全部版块 我的主页
论坛 经济学论坛 三区 微观经济学 经济金融数学专区
2019-5-29 09:39:52
西南大学2008年数学分析试题
10.png

帖一个更为一般的命题的证明,如下。(本题为其特例)
QQ图片20190531095038.png
二维码

扫码加我 拉你入群

请注明:姓名-公司-职位

以便审核进群资格,未注明则拒绝

2019-5-31 18:43:04
湖南师范大学数学分析2017真题
1.png
解:1、
                        $\because q> p.$

                        $\therefore \frac{1}{x^p+x^q}< \frac{1}{x^p},$

                  所以,当$p> 1$时,反常积分收敛。又

                        $\because \frac{1}{x^p+x^q}> \frac{1}{2x^q},$

                  因此,当$q\leq 1$时,反常积分发散。

     2、过两曲面交线上一点的法平面方程为:
                           $\begin{vmatrix}
F_y &F_z \\
G_y & G_z
\end{vmatrix}(x-x_0)+\begin{vmatrix}
F_z &F_x \\
G_z & G_x
\end{vmatrix}(y-y_0)+\begin{vmatrix}
F_x &F_y \\
G_x & G_y
\end{vmatrix}(z-z_0)=0,$


                           $\therefore \begin{vmatrix}
0 &6 \\
2 & 6
\end{vmatrix}(x-1)+\begin{vmatrix}
6 &2 \\
6 & 0
\end{vmatrix}(y-1)+\begin{vmatrix}
2 &0 \\
0 & 2
\end{vmatrix}(z-3)=0,$

                    所求法平面方程为:

                                         $3x+3y-z-3=0.$
                  

     3、
                $\int_{-1}^{1}(\frac{\sin x}{1+x^2}+\sqrt{1-\cos^22x})dx=2\int_{0}^{1}\sqrt{1-\cos^22x}dx=2\int_{0}^{1}\sin2xdx=-\cos2.$


二维码

扫码加我 拉你入群

请注明:姓名-公司-职位

以便审核进群资格,未注明则拒绝

2019-5-31 18:43:54
湖南师范大学数学分析2017真题
2.png

解:4、
                 $R=\frac{3^n}{3^{n+1}}=\frac{1}{3}.$

                  $(2x-1)^2< \frac{1}{3}.$

                  $\begin{cases}
2x-1+\frac{1}{\sqrt{3}} &> 0 ;\\
2x-1+\frac{1}{\sqrt{3}} &<  0;
\end{cases}
\begin{cases}
2x-1+\frac{1}{\sqrt{3}} &< 0 \\
2x-1+\frac{1}{\sqrt{3}} &> 0
\end{cases}$

                 $\Rightarrow \frac{1}{2}-\frac{1}{2\sqrt{3}}< x < \frac{1}{2}+\frac{1}{2\sqrt{3}}.$
     
                 $x\in [\frac{1}{2}-\frac{1}{2\sqrt{3}},\frac{1}{2}+\frac{1}{2\sqrt{3}}].$

   5、
                  $-\frac{1}{3}-1=-\frac{4}{3}.$


二维码

扫码加我 拉你入群

请注明:姓名-公司-职位

以便审核进群资格,未注明则拒绝

2019-5-31 18:44:21
湖南师范大学数学分析2017真题
3.png

解:6、
               $\int \frac{\ln(x+\sqrt{1+x^2})}{\sqrt{1+x^2}}dx=\int\ln(x+\sqrt{1+x^2})d(\ln(x+\sqrt{1+x^2}))=\frac{1}{2}\ln^2(x+\sqrt{1+x^2})+C.$


      7、
               $\iint_D (\frac{\partial Q}{\partial x}-\frac{\partial P}{\partial y})dxdy=\iint_D (2x+\cos y-2x-\cos y+1)dxdy=1.$






