经管之家App
让优质教育人人可得
立即打开
全部版块
我的主页
›
论坛
›
提问 悬赏 求职 新闻 读书 功能一区
›
经管百科
›
爱问频道
mathmaticaq求解问题
楼主
袁紫微
1045
1
收藏
2018-11-30
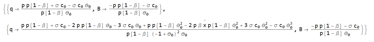
请问为何mathmatica求解方程会出现以下形式?其中的两个pp是代表p平方的意思吗?为何不直接是写成p平方?
扫码加我 拉你入群
请注明:姓名-公司-职位
以便审核进群资格,未注明则拒绝
全部回复
沙发
sun_man
2018-12-4 14:35:35
您好,如果您的求助没有解决,请到项目交易发布需求,会有更快更专业的用户帮助您
https://bbs.pinggu.org/prj/
项目交易是为用户提供需求的平台,可以在平台发布你需求,也可以展现你的技术帮助他人,从而得到相应的报酬。
扫码加我 拉你入群
请注明:姓名-公司-职位
以便审核进群资格,未注明则拒绝
相关推荐
求助 如何用SAS解方程
求教解方程的问题
求解方程
《解的传说》--做线代的解果
Sas 解方程
SAS解方程,怎么解
SAS解方程
R求解方程
Mathematica8.0之解方程
破解方程MU1/P1=MU2/P2=…=MUn/Pn=λ的秘
栏目导航
爱问频道
行业分析报告
经管高考
经管文库(原现金交易版)
经管在职博
新手入门区
热门文章
CDA数据分析脱产就业班在2026年3月7日开班了 ...
好书分享-《理解信念与人工智能》
经济政策不确定性冲击下全球系统性金融风险 ...
亚洲股票市场的风险溢出效应——基于动态金 ...
当Stata遇上 AI 智能体:你的实证研究,正在 ...
从数据仓库到智能取数:CDA数据分析师视角下 ...
CDA 认证考试大纲 2025 重磅更新:一二级考 ...
相对于Harness这个词,我更钟情控制论:从控 ...
A Practical Guide to Logistic Regression ...
GraphPad Prism 多因素方差分析
推荐文章
【文献求助专区】版主工作备用贴
五一充电,学术突围!四大AI赋能王牌课程, ...
关于学术研究和论文发表的一些建议
几种免费下载文献的方法----我的文献应助经
【必看】【本版版规,欢迎发悬赏贴求助】
【新课】26年3月|Gemini辅助论文写作与数据 ...
关于如何利用文献的若干建议
关于科研中如何学习基础知识的一些建议 (一 ...
一个自编的经济学建模小案例 --写给授课本科 ...
AI智能体赋能教学改革: 全国AI教育教学应用 ...
说点什么
分享
微信
QQ空间
QQ
微博
扫码加好友,拉您进群
各岗位、行业、专业交流群