立即打开
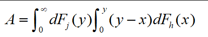
如下式:

,这一般用什么软件测算?请大神解答啊!
扫码加我 拉你入群
请注明:姓名-公司-职位
以便审核进群资格,未注明则拒绝
全部回复
扫码加我 拉你入群
请注明:姓名-公司-职位
以便审核进群资格,未注明则拒绝
扫码加我 拉你入群
请注明:姓名-公司-职位
以便审核进群资格,未注明则拒绝
gssdzc 发表于 2018-12-20 17:20 
Mathematica
用matlab能算不?可以的话怎么编程呢?急求啊
扫码加我 拉你入群
请注明:姓名-公司-职位
以便审核进群资格,未注明则拒绝
相关推荐
栏目导航
热门文章
推荐文章
扫码加好友,拉您进群