二维码

扫码加我 拉你入群

请注明:姓名-公司-职位

以便审核进群资格,未注明则拒绝

2019-5-31 18:44:45
湖南师范大学数学分析2017真题
4.png

解:8、
                  $u=\frac{x}{y},$

                  $\frac{\partial z}{\partial x}=f'_x+\frac{1}{y}f'_u,$

                   $\therefore \frac{\partial^2z}{\partial x\partial y}=f''_{xx}+\frac{2}{y}f''_{ux}+\frac{1}{y^2}f''_{uu}.$


       9、
                   $\iint_D e^{x^2+y^2}dxdy=\int_{0}^{2\pi}d\theta \int_{0}^{1}re^{r^2}dr=\pi (e-1).$



二维码

扫码加我 拉你入群

请注明:姓名-公司-职位

以便审核进群资格,未注明则拒绝

2019-5-31 18:45:12
湖南师范大学数学分析2017真题
5.png

解:
                 $g(x)=\int_{0}^{x}yf(x-y)dy=\int_{0}^{x}(x-t)f(t)dt=x\int_{0}^{x}f(t)dt-\int_{0}^{x}tf(t)dt,$

                 $g'(x)=\int_{0}^{x}f(t)dt+xf(x)-xf(x)=\int_{0}^{x}f(t)dt,$

                  $\therefore g''(x)=f(x).$




二维码

扫码加我 拉你入群

请注明:姓名-公司-职位

以便审核进群资格,未注明则拒绝

2019-5-31 18:45:36
湖南师范大学数学分析2017真题
6.png
第2题与前面某题类似,略
二维码

扫码加我 拉你入群

请注明:姓名-公司-职位

以便审核进群资格,未注明则拒绝

2019-5-31 18:46:08
湖南师范大学数学分析2017真题
7.png

解:不对。反例如狄利克雷(Dirichlet)函数。

       狄里克雷函数是周期函数,但是却没有最小正周期,它的周期是任意负有理数和正有理数。因为不存在最小负有理数和正有理数,所以狄里克莱函数不存在最小正周期。




二维码

扫码加我 拉你入群

请注明:姓名-公司-职位

以便审核进群资格,未注明则拒绝

2019-5-31 18:46:30
湖南师范大学数学分析2017真题
8.png

证明:此题出处应该是吉米多维奇《数学分析习题集》3963.
          作如下的变量变换:

                              $\begin{cases}
u &=\frac{ax+by}{\sqrt{a^2+b^2}} \\\\
v &=\frac{bx-ay}{\sqrt{a^2+b^2}}
\end{cases}\Leftarrow \begin{cases}
x &=\frac{au+bv}{\sqrt{a^2+b^2}} \\\\
y &=\frac{bu-av}{\sqrt{a^2+b^2}}
\end{cases}$

               积分区域:$u^2+v^2=x^2+y^2\leq 1,|J|=1.$      

               $\begin{align*}\therefore \underset{x^2+y^2\leq 1}{\iint} f(ax+by+c)dxdy&=\int_{-1}^{1}du\int_{-\sqrt{1-u^2}}^{\sqrt{1-u^2}}f(u\sqrt{a^2+b^2}+c)dv\\\\&=2\int_{-1}^{1}\sqrt{1-u^2}f(u\sqrt{a^2+b^2}+c)du.
\end{align*}$           



二维码

扫码加我 拉你入群

请注明:姓名-公司-职位

以便审核进群资格,未注明则拒绝

2019-5-31 18:46:59
湖南师范大学数学分析2017真题
9.png

解:添加z=0平面,方向向下,与$S$组成一个闭合曲面$\Sigma $.再运用高斯公式计算。

                      $\begin{align*}I&=\iint_\Sigma -\iint_{z=0}\\\\&=\iiint_\Omega -(\frac{a+2(a+z)}{a}) dV- \iint_{z=0}adxdy\\\\&=\iiint_\Omega -(\frac{3a+2z}{a}) dV-\pi a^3\\\\&=-3\pi a^3-2\iiint_\Omega \frac{z}{a}dV\\\\&=-3\pi a^3-\frac{2}{a}\iint\int_{-\sqrt{a^2-x^2-y^2}}^{0}zdxdydz\\\\&=-3\pi a^3+\frac{2}{a}\iint(-a^2+x^2+y^2)dxdy\\\\&=-3\pi a^3+\frac{2}{a}\int_{0}^{2\pi}d\theta \int_{0}^{a}r^3dr\\\\&=-3\pi a^3+\frac{2}{a}(\frac{5}{4}\pi a^4)\\\\&=-\frac{1}{2}\pi a^3.
\end{align*}$



