全部版块 我的主页
论坛 经济学论坛 三区 微观经济学
6620 24
2010-01-17
悬赏 20 个论坛币 已解决
一个个体对当前消费(C0)和未来消费(C1)的偏好可以用一个严格的准凹的效用函数,UC0 C1),来表示,其中C0 C1代表消费的货币总量。这个个体的当前和未来消费的收入分别为Y0Y1,且可以以利率r自由借贷来满足对当前消费和未来消费的需求,但在未来时期结束时,不得有任何的储蓄或负债。
(a)
请把这个个体选择问题表述为一个带有两个限制条件的优化问题。
(b)推导出(a)中优化问题的一阶条件并给与经济意义上的解释。
(c)
请把这个个体的选择问题表述为只带有一个限制条件的优化问题。
(d)推导出(c)中优化问题的一阶条件并给予经济意义上的解释。

最佳答案

anwang 查看完整内容

试一下,看看对不对 (a) (b) (c) MaxU(c0,c1) s.t. c0+c1/(1+r)=y0+y1/(1+r) (d) 经济意义:初期效用与1期效用的替代率为1+r,即初期1单位效用相当于(1+r)单位的1期效用
二维码

扫码加我 拉你入群

请注明:姓名-公司-职位

以便审核进群资格,未注明则拒绝

全部回复
2010-1-17 11:31:19
试一下,看看对不对
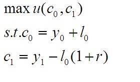
(a)

2.jpg
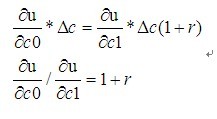
(b)
3.jpg

(c)
MaxU(c0,c1)
s.t. c0+c1/(1+r)=y0+y1/(1+r)
(d)
1.jpg
经济意义:初期效用与1期效用的替代率为1+r,即初期1单位效用相当于(1+r)单位的1期效用
二维码

扫码加我 拉你入群

请注明:姓名-公司-职位

以便审核进群资格,未注明则拒绝

2010-1-17 11:32:52
(a)        请把这个个体选择问题表述为一个带有两个限制条件的优化问题。
(b)        推导出(a)中优化问题的一阶条件并给与经济意义上的解释。
(c)        请把这个个体的选择问题表述为只带有一个限制条件的优化问题。
(d)        推导出(c)中优化问题的一阶条件并给予经济意义上的解释
再发一遍问题,上面有点乱。
二维码

扫码加我 拉你入群

请注明:姓名-公司-职位

以便审核进群资格,未注明则拒绝

2010-1-17 14:47:40
L0是代表第一期消费的借款吧,但是原题没有给出L0啊。
二维码

扫码加我 拉你入群

请注明:姓名-公司-职位

以便审核进群资格,未注明则拒绝

2010-1-17 20:14:55
l0在运算过程中消掉了,对结果没有影响啊
二维码

扫码加我 拉你入群

请注明:姓名-公司-职位

以便审核进群资格,未注明则拒绝

2010-1-18 07:44:57
哇,LS是强人
二维码

扫码加我 拉你入群

请注明:姓名-公司-职位

以便审核进群资格,未注明则拒绝

点击查看更多内容…
相关推荐
栏目导航
热门文章
推荐文章

说点什么

分享

扫码加好友,拉您进群
各岗位、行业、专业交流群