽象层面越高,可能性越小。


单词集合和句子的对应是多对一的,句子和语义的对应又是多对一的,语义和意图的对应还是多对一的,这是个层级体系。神经科学的发现也表明大脑的皮层大致有一种层级结构,对应着越来越抽象的各个层面,至于如何具体实现一个可放在计算机内的大脑皮层,仍然是一个未解决问题,以上只是一个原则(principle)上的认识,只有当 computational 的 cortex 模型被建立起来了之后才可能将其放入电脑。


5.2 为什么朴素贝叶斯方法令人诧异地好——一个理论解释


朴素贝叶斯方法的条件独立假设看上去很傻很天真,为什么结果却很好很强大呢?就拿一个句子来说,我们怎么能鲁莽地声称其中任意一个单词出现的概率只受到它前面的 3 个或 4 个单词的影响呢?别说 3 个,有时候一个单词的概率受到上一句话的影响都是绝对可能的。


那么为什么这个假设在实际中的表现却不比决策树差呢?有人对此提出了一个理论解释,并且建立了什么时候朴素贝叶斯的效果能够等价于非朴素贝叶斯的充要条件,这个解释的核心就是:有些独立假设在各个分类之间的分布都是均匀的所以对于似然的相对大小不产生影响;即便不是如此,也有很大的可能性各个独立假设所产生的消极影响或积极影响互相抵消,最终导致结果受到的影响不大。具体的数学公式请参考这篇 paper 。


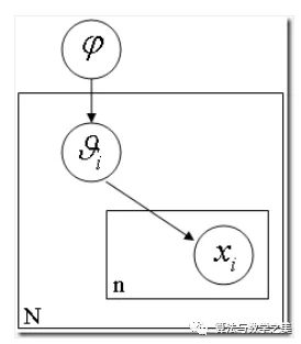
6. 层级贝叶斯模型


640.webp (1).jpg


层级贝叶斯模型是现代贝叶斯方法的标志性建筑之一。前面讲的贝叶斯,都是在同一个事物层次上的各个因素之间进行统计推理,然而层次贝叶斯模型在哲学上更深入了一层,将这些因素背后的因素(原因的原因,原因的原因,以此类推)囊括进来。


一个教科书例子是:如果你手头有 N 枚硬币,它们是同一个工厂铸出来的,你把每一枚硬币掷出一个结果,然后基于这 N 个结果对这 N 个硬币的 θ (出现正面的比例)进行推理。如果根据最大似然,每个硬币的 θ 不是 1 就是 0 (这个前面提到过的),然而我们又知道每个硬币的 p(θ) 是有一个先验概率的,也许是一个 beta 分布。也就是说,每个硬币的实际投掷结果 Xi 服从以 θ 为中心的正态分布,而 θ 又服从另一个以 Ψ 为中心的 beta 分布。层层因果关系就体现出来了。进而 Ψ 还可能依赖于因果链上更上层的因素,以此类推。


6.1 隐马可夫模型(HMM)


640.webp.jpg


吴军在数学之美系列里面介绍的隐马可夫模型(HMM)就是一个简单的层级贝叶斯模型:


那么怎么根据接收到的信息来推测说话者想表达的意思呢?我们可以利用叫做“隐含马尔可夫模型”(Hidden Markov Model)来解决这些问题。以语音识别为例,当我们观测到语音信号 o1,o2,o3 时,我们要根据这组信号推测出发送的句子 s1,s2,s3。


显然,我们应该在所有可能的句子中找最有可能性的一个。用数学语言来描述,就是在已知 o1,o2,o3,…的情况下,求使得条件概率 P (s1,s2,s3,…|o1,o2,o3….) 达到最大值的那个句子 s1,s2,s3,…


吴军的文章中这里省掉没说的是,s1, s2, s3, .. 这个句子的生成概率同时又取决于一组参数,这组参数决定了 s1, s2, s3, .. 这个马可夫链的先验生成概率。如果我们将这组参数记为 λ ,我们实际上要求的是:P(S|O, λ) (其中 O 表示 o1,o2,o3,.. ,S表示 s1,s2,s3,..)


当然,上面的概率不容易直接求出,于是我们可以间接地计算它。利用贝叶斯公式并且省掉一个常数项,可以把上述公式等价变换成


P(o1,o2,o3,…|s1,s2,s3….) * P(s1,s2,s3,…)


其中


P(o1,o2,o3,…|s1,s2,s3….) 表示某句话 s1,s2,s3…被读成 o1,o2,o3,…的可能性, 而 P(s1,s2,s3,…) 表示字串 s1,s2,s3,…本身能够成为一个合乎情理的句子的可能性,所以这个公式的意义是用发送信号为 s1,s2,s3…这个数列的可能性乘以 s1,s2,s3.. 本身可以一个句子的可能性,得出概率。


这里,s1,s2,s3…本身可以一个句子的可能性其实就取决于参数 λ ,也就是语言模型。所以简而言之就是发出的语音信号取决于背后实际想发出的句子,而背后实际想发出的句子本身的独立先验概率又取决于语言模型。


参考资料:

一堆机器学习,一堆概率统计,一堆 Google ,和一堆 Wikipedia 条目,一堆 paper 。

附件列表
640.webp.jpg

原图尺寸 157.22 KB

640.webp.jpg

640.webp (7).jpg

原图尺寸 391.69 KB

640.webp (7).jpg

640.webp (6).jpg

原图尺寸 386.16 KB

640.webp (6).jpg

640.webp (5).jpg

原图尺寸 337.99 KB

640.webp (5).jpg

640.webp (4).jpg

原图尺寸 580.69 KB

640.webp (4).jpg

640.webp (3).jpg

原图尺寸 207.05 KB

640.webp (3).jpg

640.webp (2).jpg

原图尺寸 408.64 KB

640.webp (2).jpg

640.webp (1).jpg

原图尺寸 226.31 KB

640.webp (1).jpg

二维码

扫码加我 拉你入群

请注明:姓名-公司-职位

以便审核进群资格,未注明则拒绝

全部回复
2018-11-30 17:44:46
谢谢分享
二维码

扫码加我 拉你入群

请注明:姓名-公司-职位

以便审核进群资格,未注明则拒绝

栏目导航
热门文章
推荐文章

说点什么

分享

扫码加好友,拉您进群
各岗位、行业、专业交流群