全部版块 我的主页
论坛 提问 悬赏 求职 新闻 读书 功能一区 悬赏大厅
1387 0
2019-04-03
悬赏 10 个论坛币 未解决
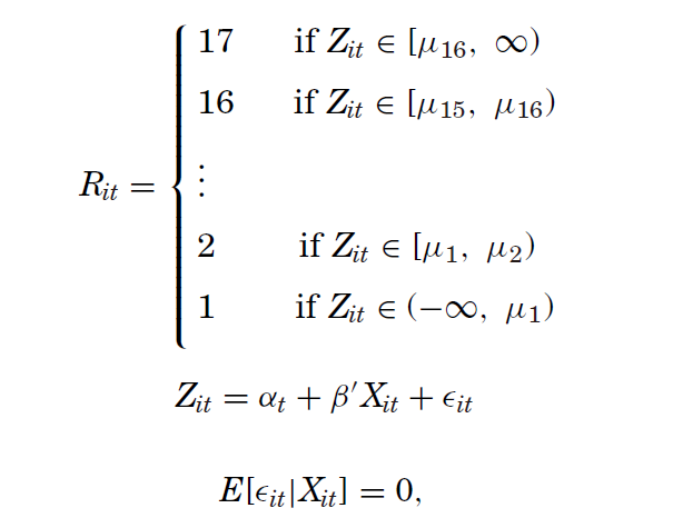
想求助各位stata回归的问题。我想用面板数据跑ordered probit model,用stata的xtoprobit时候总是报错initial values not feasible,想问一下您怎么解决。另外就是不同年份的区别怎么在这个模型中体现,还是说要用另外的回归方法。下附数据。其中Rating2是公司的评级,被解释变量,解释变量是公司的其他财务指标等。附件中的图片是文献模型,有没有大佬可以解释一下如何用stata来实现呀?谢谢!
clear
input str81 Corp int Year str15 CRA byte Rating2 double(Longtermdebtratio Totaldebtratio Operatingmargin Interestcoverage Firmsize Tangibility Cashbalance Capex Retainedearnings)
"TCL集团股份有限公司" 2009 "中诚信国际" 16  .05093231502299508 .28833769758542377 .024857662618160248 5.056027253468831 19.612136840820313  .10150846093893051  .3199244737625122 .056155797094106674 -.0035450877621769905
"TCL集团股份有限公司" 2010 "中诚信国际" 17 .049356234104683004 .32486844062805176 .025433959439396858 5.239293257395427 20.149959564208984 .053863391280174255 .49284759163856506  .05353209003806114   .006083891727030277
"TCL集团股份有限公司" 2011 "中诚信国际" 17  .11638428270816803 .37231160203615826 .030980762094259262 5.884685039520264 20.422353744506836  .14266489446163177   .290823757648468  .21155981719493866   .018084703013300896
"TCL集团股份有限公司" 2012 "中诚信国际" 17  .14665857205788294 .39587315917015076 .033557191491127014 5.645295302073161  20.47126007080078  .26754748821258545  .2298484742641449   .0680544525384903   .021453464403748512
"TCL集团股份有限公司" 2013 "中债资信"    15  .18476217985153198  .3825305700302124  .04352943475047747  7.10980224609375 20.424501419067383   .2607705295085907  .1601312756538391  .04372710362076759   .044796932488679886
"TCL集团股份有限公司" 2013 "中诚信国际" 17  .18476217985153198  .3825305700302124  .04352943475047747  7.10980224609375 20.424501419067383   .2607705295085907  .1601312756538391  .04372710362076759   .044796932488679886
"TCL集团股份有限公司" 2014 "中债资信"    16  .15941940248012543  .3499484360218048  .04990878328680992 7.793627897898356 20.578231811523438   .2180432826280594 .19337378442287445  .08125295490026474    .06641990691423416
"TCL集团股份有限公司" 2014 "中诚信国际" 18  .15941940248012543  .3499484360218048  .04990878328680992 7.793627897898356 20.578231811523438   .2180432826280594 .19337378442287445  .08125295490026474    .06641990691423416
"TCL集团股份有限公司" 2015 "中债资信"    16  .14932330946127573 .33272165060043335   .0546409177283446 8.170662879943848  20.74936294555664  .23302927613258362  .1387072503566742  .14810684323310852    .06943465024232864
"TCL集团股份有限公司" 2015 "中诚信国际" 18  .14932330946127573 .33272165060043335   .0546409177283446 8.170662879943848  20.74936294555664  .23302927613258362  .1387072503566742  .14810684323310852    .06943465024232864
"TCL集团股份有限公司" 2016 "中债资信"    16  .15063408017158508  .3225072721640269  .05010363335410754  7.51887575785319 21.004613876342773  .25636354088783264 .19200432300567627  .09866473078727722    .05698566883802414
"TCL集团股份有限公司" 2016 "中诚信国际" 20  .15063408017158508  .3225072721640269  .05010363335410754  7.51887575785319 21.004613876342773  .25636354088783264 .19200432300567627  .09866473078727722    .05698566883802414
"TCL集团股份有限公司" 2016 "中诚信证券" 20  .15063408017158508  .3225072721640269  .05010363335410754  7.51887575785319 21.004613876342773  .25636354088783264 .19200432300567627  .09866473078727722    .05698566883802414
"TCL集团股份有限公司" 2017 "中诚信国际" 20  .17081052561601004  .3218471109867096 .049422603100538254 7.157912890116374  21.07438850402832  .20336370170116425 .18522672355175018  .09664775431156158     .0628344714641571
"TCL集团股份有限公司" 2017 "中诚信证券" 20  .17081052561601004  .3218471109867096 .049422603100538254 7.157912890116374  21.07438850402832  .20336370170116425 .18522672355175018  .09664775431156158     .0628344714641571
end

微信图片_20190403124521.png

原图尺寸 27.5 KB

微信图片_20190403124521.png

二维码

扫码加我 拉你入群

请注明:姓名-公司-职位

以便审核进群资格,未注明则拒绝

相关推荐
栏目导航
热门文章
推荐文章

说点什么

分享

扫码加好友,拉您进群
各岗位、行业、专业交流群