全部版块 我的主页
论坛 经济学论坛 三区 微观经济学 经济金融数学专区
2019-5-13 09:39:53
沈阳工业大学2018年数学分析611真题
10.png

解:  令:
                            $P=x^2-y,Q=-x-\sin^2y,$  

                       $\because \frac{\partial Q}{\partial x}=-1=\frac{\partial P}{\partial y},$

        补上直线段$y=0,x=1$使之与$L$构成闭合回路$L'$。所求积分:

                           $\begin{align*}\int_L&=\oint_{L'}-\int_{y=0}-\int_{x=1}\\\\&=0-\int_{0}^{1}x^2dx+\int_{0}^{1}(1+\sin^2y)dy\\\\&=-\frac{1}{3}+\int_{0}^{1}(\frac{3}{2}-\frac{1}{2}\cos2y)dy\\\\&=\frac{7}{6}-\frac{1}{4}\sin2.
\end{align*}$
     

            
二维码

扫码加我 拉你入群

请注明:姓名-公司-职位

以便审核进群资格,未注明则拒绝

2019-5-13 09:40:25
沈阳工业大学2018年数学分析611真题
11.png
解:添加三个面:
                       $z=-1,z=1,x=0$,使之与所给半柱面成一闭合曲面$\Sigma $.方向取使所成的闭合曲面向外的方向。再对闭合曲面应用高斯公式。

                        $\begin{align*}I&=\iint_ \Sigma -\iint_{z=-1}-\iint_{z=1}-\iint_{x=0}\\\\&=\iiint_\Omega (z+x+y)dV-0\\\\&=\iint_\sigma dxdy\int_{-1}^{1}(x+y+z)dz\\\\&=2\int_{-\frac{\pi}{2}}^{\frac{\pi}{2}}d\theta \int_{0}^{1}r^2(\cos \theta+\sin\theta )dr\\\\&=\frac{4}{3}.
\end{align*}$



二维码

扫码加我 拉你入群

请注明:姓名-公司-职位

以便审核进群资格,未注明则拒绝

2019-5-13 09:41:00
沈阳工业大学2018年数学分析611真题
12.png

证明:
                       $\because r^n\to 0\downarrow ,\to 0.(n \to \infty )$

                $\displaystyle |\sum_{k=1}^{n}\cos kx|\leq |\sum_{k=1}^{n}\cos kx|\leq \frac{1}{|\sin \frac{x}{2}|},$

                $\therefore x\neq 2k\pi,k=0,1,2,\cdots $时,上述级数有限项和有界,故由Drichlet判别法知,原级数一致收敛。

                而当$x=2k\pi,k=0,1,2,\cdots $时,
                               $\displaystyle \because |\sum_{k=1}^{n}r^n\cos kx|\leq \sum_{k=1}^{n}r^n,$

                 而级数$\displaystyle \sum_{n=1}^{\infty }r^n$一致收敛。因此$f(x)$一致收敛。

                综上,在$(-\infty ,+\infty )$上,$f(x)$一致收敛。

                由于$f(x)$一致收敛,所以,积分和求和可以交换顺序,即:

                     $\begin{align*}\int_{0}^{2\pi}f(x)dx&=2\pi+\int_{1}^{2\pi}\sum_{n=1}^{\infty }r^n\cos nxdx\\\\&=2\pi+\sum_{n=1}^{\infty }r^n\int_{0}^{2\pi}\cos nxdx\\\\&=2\pi+\sum_{n=1}^{\infty }r^n(\frac{\sin nx}{n})|_0^{2\pi}\\\\&=2\pi.
\end{align*}$   


               
二维码

扫码加我 拉你入群

请注明:姓名-公司-职位

以便审核进群资格,未注明则拒绝

2019-5-24 09:33:32
桂林电子科技大学2017年811数学分析A
1.png

解:
                      $\because 3^\frac{n}{n}<(1+2^n+3^n)^{\frac{1}{n}}< 3^\frac{n+1}{n}.$

