全部版块 我的主页
论坛 经济学论坛 三区 微观经济学 经济金融数学专区
2019-5-5 23:29:31
上海交通大学2019年数学分析真题
1.png


1、不对。$\exists N>0$,当$n>N,s.t.|a_n-a|$可以小于一个任何给定的正数,$|a_n-a|$趋于零,但不一定单调。

2、不对。反例有:$f(x)=x,f^2(x)=x^2$.

                         在$(-\infty ,+\infty )$上,$x$一致连续,而$x^2$非一致连续。






二维码

扫码加我 拉你入群

请注明:姓名-公司-职位

以便审核进群资格,未注明则拒绝

2019-5-5 23:30:50
上海交通大学2019年数学分析真题
2.png

3、对。设$f(x)$在$x_0$无界。那么由拉格朗日中值定理知:

                                                           $\exists \xi\in(x_0,x)\subset (a,b),s.t.f(x)-f(x_0)=f'(\xi )(x-x_0).$

                                                           $\because f(x_0)=\infty ,\therefore f'(\xi )=\infty .$

4、对。由比较判别法知,两者等价。


5、对。因为$f(x,y)$可全微分,且偏微分存在,所以有

                                                           $df(x,y)=\frac{\partial f}{\partial x}\Delta x+\frac{\partial f}{\partial y}\Delta y=0.$

                                  故,$f(x,y)$为常值函数。








二维码

扫码加我 拉你入群

请注明:姓名-公司-职位

以便审核进群资格,未注明则拒绝

2019-5-5 23:31:44
上海交通大学2019年数学分析真题
3.png
解:
         $\displaystyle \lim_{x\to 0}\frac{\cos x-\sqrt[3]{\cos x}}{\tan x^2}=\lim_{x\to 0}\frac{1-\frac{1}{2}x^2-\sqrt[3]{1-\frac{1}{2}x^2}}{x^2}=\lim_{x\to 0}\frac{1-\frac{1}{2}x^2-1-\frac{1}{3}\cdot \frac{1}{2}x^2}{x^2}=-\frac{2}{3}.$





二维码

扫码加我 拉你入群

请注明:姓名-公司-职位

以便审核进群资格,未注明则拒绝

2019-5-5 23:32:28
上海交通大学2019年数学分析真题
4.png
解:作变量变换
               $\arcsin e^x=t,\rightarrow \sin t=e^x,dx=\frac{\cos t}{\sin t}dt.$

               $\begin{align*}\int \frac{\arcsin e^x}{e^x}dx&=\int \frac{t\cos t}{\sin^2t}dt=-\frac{t}{\sin t}+\int \frac{dt}{\sin x}\\\\&=-\frac{t}{\sin t}+\ln|\csc t-\cot t|+C\\\\&=-\frac{\arcsin e^x}{e^x}+\ln|e^{-x}-\sqrt{e^{-2x}-1}|+C.
\end{align*}$






二维码

扫码加我 拉你入群

请注明:姓名-公司-职位

以便审核进群资格,未注明则拒绝

2019-5-5 23:32:55
上海交通大学2019年数学分析真题
5.png

解:
        $\displaystyle \because f'(x)=-\frac{2}{1+4x^2}=-2\sum_{n=0}^{\infty}(-4x^2)^n=\sum_{n=0}^{\infty}(-1)^{n+1}2^{2n+1}x^{2n},x\in\left ( -\frac{1}{2},\frac{1}{2}\right )$

         $\displaystyle \therefore f(x)=\frac{\pi}{4}+\sum_{n=0}^{\infty }\frac{(-1)^{n+1}}{2n+1}(2x)^{2n+1},x\in\left ( -\frac{1}{2},\frac{1}{2}\right )$




二维码

扫码加我 拉你入群

请注明:姓名-公司-职位

以便审核进群资格,未注明则拒绝

2019-5-5 23:33:54
上海交通大学2019年数学分析真题
6.png

解:先进行变量变换:
                                     $\begin{cases}
u &=x+y \\
v &=\frac{y}{x}
\end{cases}\Rightarrow \begin{cases}
x & =\frac{u}{1+v} \\
y & =\frac{uv}{1+v}.
\end{cases}$