二维码

扫码加我 拉你入群

请注明:姓名-公司-职位

以便审核进群资格,未注明则拒绝

2019-5-31 18:47:34
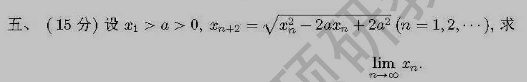
湖南师范大学数学分析2017真题
10.png

解:
                  $\because x_{n+2}=\sqrt{x_n^2-2ax_n+2a^2},$

                  $\Rightarrow x_{n+2}^2-a^2=(x_n^2-a)^2> 0,$

                    $\therefore x_{n+2}> a.$

                  $\because x_{n+2}^2-x_n^2=-2ax_n+2a^2=2a(a-x_n)< 0,$

                  $\therefore x_{n+2}< x_n.$

                  $\Rightarrow x_n\downarrow ,x_n> a.$极限存在。
      
                 设:
                    $\displaystyle \lim_{n \to \infty }x_n=l,$

                   $l^2=l^2-2al+2a^2,\Rightarrow l=a.$

                    $\therefore \displaystyle \lim_{n \to \infty }x_n=a.$



二维码

扫码加我 拉你入群

请注明:姓名-公司-职位

以便审核进群资格,未注明则拒绝

2019-5-31 18:48:08
湖南师范大学数学分析2017真题
11.png


证明:因为$f(x)$在闭区间内连续,所以一致连续。

                     $0< x_1< x_2< 1,\Rightarrow  x_1^n< x_2^n< 1.$

                     $\forall \varepsilon > 0,\exists \delta > 0,0< |x_1-x_2|< \delta,s.t.$

                      $|f(x_1)-f(x_2)|< \varepsilon,$

                      $\therefore |g_n(x_1)-g_n(x_1)|= |x_1^nf(x_1)-x_2^nf(x_2)| \leq x_2^n|f(x_1)-f(x_2)|< \varepsilon . $



二维码

扫码加我 拉你入群

请注明:姓名-公司-职位

以便审核进群资格,未注明则拒绝

2019-6-3 10:27:00
重庆理工大学2017年601 数学分析 A卷
1.png

解1、
                $\displaystyle \lim_{x\to 0}\frac{\sin\sin x}{x}=\lim_{x\to 0}\frac{\sin x}{x}=1.$

    2、
                $\displaystyle \lim_{x\to 0}\frac{x+\sin x}{x+\cos x}=1.$


    3、
                 $\frac{7^n}{n!}=\frac{7\cdot7\cdots 7}{1\cdot 2\cdots 7}\cdot \frac{7\cdot 7\cdots 7}{8\cdot 9\cdots n}< (\frac{7}{8})^{n-7}< \varepsilon ,(n\to +\infty )$



二维码

扫码加我 拉你入群

请注明:姓名-公司-职位

以便审核进群资格,未注明则拒绝

2019-6-3 10:27:31
重庆理工大学2017年601 数学分析 A卷
2.png

解 4、题中应该是对$n\to\infty $求极限而非对$n\to\infty $求极限。

                      $\displaystyle \lim_{n\to\infty }(1+x)(1+x^2)(1+x^4)\cdots (1+x^{2^n})=\lim_{n\to\infty }\frac{(1-x)(1+x)(1+x^2)(1+x^4)\cdots (1+x^{2^n})}{1-x}=\lim_{n\to\infty }\frac{1-x^{2^{n+1}}}{1-x}=\frac{1}{1-x}.$