                       $\therefore  \lim\limits_{n \to \infty }(1+2^n+3^n)^{\frac{1}{n}}=3.$


二维码

扫码加我 拉你入群

请注明:姓名-公司-职位

以便审核进群资格,未注明则拒绝

2019-5-24 09:34:09
桂林电子科技大学2017年811数学分析A
2.png

解:
                 $\begin{align*}I&=\lim_{x\to0}\frac{\int_{0}^{x}[\int_{0}^{u^2}\arctan (1+t)dt]du}{x(1-\cos x)}\\\\&=\lim_{x\to0}\frac{\int_{0}^{x^2}\arctan (1+t)dt}{1-\cos x+x\sin x}\\\\&=\lim_{x\to0}\frac{2x\arctan (1+x)}{2\sin x+x\cos x}\\\\&=\lim_{x\to0}\frac{\frac{\pi}{2}x}{2\sin x+x\cos x}\\\\&=\frac{\pi}{6}.
\end{align*}$


二维码

扫码加我 拉你入群

请注明:姓名-公司-职位

以便审核进群资格,未注明则拒绝

2019-5-24 09:34:32
桂林电子科技大学2017年811数学分析A
3.png
解:令
                         $u=2x-t,\rightarrow du=-dt.[0,x]\rightarrow [2x,x].$

                  $\because \int_{0}^{x}tf(2x-t)dt=\frac{1}{2}\arctan x^2,$

                 $\Rightarrow \int_{2x}^{x}(u-2x)f(u)du=\int_{2x}^{x}uf(u)du-2x\int_{2x}^{x}f(u)du=\frac{1}{2}\arctan x^2,$

                 $xf(x)-4xf(4x)-2\int_{2x}^{x}f(u)du-2xf(x)+4xf(4x)=\frac{x}{1+x^4},$

                 $\therefore \int_{x}^{2x}f(u)du=\frac{1}{2}(\frac{x}{1+x^4}+xf(x)).$
            令
                        $x=1,$

                 $\therefore \int_{1}^{2}f(u)du=\frac{1}{2}(\frac{1}{1+1}+f(1))=\frac{3}{4}.$



二维码

扫码加我 拉你入群

请注明:姓名-公司-职位

以便审核进群资格,未注明则拒绝

2019-5-24 09:35:02
桂林电子科技大学2017年811数学分析A
4.png

解:
                       $\because n \to \infty ,\frac{1}{\ln n}\downarrow ,\to 0.$
              而
                        $a_n=\sin (n\pi+\frac{1}{\ln n})=(-1)^{n-1}\sin (\frac{1}{\ln n})\sim (-1)^{n-1}\frac{1}{\ln n}.$

              所以,交错级数条件收敛。


                        


二维码

扫码加我 拉你入群

请注明:姓名-公司-职位

以便审核进群资格,未注明则拒绝

2019-5-24 09:35:37
桂林电子科技大学2017年811数学分析A
5.png
证明:
                $\because |\frac{\sin nx}{n^3}|\leq \frac{1}{n^3}\rightarrow 0,(n \to \infty )$
               
              所以,当$x\in(-\infty ,+\infty )$时,$f(x)$一致连续,即$f(x)$连续。

              又因为$f(x)$一致连续,故:
                                       $f'(x)=(\sum \frac{\sin nx}{n^3})'=\sum (\frac{\sin nx}{n^3})'=\sum \frac{\sin nx}{n^2},$

                                       $\because |\frac{\sin nx}{n^2}|\leq \frac{1}{n^2}\rightarrow 0,(n \to \infty)$

              因此,$f'(x)$连续。


二维码

扫码加我 拉你入群

请注明:姓名-公司-职位

以便审核进群资格,未注明则拒绝

2019-5-24 09:36:11
桂林电子科技大学2017年811数学分析A
6.png
解:
             $\because u=yf(\frac{x}{y})+xg(\frac{y}{x}),$

              $\therefore \frac{\partial u}{\partial x}=f_x+g-\frac{y}{x}g_x,$

                 $\frac{\partial^2 u}{\partial x^2}=\frac{1}{y}f_{xx}-\frac{y}{x^2}g_x+\frac{y}{x^2}g_x+\frac{y}{x^2}g_{xx}=\frac{1}{y}f_{xx}+\frac{y}{x^2}g_{xx},$

                 $\frac{\partial^2 u}{\partial x\partial y}=-\frac{x}{y^2}f_{xy}+\frac{1}{x}g_{x}-\frac{1}{x}g_{x}-\frac{y}{x^2}g_{xy}=-\frac{x}{y^2}f_{xy}-\frac{y}{x^2}g_{xy},$