                                  $|J|=\begin{vmatrix}
\frac{1}{1+v} &-\frac{u}{(1+v)^2} \\
\frac{v}{1+v} &\frac{u}{(1+v)^2}
\end{vmatrix}=\frac{u}{(1+v)^2}.$

                                    $D\rightarrow D':0\leq u\leq 1,0\leq v\leq 1.$

                                     $\begin{align*}I&=\iint_D=\iint_{D'}\frac{u^2\ln(1+v)}{(1+v)^2\sqrt{1+u^2}} \\\\
&=\int_{0}^{1}\frac{\ln(1+v)}{(1+v)^2}dv\int_{0}^{1}\frac{1-(1-u^2)}{\sqrt{1-u^2}}du\\\\
&=(\frac{\pi}{4}+\frac{1}{2})\int_{0}^{1}\frac{\ln(1+v)}{(1+v)^2}dv\\\\
&=(\frac{\pi}{4}+\frac{1}{2})(\frac{1}{2}-\frac{1}{2}\ln2).
\end{align*}$



二维码

扫码加我 拉你入群

请注明:姓名-公司-职位

以便审核进群资格,未注明则拒绝

2019-5-5 23:34:26
上海交通大学2019年数学分析真题
7.png
解:添加两个平面,$y=0,y=1$方向分别向$y$轴的负向和正向,使$\Omega =S+y_0+y_z$成为闭合曲面。利用高斯公式,有

                               $\begin{align*}
I&=\iint_S=\iiint_\Omega -\iint_{y=0}-\iint_{y=1}\\\\
&=\iiint_\Omega \left ( \sqrt{1-x^2}-\frac{x^2}{\sqrt{1-x^2}} \right )ydxdydz-0-0\\\\
&=\iint_\sigma  \left ( \sqrt{1-x^2}-\frac{x^2}{\sqrt{1-x^2}} \right )dxdz\int_{0}^{1}ydy\\\\
&=\frac{1}{2}\iint_\sigma \left ( \frac{1-2x^2}{\sqrt{1-x^2}} \right )dxdz\\\\
&=\frac{1}{2}\int_{-1}^{1}\frac{1-2x^2}{\sqrt{1-x^2}} dx\int_{-\sqrt{1-x^2}}^{\sqrt{1-x^2}}dz\\\\
&=2\int_{0}^{1}(1-2x^2)dx\\\\
&=\frac{2}{3}.
\end{align*} $





      

二维码

扫码加我 拉你入群

请注明:姓名-公司-职位

以便审核进群资格,未注明则拒绝

2019-5-6 19:27:34
桂林电子科技大学2018年硕士初试试题
1.png



此题已解答。



附件列表
1.png

原图尺寸 27.16 KB

1.png

二维码

扫码加我 拉你入群

请注明:姓名-公司-职位

以便审核进群资格,未注明则拒绝

2019-5-6 19:28:06
上海交通大学2019年数学分析真题
2.png



重复


二维码

扫码加我 拉你入群

请注明:姓名-公司-职位

以便审核进群资格,未注明则拒绝

2019-5-6 19:28:32
上海交通大学2019年数学分析真题
3.png


重复
二维码

扫码加我 拉你入群

请注明:姓名-公司-职位

以便审核进群资格,未注明则拒绝

2019-5-6 19:29:07
上海交通大学2019年数学分析真题
4.png




重复
二维码

扫码加我 拉你入群

请注明:姓名-公司-职位

以便审核进群资格,未注明则拒绝

2019-5-6 19:29:57
上海交通大学2019年数学分析真题
5.png




重复
二维码

扫码加我 拉你入群

请注明:姓名-公司-职位

以便审核进群资格,未注明则拒绝

2019-5-7 09:01:08
桂林电子科技大学2018年硕士初试试题
1.png

证明:由已知有:
                         $x_n\geq 1,$

                          $x_{n+1}=1+\frac{x_n}{1+x_n}\leq 1+\frac{1+x_n}{1+x_n}=2.$

                          $\because x_{n+1}-x_n=1+\frac{x^2_n}{1+x_n}> 1> 0.$

                         $\therefore x_n\uparrow .$
               
            数列单调有界,故收敛。设:
                                                       $\displaystyle \lim_{n \to \infty }x_n=l,$

