全部版块 我的主页
论坛 经济学论坛 三区 微观经济学 经济金融数学专区
2019-6-5 15:50:08
四川大学2008年数学分析试题
3.png


解:
                 $\because (n!)^{n^2}=e^{\frac{1}{n^2}\ln n!},$

                $1=e^0=e^{n^2\ln 1}< e^{\frac{1}{n^2}\ln n!}< e^{\frac{1}{n^2}\ln n^n}=e^{\frac{1}{n}\ln n}\to 1,(n \to \infty )$

            由夹逼定理,得:

                                      $\displaystyle \lim_{n \to \infty }(n!)^{n^2}=1.$





二维码

扫码加我 拉你入群

请注明:姓名-公司-职位

以便审核进群资格,未注明则拒绝

2019-6-5 15:50:27
四川大学2008年数学分析试题
4.png


解:
               $\displaystyle \lim_{x\to 0}\frac{\cos x-e^{-\frac{x^2}{2}}}{x^2(x+\ln(1-x))}=\lim_{x\to 0}\frac{1-\frac{x^2}{2}+\frac{x^4}{4!}-1+\frac{x^2}{2}-\frac{x^4}{4}}{x^2(x-x-\frac{x^2}{2})}=\frac{5}{2}.$



二维码

扫码加我 拉你入群

请注明:姓名-公司-职位

以便审核进群资格,未注明则拒绝

2019-6-5 15:51:55
四川大学2008年数学分析试题
5.png

解:试题应该打印错了,现将条件中$"="$改为$"-"$.由已知,有

                          当    $x\leq 2,f(x-2)=1-x^2,$

                              $\int f(x-2)dx=\int (1-x^2)dx=x-\frac{1}{3}x^3+C;$

                          当    $x> 2,f(x-2)=xe^{-x^2},$

                              $\int f(x-2)dx=\int xe^{-x^2}dx=-\frac{1}{2}e^{-x^2}+C.$



              


二维码

扫码加我 拉你入群

请注明:姓名-公司-职位

以便审核进群资格,未注明则拒绝

2019-6-5 15:53:05
四川大学2008年数学分析试题
6.png

解:(3)、
                             $\begin{align*}\iint_S(x++y+z)dS&=\iint_S(x++y+\sqrt{a^2-x^2-y^2})\sqrt{\frac{x^2}{a^2-x^2-y^2}+\frac{y^2}{a^2-x^2-y^2}+1}dxdy\\\\&=a\iint_S(\frac{x+y}{\sqrt{a^2-x^2-y^2}}+1)dxdy\\\\&=\pi a^3.
\end{align*}$

                   其中利用了积分计算的对称性原则。


       (4)、
                           添加$C(3,2)$,使ACB成一闭合区域,并利用格林公式:

                                               $\begin{align*}\int_{\overline{AmB}}&=\oint_{\overline{ACB}}-\int_{\overline{AC}}-\int_{\overline{CB}}\\\\&=\iint_{\sigma}(\frac{\partial Q}{\partial x}-\frac{\partial P}{\partial y})dxdy-\int_{\overline{AC}}-\int_{\overline{CB}}\\\\&=m\iint_{\sigma}dxdy-\int_{1}^{3}\varphi (2)e^xdx-\int_{2}^{4}\varphi'(y)e^2dy\\\\&=2m-\varphi(2)e^3+\varphi(2)e-e^2\varphi(4)+e^2\varphi(2).
\end{align*}$

                           其值固定。


二维码

扫码加我 拉你入群

请注明:姓名-公司-职位

以便审核进群资格,未注明则拒绝

2019-6-5 15:53:31
四川大学2008年数学分析试题
7.png


解:由曲面的法向量:
                                  $n=\{-\frac{\partial f}{\partial x},-\frac{\partial f}{\partial y},1\}=\{-2x,-2y,1\},$

      代入计算,并注意积分对称性,得

                                   $\begin{align*}
I &=\iint_S(-2x^3-2y^3+x^2+y^2)\sqrt{\frac{x^2}{x^2+y^2}+\frac{y^2}{x^2+y^2}+1}dxdy\\\\
&=\sqrt{2}\iint_S(x^2+y^2)dxdy\\\\
&=\sqrt{2}\int_{0}^{2\pi}d\theta \int_{0}^{h}r^2\cdot rdr\\\\
&=\frac{1}{2}\sqrt{2}\pi h^4.  
\end{align*}$