               $\therefore x\frac{\partial^2 u}{\partial x^2}+y\frac{\partial^2 u}{\partial x\partial y}=\frac{x}{y}f_{xx}+\frac{y}{x}g_{xx}-\frac{x}{y}f_{xy}-\frac{y^2}{x^2}g_{xy}.$




二维码

扫码加我 拉你入群

请注明:姓名-公司-职位

以便审核进群资格,未注明则拒绝

2019-5-24 09:36:39
桂林电子科技大学2017年811数学分析A
7.png

解:因为积分与路径无关,所以有:

                             $\frac{\partial Q}{\partial x}=\frac{\partial P}{\partial y},\rightarrow f'_y(x,y)=\cos y.$

                          $\therefore f(x,y)=\int_{0}^{y}f'_y(x,y)dy=\sin y+f(x,0).$

           将积分路径改为:

                                   $(0,0)\rightarrow (t,t^2)\Rightarrow O(0,0)\rightarrow A(t,0)\rightarrow B(t,t^2).$

                同已知,

                               $\begin{align*}\int_{(0,0)}^{(t,t^2)}f(x,y)dx+x\cos ydy&=\int_{OA}f(x,y)dx+x\cos ydy+\int_{AB}f(x,y)dx+x\cos ydy\\\\&=\int_{0}^{t}f(x,0)dx+\int_{0}^{t^2}t\cos ydy\\\\&=\int_{0}^{t}f(x,0)dx+t\sin t^2\\\\&=t^2,
\end{align*}$

                            $\therefore \int_{0}^{t}f(x,0)dx=t^2-t\sin t^2.$

                对$t$求导,得:

                              $f(x,0)=f(t,0)=2t-\sin t^2-2t^2\cos t^2,$

                 代入前面的已知等式,得:

                              $\therefore f(x,y)=\sin y+f(x,0)=\sin y+2t-\sin t^2-2t^2\cos t^2=2x-2y\cos y.$

                    其中,$x=t,y=t^2.$

二维码

扫码加我 拉你入群

请注明:姓名-公司-职位

以便审核进群资格,未注明则拒绝

2019-5-24 09:37:12
桂林电子科技大学2017年811数学分析A
8.png
解:
                        $V=2\iiint_\Omega dV .$

                            $\Omega :0\leq z\leq \sqrt{4-x^2-y^2},$
                       
                            $\begin{cases}
x &=r\cos \theta  \\
y &=r\sin \theta  
\end{cases}$

                             $|J|=r,-\frac{\pi}{2}\leq \theta  \leq \frac{\pi}{2},0\leq r\leq 2.$

                          $\begin{align*}\therefore V&=2\iiint_\Omega dV\\\\&=2\int_{-\frac{\pi}{2}}^{\frac{\pi}{2}}d\theta \int_{0}^{2}rdr\int_{0}^{\sqrt{4-x^2-y^2}}dz\\\\&=2\pi\int_{0}^{2}r\sqrt{4-r^2}dr\\\\&=-\frac{2}{3}\pi\sqrt{(4-r^2)^3}|_0^2\\\\&=\frac{16}{3}\pi.
\end{align*}$



二维码

扫码加我 拉你入群

请注明:姓名-公司-职位

以便审核进群资格,未注明则拒绝

2019-5-27 14:41:44
杭州电子科技大学2018年数学分析自命题
1.png

1、解:
                          $\because 4^{\frac{n}{n}}< (2^n+3^n+4^4)^{\frac{1}{n}}< \sqrt[n]{3}4^{\frac{n}{n}}.$

                           $\therefore \displaystyle \lim_{n \to \infty }(2^n+3^n+4^4)^{\frac{1}{n}}=4.$
2、解:

                  $\begin{align*}\lim_{x\to 0}\frac{f(1+x)-f(1-3x)}{x}&=\lim_{x\to 0}\frac{f(1+x)-f(1)}{x}+3\cdot \lim_{x\to 0}\frac{f(1-3x)-f(1)}{-3x}\\\\&=f'(1)+3f'(1)=12.
\end{align*}$


3、解:
                  $\because (1+\frac{\mathrm{d} y}{\mathrm{d} x})e^{x+y}=(y+x\frac{\mathrm{d} y}{\mathrm{d} x})\cos(xy),$

                  $\therefore \frac{\mathrm{d} y}{\mathrm{d} x}=\frac{y\cos(xy)-e^{x+y}}{e^{x+y}-x\cos(xy)}.$