     5、
                       $\displaystyle \lim_{n\to\infty }2^{\frac{1}{2}+\frac{1}{4}+\cdots +\frac{1}{2^{2^n}}}=2^{\lim_{n\to\infty }\frac{\frac{1}{2}-\frac{1}{2}\frac{1}{2^n}}{1-\frac{1}{2}}}=2.$


     6、
                        $\lim_{x\to \infty }\frac{(\int_{0}^{x}e^{t^2}dt)^2}{\int_{0}^{x}e^{2t^2}dt}=\lim_{x\to \infty }\frac{2e^{x^2}\int_{0}^{x}e^{t^2}dt}{e^{2x^2}}=\lim_{x\to \infty }\frac{2e^{x^2}}{2xe^{x^2}}=0.$

二维码

扫码加我 拉你入群

请注明:姓名-公司-职位

以便审核进群资格,未注明则拒绝

2019-6-3 10:27:54
重庆理工大学2017年601 数学分析 A卷
3.png

解: 1、
                       $\displaystyle \lim_{x\to 0}\frac{\cos 2x-\sqrt{\cos 2x}}{\sqrt{1+x^2}-1}=\lim_{x\to 0}\frac{1-\frac{1}{2}x^2-1+\frac{1}{2}\cdot 2\sin^2x}{\frac{1}{2}x^2}=\lim_{x\to 0}\frac{-x^2+2x^2}{x^2}=1.$


      2、
                       $\displaystyle \because |\lim_{(x,y)\to (0,0)}xy\frac{x^2-y^2}{x^2+y^2}|\leq \frac{1}{2}\lim_{(x,y)\to (0,0)}|x^2-y^2|=0.$

                        $\displaystyle \therefore \lim_{(x,y)\to (0,0)}xy\frac{x^2-y^2}{x^2+y^2}=0.$


二维码

扫码加我 拉你入群

请注明:姓名-公司-职位

以便审核进群资格,未注明则拒绝

2019-6-3 10:28:32
重庆理工大学2017年601 数学分析 A卷
4.png

解:用定义证明。
                         $\because f(1)=0,$

                              $\displaystyle \lim_{x\to 1^+}f(x)=\lim_{x\to 1^+}(x-1)\ln(1+x^2)=0,$

                              $\displaystyle \lim_{x\to 1^-}f(x)=\lim_{x\to 1^-}(1-x)\ln(1+x^2)=0,$

                        $\displaystyle \therefore \lim_{x\to 1^+}f(x)=\lim_{x\to 1^-}f(x)=f(1)=0.$
   
                  因此在$x=1$处,函数连续。 又

                   $\displaystyle \because f'(1^+)=\lim_{x\to 1^+}\frac{(x-1)\ln(1+x^2)-f(1)}{x-1}=\lim_{x\to 1^+}\frac{(x-1)\ln(1+x^2)-0}{x-1}=\ln2.$

                              $\displaystyle f'(1^-)=\lim_{x\to 1^-}\frac{(1-x)\ln(1+x^2)-f(1)}{x-1}=\lim_{x\to 1^-}\frac{(1-x)\ln(1+x^2)-0}{x-1}=-\ln2.$

                       $\therefore f'(1^+)\neq f'(1^-).$

                   故,在$x=1$处,函数不可导。



二维码

扫码加我 拉你入群

请注明:姓名-公司-职位

以便审核进群资格,未注明则拒绝

2019-6-3 10:29:22
重庆理工大学2017年601 数学分析 A卷
5.png

解:

             $f'(x)=\sqrt{1-x^2}-\frac{x^2}{\sqrt{1-x^2}}+\frac{1}{\sqrt{1-x^2}}=2\sqrt{1-x^2}.$



二维码

扫码加我 拉你入群

请注明:姓名-公司-职位

以便审核进群资格,未注明则拒绝

2019-6-3 10:29:50
重庆理工大学2017年601 数学分析 A卷
6.png


基本计算题,略。




二维码

扫码加我 拉你入群

请注明:姓名-公司-职位

以便审核进群资格,未注明则拒绝

2019-6-3 10:30:22
重庆理工大学2017年601 数学分析 A卷
7.png

解:
                     $\frac{\mathrm{d} y}{\mathrm{d} x}=\frac{\frac{\partial y}{\partial t}}{\frac{\mathrm{d} x}{\mathrm{d} t}}=\frac{9a\sin^2x\cos x}{-9a\cos^2x\sin x}=-tan x.$