二维码

扫码加我 拉你入群

请注明:姓名-公司-职位

以便审核进群资格,未注明则拒绝

2019-6-5 15:53:53
四川大学2008年数学分析试题
8.png

计算并代入,略。




二维码

扫码加我 拉你入群

请注明:姓名-公司-职位

以便审核进群资格,未注明则拒绝

2019-6-5 15:54:25
四川大学2008年数学分析试题
9.png
证明:

                      $\begin{align*}
\lim_{n \to \infty }n\int_{0}^{1}x^nf(x)dx&=\lim_{n \to \infty }\frac{n}{n+1}x^{n+1}f(x)|_0^1-\lim_{n \to \infty }\frac{n}{n+1}\int_{0}^{1}x^{n+1}f'(x)dx\\\\&=f(1)-\lim_{n \to \infty }\int_{0}^{1}x^{n+1}f'(x)dx\\\\&=f(1)-\lim_{n \to \infty }\frac{1}{n+2}x^{n+2}f'(x)|_0^1+\lim_{n \to \infty }\frac{1}{n+2}\int_0^1x^{n+2}f''(x)dx\\\\&=f(1).\end{align*}$





二维码

扫码加我 拉你入群

请注明:姓名-公司-职位

以便审核进群资格,未注明则拒绝

2019-6-5 15:54:51
四川大学2008年数学分析试题
10.png

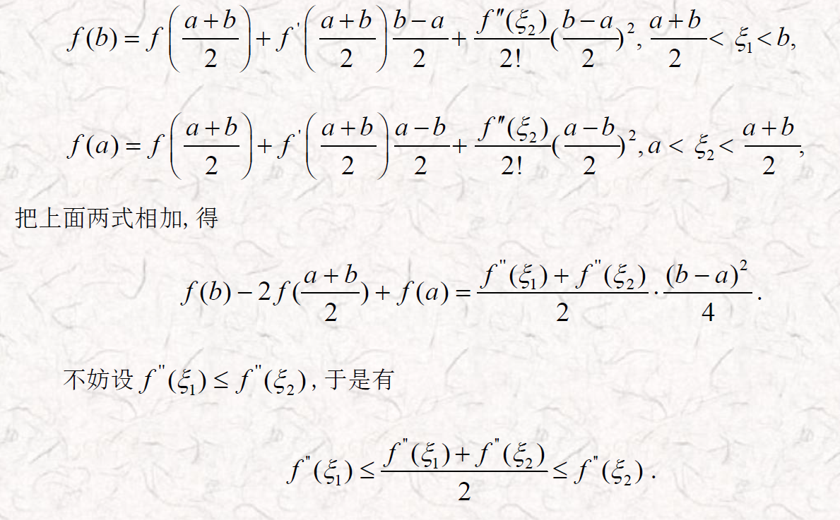
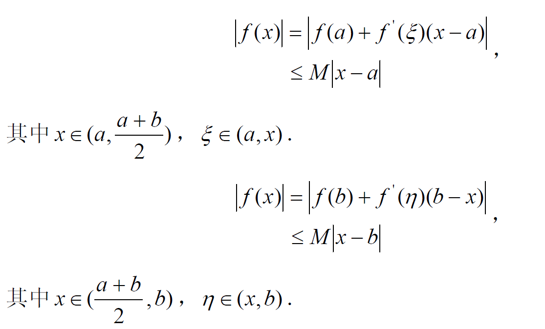
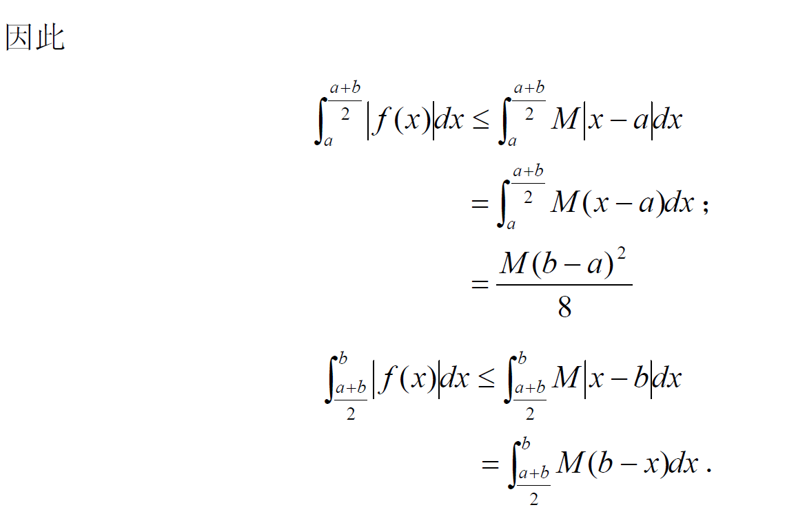
题目有错,应该为:

                      $f(a)-2f(\frac{a+b}{2})+f(b)=\frac{(b-a)^2}{4}f''(\xi ).$

此类题一般用泰勒公式,下面搬一个别人的解法:

a.png
b.png
c.png



注:此题用到达布定理,是一个亮点。







二维码

扫码加我 拉你入群

请注明:姓名-公司-职位

以便审核进群资格,未注明则拒绝

2019-6-5 15:55:23
四川大学2008年数学分析试题
11.png

a.png
b.png
c.png
d.png






二维码

扫码加我 拉你入群

请注明:姓名-公司-职位

以便审核进群资格,未注明则拒绝

2019-6-5 15:55:47
四川大学2008年数学分析试题
12.png


二维码

扫码加我 拉你入群

请注明:姓名-公司-职位

以便审核进群资格,未注明则拒绝

2019-6-5 15:56:13
四川大学2008年数学分析试题
13.png

解(1)、参见“南京理工大学2018年数学分析,七、”(52#)


    (2)、当$a=0,\Rightarrow f(x)=o(x),(x\to 0)$

                 此时有$f(\frac{1}{n})=o(\frac{1}{n})=O(\frac{1}{n^p}),(p> 1,n \to \infty )$

                   又$\because \sum \frac{1}{n^p}< \infty ,(p> 1)$

                   $\therefore \sum |f(\frac{1}{n})|< \infty .$



二维码

扫码加我 拉你入群

请注明:姓名-公司-职位

以便审核进群资格,未注明则拒绝

2019-6-11 15:31:51
“《数学分析教程 下》(第三版)常庚哲,史济怀编著,2013”上问题10.6
1.png

解:先进行变量代换,令
                                     $\begin{cases}
x &=e^{r\cos \theta } \\
y &=e^{r\sin \theta }
\end{cases}$

               则:$|J|=re^{r\cos \theta }e^{r\sin \theta }.$

                积分区域满足:
                                        $\begin{cases}
e^{2r\cos \theta }+e^{2r\sin \theta } &=1 \\ \\
e^{r\cos \theta }+e^{r\sin \theta } &=1
\end{cases}$

     原积分变为:

                         $I=\iint_D=\iint_D\frac{1}{r}drd\theta.$

         确定积分区间,是此题的麻烦点。根据第二个条件,$\cos \theta<0 ,\sin \theta <0$只能同时成立。所以$\theta\in[\pi,3\pi/2].$

        接下来是亮点,设第二个条件的曲线为:$r=r(\theta)$,则第一条曲线为:$r=1/2r(\theta)$.
        
         计算比较简单。(这里巧妙地利用了同元消去法)

                  $I=\iint_D\frac{1}{r}drd\theta=\int_{\pi}^{3\pi/2}d\theta\int_{1/2r(\theta )}^{r(\theta)}\frac{dr}{r} =\frac{\pi}{2}\ln2.$



二维码

扫码加我 拉你入群

请注明:姓名-公司-职位

以便审核进群资格,未注明则拒绝

2019-6-13 16:16:34
重庆大学2004年数学分析330
1.png

一、解:
                 令:$\displaystyle S_n=a+2a^2+3a^3+\cdots +na^n,$

                        $\displaystyle S_n-aS_n=a+a^2+a^3+\cdots +a^n-na^{n+1}=\frac{a-a^{n+1}}{1-a}-na^{n+1}.$

                        $\displaystyle \because \lim_{n \to \infty }na^{n+1}=\lim_{n \to \infty }\frac{n+1-n}{\frac{1}{a^{n+2}}-\frac{1}{a^{n+1}}}=\lim_{n \to \infty }\frac{a^{n+2}}{1-a}=0.$

                        $\displaystyle \therefore S=\lim_{n \to \infty }S_n=\frac{a}{(1-a)^2}.$


二、解:由已知条件,得:
        