                                 则:
                                           $l=1+\frac{l}{1+l}.$

                                       $\Rightarrow l=2.(l\neq 0)$

                                    
二维码

扫码加我 拉你入群

请注明:姓名-公司-职位

以便审核进群资格,未注明则拒绝

2019-5-7 09:01:41
桂林电子科技大学2018年硕士初试试题
2.png
解:令
                   $x=\frac{1}{y},$
        代入原方程得:
                              $f(\frac{1}{y})+2f(y)=3y,$

        与原方程联立。解得:
                                $\Rightarrow f(x)=x-\frac{1}{x}.$

                                $\therefore f'(x)=1+\frac{1}{x^2}.$





二维码

扫码加我 拉你入群

请注明:姓名-公司-职位

以便审核进群资格,未注明则拒绝

2019-5-7 09:02:01
桂林电子科技大学2018年硕士初试试题
3.png
证明:构造辅助函数:
                              $F(x)=\frac{1}{x}f(x),$

              由已知条件得:
                                 $\Rightarrow F(1)=f(1)=1$

                                 $\displaystyle F(0)=\lim_{x\to 0^+}\frac{f(x)}{x}=f_+(0)=1.$

                                  $F'(x)=-\frac{1}{x^2}f(x)+\frac{1}{x}f'(x).$

                             $\therefore \exists \eta \in(0,1),s.t.F'(\eta )=0.(Rolle.DL)$

                            $\Rightarrow -\frac{1}{\eta ^2}f(\eta )+\frac{1}{\eta }f'(\eta )=0.$

                            $\therefore f'(\eta )=\frac{f(\eta )}{\eta }.$

二维码

扫码加我 拉你入群

请注明:姓名-公司-职位

以便审核进群资格,未注明则拒绝

2019-5-7 09:02:21
桂林电子科技大学2018年硕士初试试题
4.png

解:
            $\because F(x)=\int_{0}^{x}t^{n-1}f(x^n-t^n)dt\overset{u=x^n-t^n}{\rightarrow}\frac{-1}{n}\int_{0}^{x}f(x^n-t^n)d(x^n-t^n)=\frac{-1}{n}\int_{0}^{x}f(u)du.$

     当$n=1$时,有
             $\displaystyle \lim_{x\to 0}\frac{F(x)}{x^{2}}=\lim_{x\to 0}\frac{-f(x)}{2x}=-\frac{1}{2}.$

      当$n>1$时,有
              $\displaystyle \therefore \lim_{x\to 0}\frac{F(x)}{x^{2n}}=\lim_{x\to 0}\frac{F'(x)}{2n\cdot x^{2n-1}}=\lim_{x\to 0}\frac{-\frac{1}{n}f(x)}{2n\cdot x^{2n-1}}=-\frac{1}{2n^2\cdot (2n-1)}\lim_{x\to 0}\frac{f'(x)}{x^{2n-2}}=-\infty .$


二维码

扫码加我 拉你入群

请注明:姓名-公司-职位

以便审核进群资格,未注明则拒绝

2019-5-7 09:02:40
桂林电子科技大学2018年硕士初试试题
5.png
解:
         $\int_{2}^{+\infty }\frac{dx}{x(\ln x)^k}=\frac{1}{1-k}(\ln x)^{1-k}|_2^{+\infty }=\begin{cases}
-\frac{(\ln2)^{1-k}}{1-k} &, k> 1 \\
+\infty &,k\leq 1
\end{cases}$






二维码

扫码加我 拉你入群

请注明:姓名-公司-职位

以便审核进群资格,未注明则拒绝

2019-5-7 09:03:03
桂林电子科技大学2018年硕士初试试题
6.png
解:因为函数可能的极值点是偏导数为零的点,所以先求:

