全部版块 我的主页
论坛 计量经济学与统计论坛 五区 计量经济学与统计软件 Stata专版
26947 7
2018-12-06
常有人提及因变量和自变量取对数后的弹性/半弹性解释的问题,大部头书上的推导较为复杂。
以下是简易推导,适合快速理解和复习:

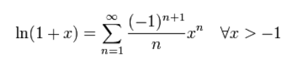
1.      自然对数的泰勒级数展开为

test.png

1+xy,代入上式,可以得到Ln(y)的一阶展开为y-1

Ln(y2)-Ln(y1)=Ln(y2/y1) 按照泰勒一阶展开 近似等于y2/y1-1,即(y2-y1)/y2,也就是y的相对变化


2 因变量和自变量不同情况下取对数的解释




  • 被解释变量y取对数,解释变量x不取对数,参数β解释为:

      控制其他变量的情况下,x变动1个单位,y平均变动100*β%



推导:

Ln(y1)= βx         1式

Ln(y2)= β(x+1)  2式

2式-1式=> Ln(y2)-Ln(y1)=β

            =>Ln(y2/y1)= β

根据泰勒一阶展开约等于(y2-y1)/y1=β;也就是y平均变动β*100%




  • 被解释变量y不取对数,解释变量x取对数,参数β解释为:

       控制其他变量的情况下,x变动1%,y平均变动0.01*β个单位



推导:

y1=βLn(x)          1式

y2=βLn(x+Δx)  2式

2式-1式=> (y2-y1)=β[Ln(x+Δx)- Ln(x)]

            => (y2-y1)= βLn[(x+Δx)/x)]

根据泰勒一阶展开约等于(y2-y1)= β[(x+Δx)/x-1]

                                  =>(y2-y1)= β(Δx/x)

                                        当Δx为%1*x时,(y2-y1)=0.01*β;也就是y平均变动0.01*β个单位




  • 被解释变量y取对数,解释变量也x取对数,参数β解释为:

       控制其他变量的情况下,x变动1%,y平均变动β%



推导:

Ln(y1)=βLn(x)          1式

Ln(y2)=βLn(x+Δx)   2式

2式-1式=>Ln(y1)-Ln(y2)=β[Ln(x+Δx)- Ln(x)]

           =>Ln(y1/y2)= βLn[(x+Δx)/x)]

根据泰勒一阶展开约等于(y1/y2-1)= β[(x+Δx)/x)-1]

                                  =>(y1-y2)/y2=β(Δx/x)

                                       当Δx为%1*x时,(y1-y2)/y2=0.01*β,也就是y平均变动

                                       0.01*β*100%个单位,即β%




二维码

扫码加我 拉你入群

请注明:姓名-公司-职位

以便审核进群资格,未注明则拒绝

全部回复
2019-12-25 15:24:29
谢谢分享,终于看懂解释了,哈哈哈
二维码

扫码加我 拉你入群

请注明:姓名-公司-职位

以便审核进群资格,未注明则拒绝

2020-4-7 20:57:43
按照泰勒一阶展开 近似等于y2/y1-1,即(y2-y1)/y2
这应该是(y2-y1)/y1吧
二维码

扫码加我 拉你入群

请注明:姓名-公司-职位

以便审核进群资格,未注明则拒绝

2020-5-7 09:18:32
您好,这个出自哪本书呢
二维码

扫码加我 拉你入群

请注明:姓名-公司-职位

以便审核进群资格,未注明则拒绝

2020-9-15 16:07:23
有点意思
二维码

扫码加我 拉你入群

请注明:姓名-公司-职位

以便审核进群资格,未注明则拒绝

2021-7-3 21:52:31
哎😔
二维码

扫码加我 拉你入群

请注明:姓名-公司-职位

以便审核进群资格,未注明则拒绝

点击查看更多内容…
相关推荐
栏目导航
热门文章
推荐文章

说点什么

分享

扫码加好友,拉您进群
各岗位、行业、专业交流群