                     $\frac{\mathrm{d} ^2y}{\mathrm{d} x^2}=\frac{\mathrm{d} (\frac{\mathrm{d} y}{\mathrm{d} x})}{\mathrm{d} x}=-\sec^2x.$



二维码

扫码加我 拉你入群

请注明:姓名-公司-职位

以便审核进群资格,未注明则拒绝

2019-6-3 10:30:50
重庆理工大学2017年601 数学分析 A卷
8.png

解:6、
                  $t=e^{-x},dt=-tdx,$

                  $\int_{0}^{\ln 2}\sqrt{1-e^{-2x}}dx=\int_{1}^{1/2}\frac{\sqrt{1-t^{2}}}{-t}dt=\sqrt{1-t^2}|_{1/2}^1+\ln\frac{1-\sqrt{1-t^2}}{t}|_{1/2}^1=-\frac{\sqrt{3}}{2}+\ln(2-\sqrt{3}).$


      7、
                  $\begin{align*}\int \frac{\ln(1+x)}{x^2}dx&=-\frac{\ln (1+x)}{x}+\int \frac{1}{x(1+x)}dx\\\\&=-\frac{\ln (1+x)}{x}+\int(\frac{1}{x}-\frac{1}{1+x})dx\\\\&=-\frac{\ln (1+x)}{x}+\ln x-\ln(1+x)+C.
\end{align*}$


二维码

扫码加我 拉你入群

请注明:姓名-公司-职位

以便审核进群资格,未注明则拒绝

2019-6-3 10:31:24
重庆理工大学2017年601 数学分析 A卷
9.png

解:
              $\int_{0}^{+\infty }(\frac{\sin x}{x})^2dx=\frac{\sin^2x}{-x}|_0^{+\infty }+\int_{0}^{+\infty }\frac{2\sin x\cos x}{x}dx=\int_{0}^{+\infty }\frac{\sin 2x}{2x}d(2x)=\frac{\pi}{2}.$




二维码

扫码加我 拉你入群

请注明:姓名-公司-职位

以便审核进群资格,未注明则拒绝

2019-6-3 10:32:16
重庆理工大学2017年601 数学分析 A卷
10.png

证明:
             $f(x)=\ln(1+x)-x+\frac{x^2}{2}=x-\frac{x^2}{2}+\frac{x^3}{3}+o(x^4)-x+\frac{x^2}{2}=\frac{x^3}{3}+o(x^4)> 0,$

             $f(x)=\ln(1+x)-x=x-\frac{x^2}{2}+o(x^2)-x=-\frac{x^2}{2}+o(x^2)< 0.$

           因此不等式成立。





二维码

扫码加我 拉你入群

请注明:姓名-公司-职位

以便审核进群资格,未注明则拒绝

2019-6-3 10:32:44
重庆理工大学2017年601 数学分析 A卷
11.png


解:
            $\frac{\partial w}{\partial u}=\frac{\partial w}{\partial x}\frac{\partial x}{\partial u}+\frac{\partial w}{\partial y}\frac{\partial y}{\partial u}=\frac{2x}{x^2+y}e^{u+v^2}+\frac{2u}{x^2+y}.$

             $\frac{\partial w}{\partial v}=\frac{\partial w}{\partial x}\frac{\partial x}{\partial v}+\frac{\partial w}{\partial y}\frac{\partial y}{\partial v}=\frac{4xv}{x^2+y}e^{u+v^2}+\frac{1}{x^2+y}.$