4、解:
                 $\because F(x)=\int_{0}^{2x}xe^{t^2}dt,$

                 $\therefore F'(x)=\int_{0}^{2x}e^{t^2}dt+2xe^{4x^2}.$


二维码

扫码加我 拉你入群

请注明:姓名-公司-职位

以便审核进群资格,未注明则拒绝

2019-5-27 14:42:10
杭州电子科技大学2018年数学分析自命题
2.png

6、解:
                    $\frac{\partial P}{\partial y}=\frac{\partial Q}{\partial x},\rightarrow a=2.$

7、解:
                    $\int_{0}^{4}dy\int_{-\sqrt{4-y}}^{\frac{1}{2}(y-4)}f(x,y)dx.$

8、解:
                    $\oint\int_\Sigma (2-x^2-y^2-z^2)dS=\iint_S \sqrt{\frac{1}{1-x^2-y^2}}dxdy=\int_{0}^{2\pi}d\theta \int_{-1}^{1}\frac{r}{\sqrt{1-r^2}}dr=0. $



二维码

扫码加我 拉你入群

请注明:姓名-公司-职位

以便审核进群资格,未注明则拒绝

2019-5-27 14:42:40
杭州电子科技大学2018年数学分析自命题
3.png
(第3小题与前面有类同,略)

1、解:
                   $\displaystyle \lim_{x\to \infty}\frac{x(1-\cos\frac{1}{x^2})}{\sqrt{x^2+1}-x}=\lim_{x\to \infty}\frac{(1-\cos\frac{1}{x^2})}{\sqrt{1+\frac{1}{x^2}}-1}=\lim_{x\to \infty}\frac{\frac{1}{2x^2}}{\frac{1}{2}x^2}=0.$


2、解:
                     $(\frac{\partial u}{\partial x}+\frac{\partial v}{\partial x})\cos(u+v)=y,$

                     $(v\frac{\partial u}{\partial x}+u\frac{\partial v}{\partial x})e^{uv}=-1.$
              解之得

                     $\frac{\partial u}{\partial x}=\frac{yue^{uv}+\cos(u+v)}{ue^{uv}-v\cos(u+v)}.$
                    

二维码

扫码加我 拉你入群

请注明:姓名-公司-职位

以便审核进群资格,未注明则拒绝

2019-5-27 14:43:02
杭州电子科技大学2018年数学分析自命题
4.png

4、解:
           $\displaystyle \sum_{n=0}^{\infty }\frac{1}{n+1}x^n=x\lim_{n \to \infty }\sum_{k=0}^{n}\frac{1}{k+1}x^{k+1}=\lim_{n \to \infty }\frac{x(x-x^{n+1})}{1+x}=\frac{x^2}{1+x},(-1\leq x< 1)$

5、解:
            $V=\iiint_\Omega z^2dV=\iint_S((x^2+y^2)-(x^2+y^2)^2)dxdy,$

             $\begin{cases}
x&=r\cos \theta,  \\
y&=r\sin \theta,
\end{cases} $

             $|J|=r.0\leq r\leq 1,0\leq \theta\leq 2\pi.$

              $\therefore V=\int_{0}^{2\pi}d\theta\int_{0}^{1}r(r^2-r^4)dr=\frac{\pi}{6}.$


二维码

扫码加我 拉你入群

请注明:姓名-公司-职位

以便审核进群资格,未注明则拒绝

2019-5-27 14:43:26
杭州电子科技大学2018年数学分析自命题
5.png

解:
                   $\begin{align*}
g'(0)&=\lim_{x\to 0} \frac{g(x)-g(0)}{x-0}\\\\
&=\lim_{x\to 0} \frac{\frac{f(x)}{x}-f'(0)}{x}\\\\
&=\lim_{x\to 0} \frac{f(x)-xf'(0)}{x^2}\\\\
&=\lim_{x\to 0} \frac{f'(x)-f'(0)}{2x}\\\\
&=\frac{1}{2}\lim_{x\to 0}f''(x)\\\\
&=\frac{1}{2}f''(0).
\end{align*}$
二维码

扫码加我 拉你入群

请注明:姓名-公司-职位

以便审核进群资格,未注明则拒绝

2019-5-27 14:43:55
杭州电子科技大学2018年数学分析自命题
6.png

解:
                 $\because |(-1)^n\frac{\sin^2 x+n}{n^2}|\leq \frac{1+n}{n^2}\rightarrow 0,(n \to \infty )$