                                        $\displaystyle \frac{\partial z}{\partial x}=\frac{\partial z}{\partial \xi }\frac{\partial \xi }{\partial x}+\frac{\partial z}{\partial \eta }\frac{\partial \eta }{\partial x}=\frac{\partial z}{\partial \xi}+2x\frac{\partial z}{\partial \eta}.$

                                        $\displaystyle \frac{\partial z}{\partial y}=\frac{\partial z}{\partial \xi }\frac{\partial \xi }{\partial y}+\frac{\partial z}{\partial \eta }\frac{\partial \eta }{\partial y}=2y\frac{\partial z}{\partial \eta}.$

                                   $\displaystyle \therefore y\frac{\partial z}{\partial x}-x\frac{\partial z}{\partial y}=y\frac{\partial z}{\partial \xi}+2xy\frac{\partial z}{\partial \eta}-2xy\frac{\partial z}{\partial \eta}=y\frac{\partial z}{\partial \xi}=0.$

                                    $\Rightarrow z=C.$


(第三题是求二元极值,漏了,略去)


二维码

扫码加我 拉你入群

请注明:姓名-公司-职位

以便审核进群资格,未注明则拒绝

2019-6-13 16:17:06
重庆大学2004年数学分析330
2.png

四、解:
                               $a_n=\frac{1}{n}((3+(-1)^n)x)^n.$

                               $|R|=|\frac{\frac{1}{n}}{\frac{1}{n+1}}|=1,(n \to \infty )$

                            $\therefore -1<((3+(-1)^n)x)<1,$

                                $\Rightarrow -\frac{1}{4}<x<\frac{1}{4}.$


五、解:先作变量变换,

                                 $u=xy,v=\frac{y^2}{x},$

                              $\therefore x=\sqrt[3]{\frac{u^2}{v}},y=\sqrt[3]{uv},$

                                 $|J|=\begin{vmatrix}
\frac{2}{3}\frac{1}{\sqrt[3]{uv}} & -\frac{1}{3}\sqrt[3]{\frac{u^2}{v^4}}\\
\frac{1}{3}\sqrt[3]{\frac{v}{u^2}} & \frac{1}{3}\sqrt[3]{\frac{u}{v^2}}
\end{vmatrix}=\frac{2}{9v}+\frac{1}{9v}=\frac{1}{3v}.$
                    
                                $D\rightarrow D':1\leq u\leq 3,1\leq v\leq 3.$

                                 $\displaystyle I=\iint_D\frac{3x}{y^2+xy^3}dxdy=\iint_{D'}\frac{1}{v^2(1+u)}dudv=\int_{1}^{3}\frac{dv}{v^2}\int_{1}^{3}\frac{du}{1+u}=\frac{2}{3}\ln2.$



二维码

扫码加我 拉你入群

请注明:姓名-公司-职位

以便审核进群资格,未注明则拒绝

2019-6-13 16:17:25
重庆大学2004年数学分析330
3.png


五、解:先作变量变换,

                                 $u=xy,v=\frac{y^2}{x},$

                              $\therefore x=\sqrt[3]{\frac{u^2}{v}},y=\sqrt[3]{uv},$

                                 $|J|=\begin{vmatrix}
\frac{2}{3}\frac{1}{\sqrt[3]{uv}} & -\frac{1}{3}\sqrt[3]{\frac{u^2}{v^4}}\\
\frac{1}{3}\sqrt[3]{\frac{v}{u^2}} & \frac{1}{3}\sqrt[3]{\frac{u}{v^2}}
\end{vmatrix}=\frac{2}{9v}+\frac{1}{9v}=\frac{1}{3v}.$
                    
                                $D\rightarrow D':1\leq u\leq 3,1\leq v\leq 3.$

                                 $\displaystyle I=\iint_D\frac{3x}{y^2+xy^3}dxdy=\iint_{D'}\frac{1}{v^2(1+u)}dudv=\int_{1}^{3}\frac{dv}{v^2}\int_{1}^{3}\frac{du}{1+u}=\frac{2}{3}\ln2.$




二维码

扫码加我 拉你入群

请注明:姓名-公司-职位

以便审核进群资格,未注明则拒绝

2019-6-13 16:17:50
重庆大学2004年数学分析330
4.png

解:添加一个平面:$z=0$,使之与原来曲面成一个闭合曲面。利用高斯公式:

                   $\begin{align*}I&=\iint_S=\iiint_V -\iint_\Sigma \\\\&=\frac{1}{a}\iiint_V(a+2z-2(z+a))dxdydz-\frac{1}{a}\iint_\Sigma a^2dxdy\\\\&=-\iiint_Vdxdydz-\pi a^3\\\\&=-\frac{2}{3}\pi a^3-\pi a^3\\\\&=-\frac{5}{3}\pi a^3.   
\end{align*}$
                                          




二维码

扫码加我 拉你入群

请注明:姓名-公司-职位

以便审核进群资格,未注明则拒绝

2019-6-13 16:18:14
重庆大学2004年数学分析330
5.png




二维码

扫码加我 拉你入群

请注明:姓名-公司-职位

以便审核进群资格,未注明则拒绝

2019-6-13 16:18:40
重庆大学2004年数学分析330
6.png

证明:
                   $\displaystyle \forall x_1,x_2\in [a,+\infty ),\forall \varepsilon > 0,\exists \delta > 0,|x_1-x_2|< \delta ,s.t.$

                    $\begin{align*}|\sin\frac{1}{x_1}-\sin\frac{1}{x_2}|&=2|\cos\frac{1}{2}(\frac{1}{x_1}+\frac{1}{x_2})\sin\frac{1}{2}(\frac{1}{x_1}-\frac{1}{x_2})|\\\\&\leq \frac{1}{4}|\frac{x_1-x_2}{x_1x_2}|\\\\&\leq \frac{1}{4a^2}|x_1-x_2|\\\\&< \frac{\delta }{4a^2}=\varepsilon .
\end{align*}$

                  所以一致收敛。

                   下证在$(0,+\infty )$上非一致收敛。

                          $\displaystyle \exists \varepsilon_0=1,\forall N> 0,\exists n> N,\exists x_1=\frac{1}{(N+1)\pi+\frac{\pi}{2}},s.t.$

                           $\displaystyle |\sin\frac{1}{\frac{1}{(N+1)\pi+\frac{\pi}{2}}}|=\varepsilon_0=1\nrightarrow 0.$

                   由Cauchy定理,函数在$(0,+\infty )$上非一致收敛。





二维码

扫码加我 拉你入群

请注明:姓名-公司-职位

以便审核进群资格,未注明则拒绝

2019-6-13 16:19:22
重庆大学2004年数学分析330
7.png

证明:
            由 $f ′(a) f ′(b) > 0$,知 $f (x)$在区间端点的某领域内异号,由连续函数介值定理知:

                 $∃ξ ∈(a,b),有 f (ξ ) = 0 .$





注:此题的原型应该是这样 的:

                            设函数 $f (x)$在$[a,b]$具有二阶导数,且 $f (a) = f (b) = 0, f ′(a) f ′(b) > 0 $. 证明:
               
               $∃ξ ,η ∈(a,b)$,使得
      
                                              $ f (ξ ) = 0, f ′′(η ) = 0 .$
二维码

扫码加我 拉你入群

请注明:姓名-公司-职位

以便审核进群资格,未注明则拒绝

2019-6-13 16:20:19
重庆大学2004年数学分析330
8.png

证明:
                    $\because \int_{0}^{a}\Phi(x)dx$为函数与$x$轴之间的面积,$x\in[0,a]$.

                    $\because \int_{0}^{b}\Psi (y)dy$为函数与$y$轴之间的面积,$y\in[0,b]$.

                    $\therefore \int_{0}^{a}\Phi (x)dx+\int_{0}^{b}\Psi (y)dy\geq ab.$(见下面所示)

                 显然当$a\neq b$时,不等式成立,而当$a=b$时,等式成立。其几何意义即:曲线在给定区域内分别

             与两个坐标轴之间所围的面积之和。



QQ图片20190617141429.png

               上述图示可知,此题更一般的结果为:

                                          $\displaystyle \int_{a}^{b}\Phi (x)dx+\int_{c}^{d}\Psi (y)dy\geq bd-ac$.