二维码

扫码加我 拉你入群

请注明:姓名-公司-职位

以便审核进群资格,未注明则拒绝

2019-6-3 10:33:19
重庆理工大学2017年601 数学分析 A卷
12.png

1、
             $\because \sqrt[n]{a_n}=\sqrt[n]{\frac{\ln(n+2)}{(a+\frac{1}{n})^n}}=\frac{1}{a+\frac{1}{n}}=\frac{1}{a},(n\to \infty )$

       由此,当$a> 1$时,级数收敛;当$a< 1$时,级数发散。

             当 $ a=1$时,$a_n=\frac{\ln(n+2)}{(1+\frac{1}{n})^n}=\frac{\ln(n+2)}{e}=\infty ,(n\to \infty )$发散。




2、
                    $\displaystyle \int_{0}^{+\infty }\frac{x}{1+x^2\sin^2x}dx=\lim_{n \to +\infty }\sum_{k=1}^{n}a_k=\lim_{n \to +\infty }\sum_{k=1}^{n}\int_{k\pi}^{(k+1)\pi}\frac{x}{1+x^2\sin^2x}dx,$

                     $\because a_k=\int_{k\pi}^{(k+1)\pi}\frac{x}{1+x^2\sin^2x}dx\leq \int_{k\pi}^{(k+1)\pi}\frac{(k+1)\pi}{1+(k\pi)^2\sin^2x}dx=2(n+1)\pi\int_{0}^{\frac{\pi}{2}}\frac{1}{1+(k\pi)^2\sin^2x}dx.$

                  又  $\because \sin x\geq \frac{2}{\pi}x,$

                    $\therefore a_k\leq \frac{1}{1+(k\pi)^2(\frac{2}{\pi}x)^2}=\frac{n+1}{n^3\pi}\int_{0}^{n^3\pi^3}\frac{1}{1+t^2}dx\leq \frac{n+1}{n^3}.$

                    $\therefore \sum a_n< \infty.$

                    由此,原积分收敛。

(此小题有一定难度)
二维码

扫码加我 拉你入群

请注明:姓名-公司-职位

以便审核进群资格,未注明则拒绝

2019-6-3 10:33:56
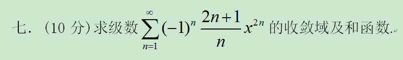
重庆理工大学2017年601 数学分析 A卷
13.png

解:
                $\because |R|=|\frac{\frac{2n+1}{n}}{\frac{2n+3}{n+1}}|=1,$


            又$\because x^2=1$时,级数发散。所以级数的收敛域为$(-1,1)$.

                    $\displaystyle \sum_{n=1}^{\infty }(-1)^n\frac{2n+1}{n}x^{2n}=2\sum_{n=1}^{\infty }(-1)^nx^{2n}+\sum_{n=1}^{\infty }(-1)^n\frac{1}{n}x^{2n},$

                    $\displaystyle \because 2\sum_{n=1}^{\infty }(-1)^nx^{2n}=2\lim_{n \to \infty }\frac{-x^2+x^{2n+2}}{1+x^2}=\frac{-2x^2}{1+x^2}.$

                         $\displaystyle \sum_{n=1}^{\infty }(-1)^n\frac{1}{n}x^{2n}=2\int_{0}^{x}\sum_{n=1}^{\infty }(-1)^nt^{2n-1}dt=\frac{2}{x}\int_{0}^{x}\frac{t^2}{1+t^2}dt=2-\frac{2}{x}\arctan x,$

                    $\displaystyle \therefore \sum_{n=1}^{\infty }(-1)^n\frac{2n+1}{n}x^{2n}=\frac{2}{1+x^2}-\frac{2}{x}\arctan x.$




二维码

扫码加我 拉你入群

请注明:姓名-公司-职位

以便审核进群资格,未注明则拒绝

2019-6-3 10:34:27
重庆理工大学2017年601 数学分析 A卷
14.png

解:
            $\begin{align*}I&=\iint_Dy\sin(xy)dxdy\\\\&=\int_{0}^{1}dy\int_{0}^{\pi}y\sin(xy)dx\\\\&=\int_{0}^{1}dy\int_{0}^{\pi}d(\cos(xy))\\\\&=\int_{0}^{1}(\cos\pi y-1)dy\\\\&=-1.
\end{align*}$