        所以,由狄利赫来判别法,级数一致收敛。

                  $\because (-1)^n\frac{\sin^2 x+n}{n^2}\leq (-1)^n\frac{1+n}{n^2}$

        而后一级数收敛,故原级数也收敛。又:

                                      $\because |(-1)^n\frac{\sin^2 x+n}{n^2}|\geq \frac{1}{n}$

                  发散。

                所以,原级数条件收敛。


二维码

扫码加我 拉你入群

请注明:姓名-公司-职位

以便审核进群资格,未注明则拒绝

2019-5-27 14:44:15
杭州电子科技大学2018年数学分析自命题
7.png
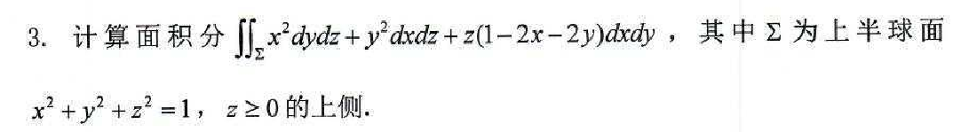
解:添加平面$z=0$,方向向下,使积分区域$\Sigma+z=0$成一闭合曲面,利用高斯公式计算。

              $\iint_\Sigma +\iint_{z=0}-\iint_{z=0}=\iiint_\Omega (2x+2y+1-2x-2y)dxdydz-0=\frac{2}{3}\pi.$


二维码

扫码加我 拉你入群

请注明:姓名-公司-职位

以便审核进群资格,未注明则拒绝

2019-5-27 14:44:37
杭州电子科技大学2018年数学分析自命题
8.png
证明:
                  由已知:
                        $\forall x_0\in(0,+\infty ),$
        
                        $f(x_0)=f(3x_0)=f(3^2x_0)=\cdots =f(3^nx_0),$

                       $\because \lim\limits_{x\to\infty }f(x)=5,$

                由海涅定理,有:
  
                             $\lim\limits_{n\to\infty }f(3^nx_0)=5,$        

                            $\therefore f(x_0)=\lim\limits_{n \to \infty }f(x_0)=\lim\limits_{n\to\infty }f(3^nx_0)=5,$

              由$x_0$的任意性,可得

                                        $f(x)=5.$


          注:此类题中数字$3$可为大于1的任意实数$a$.


二维码

扫码加我 拉你入群

请注明:姓名-公司-职位

以便审核进群资格,未注明则拒绝

2019-5-27 14:46:09
杭州电子科技大学2018年数学分析自命题
10.png

证明:  令:
                   $F(x,y)=f(x,y)+\lambda \varphi (x,y),$

           多元函数可能的极值点,满足下列方程组:

                           $\begin{cases}
F'_x(x,y)&=f'_x(x,y)+\lambda\varphi'_x(x,y)=0,  \\
F'_y(x,y)&=f'_y(x,y)+\lambda\varphi'_y(x,y)=0,  \\
F'_\lambda (x,y)&=\varphi(x,y)=0,   
\end{cases}$

               所以,当存在极值点$(x_0,y_0)$时,一定也满足上列方程组。故有:

                                   $f'_x(x_0,y_0)\neq 0,\Rightarrow \lambda \neq 0,\varphi'_x(x_0,y_0)\neq 0,$

                                   $\lambda \neq 0,\varphi'_y(x_0,y_0)\neq 0,\Rightarrow f'_y(x_0,y_0)\neq 0.$



二维码

扫码加我 拉你入群

请注明:姓名-公司-职位

以便审核进群资格,未注明则拒绝

2019-5-27 14:55:42
杭州电子科技大学2018年数学分析自命题
(第2小题有雷同,略)
9.png

证明:由已知,$f_n(x)$连续,有:
                                                     $\forall \varepsilon > 0,\exists \delta > 0,|x_n-x_0|< \delta ,s.t.$

                                                      $|f_n(x_n)-f_n(x_0)|< \frac{\varepsilon }{2},$

                    又因为$f_n(x)$一致收敛于$f(x)$,故有:
   