                               $\frac{\partial f}{\partial x}=2kx+2ky=0,$

                               $\frac{\partial f}{\partial y}=2kx+2y=0.$

                      解方程组得$k=1.$



二维码

扫码加我 拉你入群

请注明:姓名-公司-职位

以便审核进群资格,未注明则拒绝

2019-5-7 09:03:26
桂林电子科技大学2018年硕士初试试题
7.png
解:
      $\iiint_Vxyz^2dV=\int_{0}^{1}ydy\int_{y}^{1}xdx\int_{0}^{xy}z^2dz=\frac{1}{3}\int_{0}^{1}y^4dy\int_{y}^{1}x^4dx=\frac{1}{15}\int_{0}^{1}y^4(1-y^5)dy=\frac{1}{150}. $



二维码

扫码加我 拉你入群

请注明:姓名-公司-职位

以便审核进群资格,未注明则拒绝

2019-5-7 09:03:45
桂林电子科技大学2018年硕士初试试题
8.png
解:令:
                 $a_n=\int_{0}^{\frac{1}{n}}\frac{\sin x}{1+x}dx,$

                 $\because \int_{0}^{\frac{1}{n}}\sin x< M,\frac{1}{1+x}\downarrow .$

                 $\therefore a_n< \infty .$
               
                 $a_n=\int_{0}^{\frac{1}{n}}\frac{\sin x}{1+x}dx=\frac{1}{1+\xi}\int_{0}^{\frac{1}{n}}\sin x.(\xi\in(0,\frac{1}{n}))$

                 $\rightarrow a_n\sim \frac{M}{1+\xi}.$

                 $n\to\infty ,\xi\to 0,a_n\to M\neq 0.$

            所以,级数发散。


二维码

扫码加我 拉你入群

请注明:姓名-公司-职位

以便审核进群资格,未注明则拒绝

2019-5-7 09:04:08
桂林电子科技大学2018年硕士初试试题
9.png

解:
                $\because \frac{1}{n}-\frac{1}{n+x}\leq \frac{1}{n}-\frac{1}{n+100}=\frac{100}{n(n+x)}< \frac{100}{n^2}\rightarrow 0,(n \to \infty,1\leq x\leq 100)$

                由狄里赫来定理,级数一致收敛。

               因为级数在$x=1$处一致连续,故求和求极限可以交换顺序,即有:

                                               $\begin{align*}\lim_{x\to1}S(x)&=\lim_{x\to1}\sum_{n=1}^{\infty }\left ( \frac{1}{n}-\frac{1}{n+x} \right )\\\\&=\sum_{n=1}^{\infty }\lim_{x\to1}\left ( \frac{1}{n}-\frac{1}{n+x} \right )\\\\&=\lim_{n\to\infty }\sum_{k=1}^{n}\left ( \frac{1}{k}-\frac{1}{k+1} \right )\\\\&=\lim_{n \to \infty }\left ( 1-\frac{1}{n+1} \right )\\\\&=1,
\end{align*}$


二维码

扫码加我 拉你入群

请注明:姓名-公司-职位

以便审核进群资格,未注明则拒绝

2019-5-13 09:36:02
沈阳工业大学2018年数学分析611真题
1.png
解:
     1、    $\displaystyle \lim_{x\to 0}\frac{xe^x-\ln(1+x)}{x^2}=\lim_{x\to 0}\frac{x(1+x+o(x))-(x-\frac{1}{2}x^2+o(x^2))}{x^2}=\lim_{x\to 0}\frac{\frac{3}{2}x^2}{x^2}=\frac{3}{2}.$

     2、  $\displaystyle \lim_{n \to \infty }\frac{1}{n^4}(1^3+2^3+\cdots +n^3)=\int_{0}^{1}x^3dx=\frac{1}{4}.$