二维码

扫码加我 拉你入群

请注明:姓名-公司-职位

以便审核进群资格,未注明则拒绝

2019-6-3 10:34:59
重庆理工大学2017年601 数学分析 A卷
15.png

证明:1、
                      设
                          $x_1,x_2\in(-\infty ,+\infty ),$

                          $\forall \varepsilon > 0,\exists \delta > 0,as,0< |x_1-x_2|<\delta,s.t.$

                          $|\sin x_1-\sin x_2|=2|\cos\frac{x_1+x_2}{2}\sin\frac{x_1-x_2}{2}|\leq |x_1-x_2|<\delta =\varepsilon .$


         2、       设
                             $n\in\mathbb{N},s_n=\frac{1}{2n\pi+\pi/2}\in(0,1),t_n=\frac{1}{2n\pi}\in(0,1),$

                            当 $0< t_n-s_n=\frac{\pi/2}{2n\pi(2n\pi+\pi/2)}< \frac{1}{2n\pi}< \frac{1}{n},$时,有

                                 $|\sin\frac{1}{t_n}-\sin\frac{1}{s_n}|=|\sin(2n\pi+\frac{\pi}{2})|=1.$
                           
                          故函数不一致收敛。



二维码

扫码加我 拉你入群

请注明:姓名-公司-职位

以便审核进群资格,未注明则拒绝

2019-6-3 10:35:37
重庆理工大学2017年601 数学分析 A卷
16.png

证明:如果$f(x_0)$无界,即:
                                 $\forall \varepsilon > 0,M> 0,|f(x_0)|> M.$

              由拉格朗日中值定理:
                                      $\xi\in[a+\varepsilon ,x_0]\subset (a,b),s.t.$      

                                      $f'(\xi)=\frac{f(x_0)-f(a+\varepsilon )}{x_0-a-\varepsilon },$      

                                 $\Rightarrow |f'(\xi)|=|\frac{f(x_0)-f(a+\varepsilon )}{x_0-a-\varepsilon }|> |\frac{f(x_0)-f(a+\varepsilon )}{x_0}|> \frac{M}{x_0}.$   

                    即导函数也无界。

            反之,不成立,举反例:
                                                                          $f(x)=e^{-\frac{1}{x-a}},$
                           
                                            此时有:
                                                                   $f'(x)=\frac{1}{(x-a)^2}e^{-\frac{1}{x-a}}=\infty ,(n \to a)$

                                              但
                                                                  $f(x)=e^{-\frac{1}{x-a}}=0,(x\to a)$
                                                                 




二维码

扫码加我 拉你入群

请注明:姓名-公司-职位

以便审核进群资格,未注明则拒绝

2019-6-5 15:49:11
四川大学2008年数学分析试题
1.png

解:
               $\displaystyle \lim_{x\to\infty }e^{-x}(1+\frac{1}{x})^{X^2}=\lim_{x\to\infty }e^{-x}e^{x}=1.$






二维码

扫码加我 拉你入群

请注明:姓名-公司-职位

以便审核进群资格,未注明则拒绝

2019-6-5 15:49:38
四川大学2008年数学分析试题
2.png

解:
        $\lim_{n\to\infty }ne^\frac{1}{n}-n^2\ln(1+\frac{1}{n})=\lim_{x\to\infty }\frac{e^\frac{1}{n}-n\ln(1+\frac{1}{n})}{\frac{1}{n}}=\lim_{n\to\infty }\frac{-\frac{1}{n^2}e^\frac{1}{n}-\ln(1+\frac{1}{n})-\frac{n}{1+\frac{1}{n}}}{-\frac{1}{n^2}}=+\infty.$
二维码

扫码加我 拉你入群

请注明:姓名-公司-职位

以便审核进群资格,未注明则拒绝

栏目导航
热门文章
推荐文章

说点什么

分享

扫码加好友,拉您进群
各岗位、行业、专业交流群