                                                       $\forall \varepsilon > 0,\exists N> 0,n> N,s.t.$

                                                       $|f_n(x_0)-f(x_0)|< \frac{\varepsilon }{2}.$

                      当满足上述两个条件时,有:

                                                $|f_n(x_n)-f(x_0)|\leq |f_n(x_n)-f_n(x_0)|+|f_n(x_0)-f(x_0)|< \frac{\varepsilon }{2}+\frac{\varepsilon }{2}=\varepsilon .$

                       命题得证。

二维码

扫码加我 拉你入群

请注明:姓名-公司-职位

以便审核进群资格,未注明则拒绝

2019-5-29 09:34:20
西南大学2008年数学分析试题
1.png

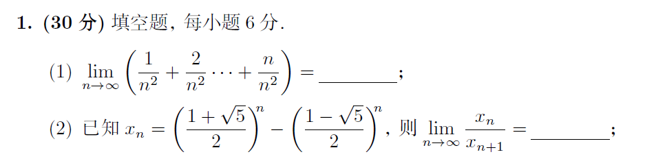
1、$\int_{0}^{1}xdx=\frac{1}{2}.$

2、$\displaystyle \lim_{n \to \infty }\frac{x_n}{x_{n+1}}=\lim_{n \to \infty }\frac{ (\frac{1+\sqrt{5}}{2})^n-(\frac{1-\sqrt{5}}{2})^{n} }{(\frac{1+\sqrt{5}}{2})^{n+1}-(\frac{1-\sqrt{5}}{2})^{n+1}}=\lim_{n \to \infty }\frac{ 1-(\frac{1-\sqrt{5}}{1+\sqrt{5}})^{n} }{(\frac{1+\sqrt{5}}{2})-\frac{1-\sqrt{5}}{2}(\frac{1-\sqrt{5}}{1+\sqrt{5}})^{n}}=\frac{\sqrt{5}-1}{2}.$


二维码

扫码加我 拉你入群

请注明:姓名-公司-职位

以便审核进群资格,未注明则拒绝

2019-5-29 09:34:47
西南大学2008年数学分析试题
2.png

(3)、由定义,得
                          $f(x)=\begin{cases}
0&,x> 1 \\
0&,x< -1 \\
ax^2+bx&,-1<x<1\\
\frac{1+a+b}{2}&,x=1\\
\frac{-1+a-b}{2}&,x=-1
\end{cases}$
           因为函数连续,所以有:
                                              $\displaystyle \lim_{x\to 1}(ax^2+bx)=\frac{1+a+b}{2},\Rightarrow a+b=1,$

                                               $\displaystyle \lim_{x\to -1}(ax^2+bx)=\frac{-1+a-b}{2},\Rightarrow a-b=-1,$

              解之,得
                                    $\therefore a=0,b=1.$

(4)、$y'=\frac{\ln x+1}{\ln y+1}.$


(5)、
二维码

扫码加我 拉你入群

请注明:姓名-公司-职位

以便审核进群资格,未注明则拒绝

2019-5-29 09:35:16
西南大学2008年数学分析试题
3.png

(1)、$B.$

(2)、$B.$



二维码

扫码加我 拉你入群

请注明:姓名-公司-职位

以便审核进群资格,未注明则拒绝

2019-5-29 09:35:45
西南大学2008年数学分析试题
4.png


(3)、$B.$

(4)、$B.$(猜的)


二维码

扫码加我 拉你入群

请注明:姓名-公司-职位

以便审核进群资格,未注明则拒绝

2019-5-29 09:37:01
西南大学2008年数学分析试题
5.png

此题应该是错题吧?




二维码

扫码加我 拉你入群

请注明:姓名-公司-职位

以便审核进群资格,未注明则拒绝

2019-5-29 09:37:52
西南大学2008年数学分析试题
6-1.png
6-2.png

解:(1)、由已知得:
                      $S_1=\iint_{\sigma_1}dxdy=\int_{a}^{0}dx\int_{x^2}^{ax}dy=\int_{a}^{0}(ax-x^2)dx=-\frac{1}{6}a^3.$

                       $S_2=\iint_{\sigma_2}dxdy=\int_{0}^{1}dx\int_{ax}^{x^2}dy=\int_{0}^{1}(x^2-ax)dx=\frac{1}{3}-\frac{1}{2}a.$