二维码

扫码加我 拉你入群

请注明:姓名-公司-职位

以便审核进群资格,未注明则拒绝

2019-5-13 09:36:26
沈阳工业大学2018年数学分析611真题
2.png

很简单,略过。



二维码

扫码加我 拉你入群

请注明:姓名-公司-职位

以便审核进群资格,未注明则拒绝

2019-5-13 09:36:45
沈阳工业大学2018年数学分析611真题
3.png
解:
      5、
                   $\begin{align*}I&=2\int_0^1x^2\sqrt{1+\frac{x^2}{1-x^2}}dx\\&=2\int_0^1\frac{x^2}{\sqrt{1-x^2}}dx\\&=2\int_0^1(-\sqrt{1-x^2}+\frac{1}{\sqrt{1-x^2}})dx\\&=2(-\frac{x}{2}\sqrt{1-x^2}+\frac{1}{2}\arcsin x)|_0^1\\&=\frac{\pi}{2}.
\end{align*}$

      6、      
                     $\because |R|=|\frac{\frac{1}{n}}{\frac{1}{n+1}}|=1,(n \to \infty ).$

                      $\therefore x\in [-1,1).$



二维码

扫码加我 拉你入群

请注明:姓名-公司-职位

以便审核进群资格,未注明则拒绝

2019-5-13 09:37:04
沈阳工业大学2018年数学分析611真题
4.png
证明:
                    $\because \ln(1+x)-x+\frac{x^2}{2}=x-\frac{x^2}{2}+o(x^2)-x+\frac{x^2}{2}=o(x^2)> 0.$

                    $\rightarrow \ln(1+x)> x-\frac{x^2}{2}.$

                    $\because x-\frac{x^2}{2(1+x)}-\ln(1+x)=x-\frac{x^2}{2(1+x)}-x+\frac{1}{2}x^2-o(x^2)=-o(x^2)< 0.$

                    $\rightarrow \ln(1+x)< x-\frac{x^2}{2(1+x)}.$
二维码

扫码加我 拉你入群

请注明:姓名-公司-职位

以便审核进群资格,未注明则拒绝

2019-5-13 09:37:25
沈阳工业大学2018年数学分析611真题
5.png

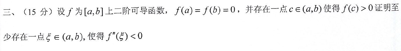
证明:由拉格朗日中值定理知:
                                             $\exists \eta_1\in(a,c),s.t.$

                                             $f(c)-f(a)=f'(\eta_1)(c-a),$

                                       $\because f(a)=0,f(c)> 0,c-a> 0,$

                                       $\therefore f'(\eta_1)> 0.$
                  同理,有
                                           $\exists \eta_1\in(c,b),s.t.$

                                            $f(b)-f(c)=f'(\eta_2)(b-c),$

                                       $\because f(b)=0,f(c)> 0,b-c> 0,$

                                       $\therefore f'(\eta_2)< 0.$

                      由于$f'(x)$二次可导,所以对$f'(x)$,再次应用拉氏中值定理:
                                                 $\exists \xi \in(\eta_1,\eta_2)\subset (a,b),s.t.$

                                                 $f'(\eta_2)-f'(\eta_1)=f''(\xi)(\eta_2-\eta_1),$

                                            $\because f'(\eta_2)-f'(\eta_1)< 0,\eta_2-\eta_1> 0,$

                                            $\therefore f''(\xi)< 0.$



                          
二维码

扫码加我 拉你入群

请注明:姓名-公司-职位

以便审核进群资格,未注明则拒绝

2019-5-13 09:37:50
沈阳工业大学2018年数学分析611真题
6.png

证明:当$0< p\leq 1$时,积分
                                                 $\int_{1}^{+\infty }\frac{\cos x}{x^p}dx< \infty$

                  但
                                   $\because |\int_{1}^{+\infty }\frac{\cos x}{x^p}dx|\geq \int_{1}^{+\infty }\frac{\cos^2x}{x^p}dx=\int_{1}^{+\infty }\frac{\cos2x-1}{2x^p}dx =\int_{1}^{+\infty }\frac{\cos2x}{2x^p}dx-\int_{1}^{+\infty }\frac{1}{2x^p}dx.$
                 