二维码

扫码加我 拉你入群

请注明:姓名-公司-职位

以便审核进群资格,未注明则拒绝

2019-6-13 16:20:51
重庆大学2004年数学分析330
9.png

证明:(1)小题已由楼上证明。现证明(2)。

                 令:
                              $y=\Phi (x)=x^{p-1},x=\Psi (y)=y^{q-1},$

                则有:
                              
                               $\Rightarrow x=\Psi (y)=\Psi (x)=y^{\frac{1}{p-1}}=y^{q-1}.$

                比较指数而得:

                               $\therefore \frac{1}{p-1}=q-1,$

                               $\therefore \frac{1}{p}+\frac{1}{q}=1.$

                  因此,所给条件,正好满足$x^{p-1}$与$y^{q-1}$互为反函数。由(1)关系式,得:

                             $\int_{0}^{a}x^{p-1}dx+\int_{0}^{b}y^{q-1}dy=\frac{a^p}{p}+\frac{b^q}{q}\geq ab.$



二维码

扫码加我 拉你入群

请注明:姓名-公司-职位

以便审核进群资格,未注明则拒绝

2019-6-13 16:21:32
重庆大学2004年数学分析330
10.png

证明:
                  此题简单,利用可积函数有界性质,立即可证。






二维码

扫码加我 拉你入群

请注明:姓名-公司-职位

以便审核进群资格,未注明则拒绝

2019-6-13 16:22:09
重庆大学2004年数学分析330
11.png

十二、证明:
                                $\because x=M< 1,$

                                $\forall x_1,x_2\in (0,1),$

                                $\displaystyle |x_1^n(\ln x_1)^2-x_2^n(\ln x_2)^2|\leq |x_1^n(\ln x_1)^2|\leq M^{n+2}\rightarrow 0.(n \to \infty )$

                   所以,一致收敛。


十三、(1)证明:
                              $\displaystyle \because |\frac{\sin(2^n\pi x)}{2^n}|\leq \frac{1}{2^n},$

                         而
                               $\displaystyle \sum \frac{1}{2^n}< \infty .$

                       由Weierstrass判别法,原级数一致收敛。

              (2)
                         $\displaystyle \because f(x)=\lim_{n \to \infty }\sum_{k=1}^{n}\frac{\sin(2^k\pi x)}{2^k}=0,$

                         $\therefore f'(x)=0.$

                    又:
                          $\displaystyle \because \lim_{n \to \infty }\sum_{k=1}^{n}(\frac{\sin(2^k\pi x)}{2^k})'=\lim_{n \to \infty }\sum_{k=1}^{n}\frac{2^n\pi\cos (2^k\pi x)}{2^n}\neq 0.$

                       两者不相等,所以不能进行逐次求导。







二维码

扫码加我 拉你入群

请注明:姓名-公司-职位

以便审核进群资格,未注明则拒绝

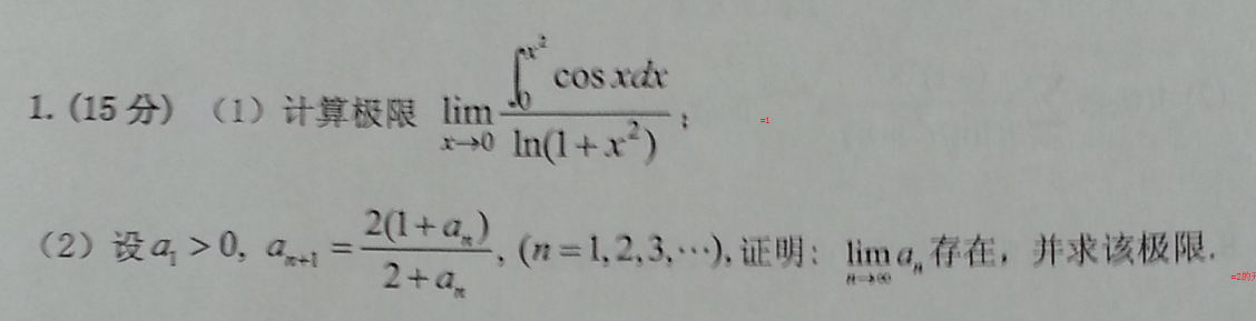
2019-6-18 16:57:39
北京科技大学2014年研究生入学考试数学分析试题
1.png

解:1、
                $\displaystyle \lim_{x\to 0}\frac{\int_{0}^{x^2}\cos xdx}{\ln(1+x^2)}=\lim_{x\to 0}\frac{2x\cos x^2}{\frac{2x}{1+x^2}}=1.$