                      $S=S_1+S_2=-\frac{1}{6}a^3+\frac{1}{3}-\frac{1}{2}a,$
                 令:
                        $S'=-\frac{1}{2}a^2-\frac{1}{2}a=0,\Rightarrow a=-1.$

                       $S_{min}=1.$

         (2)、
                       $V=\pi\int_{-1}^{0}(x^2-x^4)dx+\pi\int_{0}^{1}(x^2-x^4)dx=2\pi\int_{0}^{1}(x^2-x^4)dx=\frac{4}{15}\pi.$

二维码

扫码加我 拉你入群

请注明:姓名-公司-职位

以便审核进群资格,未注明则拒绝

2019-5-29 09:38:27
西南大学2008年数学分析试题
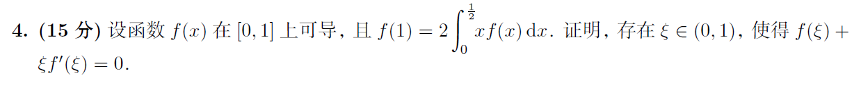
7.png

证明:
                         $\because f(1)=2\int_{0}^{1/2}xf(x)dx,$

              由积分中值定理,有
                              
                           $\exists \eta \in(0,1/2),s.t.f(1)=2\cdot \frac{1}{2}\eta f(\eta )=\eta f(\eta ),$
                   令:
                           $F(x)=xf(x),$

                      因为有:
                             $F(1)=F(\eta )=\eta f(\eta ),$

               所以由Rolle定理,得

                            $\exists \xi \in(\eta ,1)\subset (0,1),s.t.F'(\xi)=\xi f'(\xi)+f(\xi)=0.$


二维码

扫码加我 拉你入群

请注明:姓名-公司-职位

以便审核进群资格,未注明则拒绝

2019-5-29 09:39:04
西南大学2008年数学分析试题
8.png

解:
                    $\because \int_{0}^{1}\varphi(tx)dt=\frac{1}{x}\int_{0}^{1}\varphi(tx)d(tx)=\frac{1}{x}\int_{0}^{x}\varphi(u)du=a\varphi(x),$

                     $\therefore \int_{0}^{x}\varphi(u)du=ax\varphi(x).$

              对$x$求导:

                      $\varphi(x)=a\varphi(x)+ax\varphi'(x).$

                      $\frac{\varphi'(x)}{\varphi(x)}=\frac{1-a}{ax},$

             对$x$求积,有:

                      $\Rightarrow \ln\varphi(x)=\frac{1-a}{a}\ln x,$

                       $\therefore \varphi(x)=e^C\cdot x^\frac{1-a}{a}=Cx^\frac{1-a}{a}.$

             其中,C为任意常数。


二维码

扫码加我 拉你入群

请注明:姓名-公司-职位

以便审核进群资格,未注明则拒绝

2019-5-29 09:39:25
西南大学2008年数学分析试题
9.png

解:(1)、因为当$p> 0$时,\{\frac{(-1)^{n-1}}{n^p}\}为交错级数,收敛。而级数

                         $ \{-\frac{1}{2}\frac{1}{n^{2p}}\}$在$0< p\leq \frac{1}{2}$,发散;在$p> \frac{1}{2}$时,收敛。

                   因此,级数$\{a_n\}$在$p> \frac{1}{2}$时,收敛。

                 又,

                       $\because |a_n|=|\frac{(-1)^{n-1}}{n^p}-\frac{1}{2}\frac{1}{n^{2p}}+o(\frac{1}{n^{2p}})|> \frac{1}{n^p}-\frac{1}{2n^{2p}}+o(\frac{1}{n^{2p}})\sim \frac{1}{n^p}.$

                  故,当$0< p\leq \frac{1}{2}$时,原级数发散;

                        当$\frac{1}{2}< p\leq 1$时,原级数条件收敛;

                        当$p> 1$时,原级数绝对收敛。

        (2)、
                              $\because \ln(1+\frac{(-1)^{n-1}}{n^p})\sim \frac{(-1)^{n-1}}{n^p},$

                    所以,当$0\leq p\leq 1$时,级数条件收敛;

                             当$p>1$时,级数绝对收敛;



二维码

扫码加我 拉你入群

请注明:姓名-公司-职位

以便审核进群资格,未注明则拒绝

栏目导航
热门文章
推荐文章

说点什么

分享

扫码加好友,拉您进群
各岗位、行业、专业交流群