全部版块 我的主页
论坛 计量经济学与统计论坛 五区 计量经济学与统计软件
1553 4
2019-03-11
悬赏 100 个论坛币 未解决
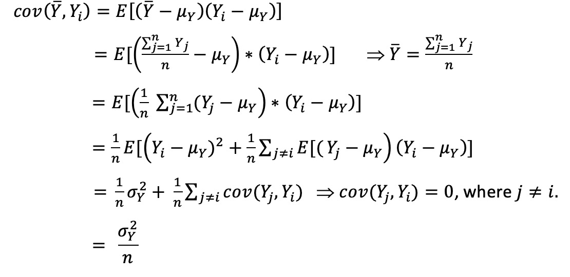
样本y1....yn 是 i.i.d。

请问是如何从第三步推出第四步的?

1552313842262.jpg

原图尺寸 71.57 KB

1552313842262.jpg

二维码

扫码加我 拉你入群

请注明:姓名-公司-职位

以便审核进群资格,未注明则拒绝

全部回复
2019-3-11 22:19:54
乱码了, 我想问的是如何从第3步推倒出第4步的?
二维码

扫码加我 拉你入群

请注明:姓名-公司-职位

以便审核进群资格,未注明则拒绝

2019-3-12 20:37:30
有人知道吗?算了很久还是不太明白。。
二维码

扫码加我 拉你入群

请注明:姓名-公司-职位

以便审核进群资格,未注明则拒绝

2019-3-13 18:25:06
没人吗?0 0
二维码

扫码加我 拉你入群

请注明:姓名-公司-职位

以便审核进群资格,未注明则拒绝

2019-3-14 15:03:14
看来这里是没人解答了。。。
二维码

扫码加我 拉你入群

请注明:姓名-公司-职位

以便审核进群资格,未注明则拒绝

栏目导航
热门文章
推荐文章

说点什么

分享

扫码加好友,拉您进群
各岗位、行业、专业交流群