       2、
                      $\because a_1> 0,a_n> 0.$

                      $\therefore a_{n+1}=\frac{2(1+a_n)}{2+a_n}< \frac{2(2+a_n)}{2+a_n}=2.$

             由此可知数列存在极限,设:

                      $\displaystyle \lim_{x\to \infty }a_n=l,$

                      $\rightarrow l=\frac{2(1+l)}{2+l},$

                      $\displaystyle \therefore \lim_{x\to \infty }a_n=l=\sqrt{2}.$


二维码

扫码加我 拉你入群

请注明:姓名-公司-职位

以便审核进群资格,未注明则拒绝

2019-6-18 16:58:09
北京科技大学2014年研究生入学考试数学分析试题
2.png


解:(1)、先由所给隐函数方程对$x$求导,得:

                                              $3x^2+3z^2z_x=3yz+3xyz_x,$

                                             $\rightarrow z_x=\frac{x^2-yz}{xy-z^2}.$

                   再由已知表达式对$x$求导,并将上式代入,得

                                              $\therefore u_x=2x+2zz_x=2x+\frac{2z(x^2-yz)}{xy-z^2}=\frac{2x^2y-2xz^2+2zx^2-2yz^2}{xy-z^2}.$



        (2)、由条件:
                                   $\begin{cases}
x&=u+v \\
y&=u^2+v^2
\end{cases}$
                    求导得:
                                    $\begin{cases}
1&=\frac{\partial u}{\partial x}+\frac{\partial v}{\partial x} \\
0&=2u\frac{\partial u}{\partial x}+2v\frac{\partial v}{\partial x}
\end{cases}$

                    $\Rightarrow \begin{cases}
\frac{\partial u}{\partial x}&=\frac{v}{v-u} \\
\frac{\partial v}{\partial x}&=\frac{u}{u-v}
\end{cases}$

                又
                       $\because z=u^3+v^3,$

                       $\therefore \frac{\partial z}{\partial x}=3u^2\frac{\partial u}{\partial x}+3v^2\frac{\partial v}{\partial x}=-\frac{3ux(u-v)}{u-v}=-3uv.$




二维码

扫码加我 拉你入群

请注明:姓名-公司-职位

以便审核进群资格,未注明则拒绝

2019-6-18 16:58:29
北京科技大学2014年研究生入学考试数学分析试题
3.png


证明:作辅助函数:
                                 $F(x)=f(x)-f(1+x),$

                 显然$F(x)$在$[0,2]$上连续。由已知条件,可知:

                                      $F(0)=f(0)-f(1),$

                                      $F(1)=f(1)-f(2)=f(1)-f(0),$

                                      $\Rightarrow F(0)F(1)< 0.$

                        由介值定理,
               
                                      $\exists x_0\in[0,1],s.t.$

                                      $F(x_0)=f(x_0)-f(x_0+1)=0,$

                                     $\therefore f(x_0)=f(x_0+1).x_0\in[0,1]$




二维码

扫码加我 拉你入群

请注明:姓名-公司-职位

以便审核进群资格,未注明则拒绝

2019-6-18 16:58:57
北京科技大学2014年研究生入学考试数学分析试题
4.png


证明:利用换元法证。令:
                                           $\begin{cases}
u&=x+y, \\
v&=x-y.
\end{cases}\Rightarrow \begin{cases}
x&=\frac{1}{2}(u+v), \\
y&=\frac{1}{2}(-u+v).
\end{cases}$
                              则有:
                                         $|J|=\frac{1}{2}.$

                                          $D\rightarrow D':-2a\leq u\leq 2a,-2a+u\leq v\leq 2a-u.$

                        利用$f(x)$的偶函数性质,有
                                         $\iint_Df(x-y)dxdy=\iint_{D'}f(u)\frac{1}{2}dudv=\frac{1}{2}\int_{-2a}^{2a}f(u)du\int_{-2a+u}^{2a-u}dv=2\int_{0}^{2a}(2a-u)f(u)du.$                 
                                    