                  而
                          $\int_{1}^{+\infty }\frac{\cos2x}{2x^p}dx< \infty $

                          $\int_{1}^{+\infty }\frac{1}{2x^p}dx=\infty $

               因此,原积分条件收敛。
--------------------------------------------------
              令
                             $\sqrt{x}=t,$

                          $\Rightarrow \int_{1}^{+\infty }\frac{\cos\sqrt{x}}{x}dx=\int_{1}^{+\infty }\frac{2\cos t}{t}dt.$

                   由前半题结论知,积分 $\int_{1}^{+\infty }\frac{\cos\sqrt{x}}{x}dx$ 条件收敛。



二维码

扫码加我 拉你入群

请注明:姓名-公司-职位

以便审核进群资格,未注明则拒绝

2019-5-13 09:38:12
沈阳工业大学2018年数学分析611真题
7.png
解:
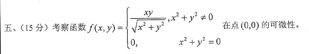
                     $\displaystyle \because \frac{\partial f}{\partial x}|_{(0,0)}=\lim_{x\to 0}\frac{f(x,0)-f(0,0)}{x-0}=0.$
               同理有:
                                  $\frac{\partial f}{\partial y}|_{(0,0)}=0.$

                                  $\displaystyle df|_{(0,0)}=\lim_{\sqrt{\Delta x^2+\Delta y^2}\to 0}\frac{f(x,y)-f(0,0)}{\sqrt{\Delta x^2+\Delta y^2}}=\lim_{\sqrt{\Delta x^2+\Delta y^2}\to 0}(\frac{\partial f}{\partial x}\Delta x+\frac{\partial f}{\partial y}\Delta y)=0.$

                 因此,函数在$(0,0)$可微。

二维码

扫码加我 拉你入群

请注明:姓名-公司-职位

以便审核进群资格,未注明则拒绝

2019-5-13 09:38:30
沈阳工业大学2018年数学分析611真题
8.png

解:令
                        $u(x,y,\lambda )=x^2-y^2+\lambda (x^2+y^2-4),$

             求条件极值点:
                                   $\begin{cases}
u_x=2x+2\lambda x&=0, \\
u_y=2y+2\lambda y&=0, \\
u_\lambda =x^2+y^2-4&=0.
\end{cases}$
           
                                 $\therefore \lambda =-1,y=\pm \sqrt{2},x=0.$
                可能的极值点为:
                                  $P_1(0,\sqrt{2}),P_2(0,-\sqrt{2}).$

                               $\because A=z_{xx}=2,B=z_{xy}=0,C=z_{yy}=2,$   

                               $\therefore B^2-AC=-4< 0,$

                   由函数附近的性状,知$P_1,P_2$为极大值点。极大值为:

                                  $z_{Max}=-2.$

二维码

扫码加我 拉你入群

请注明:姓名-公司-职位

以便审核进群资格,未注明则拒绝

2019-5-13 09:39:14
沈阳工业大学2018年数学分析611真题
9.png
解:利用换元法计算。令
                                     $\begin{cases}
u&=x-y, \\
v&=x+y .
\end{cases}\Rightarrow \begin{cases}
x&=\frac{v-u}{2}, \\
y&=\frac{v+u}{2}.
\end{cases}$
                   而
                                     $|J|=\begin{vmatrix}
\frac{1}{2} &\frac{1}{2} \\
-\frac{1}{2} &\frac{1}{2}
\end{vmatrix}=\frac{1}{2}.$
                  积分区域:
                                    $D_{xy}:0\leq x\leq 1,0\leq y\leq 1-x.$

                                $\Rightarrow D_{uv}:0\leq v\leq 1,-v\leq u\leq v,$

                                $\therefore I=\iint e^{\frac{x-y}{x+y}}dxdy=\int_{0}^{1}dv\int_{-v}^{v}\frac{1}{2}e^{\frac{u}{v}}du=\frac{1}{4}(e-e^{-1}).$


二维码

扫码加我 拉你入群

请注明:姓名-公司-职位

以便审核进群资格,未注明则拒绝

栏目导航
热门文章
推荐文章

说点什么

分享

扫码加好友,拉您进群
各岗位、行业、专业交流群