二维码

扫码加我 拉你入群

请注明:姓名-公司-职位

以便审核进群资格,未注明则拒绝

2019-6-18 16:59:14
北京科技大学2014年研究生入学考试数学分析试题
5.png

证明:
          由泰勒公式:设$c\in (0,1),s.t.$

                                  $f(x)=f(c)+f'(c)(x-c)+\frac{1}{2!}f''(\xi_1)(x-c)^2,$

            因此,有
                                  $x=0,\exists \xi_1\in(0,c),s.t.$

                                   $f(0)=f(c)+f'(c)(0-c)+\frac{1}{2!}f''(\xi_1)(0-c)^2,$

                                  $x=1,\exists \xi_2\in(c,1),s.t.$

                                    $f(1)=f(c)+f'(c)(1-c)+\frac{1}{2!}f''(\xi_2)(1-c)^2,$

                               $\therefore f(1)-f(0)=f'(c)+\frac{1}{2}f''(\xi_2)(1-c)^2-\frac{1}{2}f''(\xi_1)(0-c)^2,$

                                $\Rightarrow f'(c)=f(1)-f(0)-\frac{1}{2}f''(\xi_2)(1-c)^2+\frac{1}{2}f''(\xi_1)(0-c)^2,$

                                $\begin{align*}\therefore |f'(c)|&=|f(1)-f(0)-\frac{1}{2}f''(\xi_2)(1-c)^2+\frac{1}{2}f''(\xi_1)(0-c)^2|\\\\&\leq |f(1)|+|f(0)|+|\frac{1}{2}f''(\xi_2)(1-c)^2-\frac{1}{2}f''(\xi_1)(0-c)^2|\\\\&\leq 2M+\frac{1}{2}M|(c^2-(1-c)^2)|\\\\&\leq 3M.
\end{align*}$

                由$c$的任意性,可知结论成立。



二维码

扫码加我 拉你入群

请注明:姓名-公司-职位

以便审核进群资格,未注明则拒绝

2019-6-18 16:59:31
北京科技大学2014年研究生入学考试数学分析试题
6.png

解:(1)、利用偶函数在对称区间里的对称性:
                                    $\displaystyle \because I=\int_{-a}^{a}\frac{f(x)}{1+e^x}dx\overset{x=-t}{\rightarrow}\int_{-a}^{a}\frac{e^tf(t)}{1+e^t}dt ,$

                                     $\displaystyle \therefore I=\frac{1}{2}\int_{-a}^{a}\frac{(1+e^x)f(x)}{1+e^x}dx=\frac{1}{2}\int_{-a}^{a}f(x)dx=\int_{0}^{a}f(x)dx.$

        (2)、
                        $\displaystyle \int_{-\frac{\pi}{2}}^{\frac{\pi}{2}}\frac{\cos^3x}{1+e^x}dx=\int_{0}^{\frac{\pi}{2}}\cos^3xdx=\int_{0}^{\frac{\pi}{2}}(1-\sin^2x)d\sin x=\sin x|_0^{\frac{\pi}{2}}-\frac{1}{3}\sin^3x|_0^{\frac{\pi}{2}}=\frac{2}{3}.$



二维码

扫码加我 拉你入群

请注明:姓名-公司-职位

以便审核进群资格,未注明则拒绝

2019-6-18 17:00:19
北京科技大学2014年研究生入学考试数学分析试题
7.png


(1)、证明:
                      $\displaystyle \because |\frac{x}{1+n^4x^2}|\leq |\frac{x}{2n^2x}|=\frac{1}{2n^2}\rightarrow 0.(n \to \infty )$

                      $\therefore $级数一致收敛。(狄氏判别法)


(2)、解:
                     $\displaystyle \sum_{n=1}^{+\infty }\frac{(-1)^n8^n}{n\ln(n^3+n)}x^{3n-2}=\frac{1}{x^2}\sum_{n=1}^{+\infty }\frac{(-1)^n}{n\ln(n^3+n)}(2x)^{3n}.$

                       $\displaystyle \because |R|=|\frac{(n+1)\ln((n+1)^3+n+1)}{n\ln(n^3+n)}|=\frac{(n+1)^3+n}{n^3+n-1}=1.(n \to +\infty )$

                       $\displaystyle \therefore |x|\leq \frac{1}{2},x\neq 0.$

                       $\displaystyle \Rightarrow x\in [-\frac{1}{2},0)\cup (0,\frac{1}{2}].$



二维码

扫码加我 拉你入群

请注明:姓名-公司-职位

以便审核进群资格,未注明则拒绝

栏目导航
热门文章
推荐文章

说点什么

分享

扫码加好友,拉您进群
各岗位、行业、专业交流群