全部版块 我的主页
论坛 经济学论坛 三区 微观经济学 经济金融数学专区
2019-6-18 17:00:41
北京科技大学2014年研究生入学考试数学分析试题
8.png


较简单,略。

二维码

扫码加我 拉你入群

请注明:姓名-公司-职位

以便审核进群资格,未注明则拒绝

2019-6-18 17:01:13
北京科技大学2014年研究生入学考试数学分析试题
9.png

解:由已知条件,用高斯公式,得:

                                            $\displaystyle \oint\int_\Sigma f(x) dydz-\frac{xy}{1+x^2}dzdx-dxdy=\pm\iiint_\Omega(f'(x)-\frac{x}{1+x^2})dV=0.$

                                          $\displaystyle \therefore f'(x)-\frac{x}{1+x^2}=0,$

                                          $\displaystyle \Rightarrow \int_{0}^{x}f'(x)dx=\int_{0}^{x}\frac{x}{1+x^2}dx=\frac{1}{2}\ln(1+x^2),$

                                           $\displaystyle \therefore f(x)-f(0)=\frac{1}{2}\ln(1+x^2),$

                                           $\displaystyle \Rightarrow f(x)=f(0)+\frac{1}{2}\ln(1+x^2)=1+\frac{1}{2}\ln(1+x^2),$



二维码

扫码加我 拉你入群

请注明:姓名-公司-职位

以便审核进群资格,未注明则拒绝

2019-6-18 17:01:42
北京科技大学2014年研究生入学考试数学分析试题
10.png


证:设:
                                $\displaystyle t=f(x),$

                               $\displaystyle \rightarrow dx=\frac{dt}{f'(x)}\leq \frac{dt}{m},$

                               $\displaystyle \therefore \left | \int_{a}^{b}\sin f(x)dx \right |=\left | \int_{a}^{b}\frac{\sin tdt }{f'(x)}\right |\leq \frac{1}{m}|\int_{a}^{b}\sin tdt|\leq \frac{2}{m}.$




注:此题看似很简单,解时想了好久,用秦勒,用分段,用不等式,就是没有想到用变量变换,是网友提醒了我,才犹如灌顶一般。





二维码

扫码加我 拉你入群

请注明:姓名-公司-职位

以便审核进群资格,未注明则拒绝

2019-6-26 14:47:55
杭州师范大学2019年722数学分析

1.png


1、解:

                           $\displaystyle \begin{align*}\lim_{n \to \infty }\left ( n\tan \frac{1}{n} \right )^{n^2}&=e^{\lim\limits_{n \to \infty }n^2\ln(n\tan \frac{1}{n})}\\\\&=e^{\lim\limits_{n \to \infty }\frac{(n\tan \frac{1}{n}-1)}{\frac{1}{n^2}}}\\\\&=e^{\lim\limits_{t \to 0}\frac{\sin t-t}{t^3}}\\\\&=e^{-\frac{1}{6}}.
\end{align*}$


2、解:所给平面的法向量为:$(1,3,1)$

             曲面$z=xy$的法向量为:$(z_x,z_y,-1)=(y,x,-1)$

            由题意,两个法向量平行,则有:

                                                               $\frac{y}{1}=\frac{x}{3}=\frac{-1}{1}.$

                                                          $\therefore x=-3,y=-1,z=3$

                  此即为满足条件的曲面$z=xy$上的点$(-3,-1,3)$。而过该点的法线为:

                                                           $\frac{x+3}{1}=\frac{y+1}{3}=\frac{z-3}{1}.$






二维码

扫码加我 拉你入群

请注明:姓名-公司-职位

以便审核进群资格,未注明则拒绝

2019-6-26 14:48:32
杭州师范大学2019年722数学分析
2.png

解:根据等价关系,用求极限的罗必塔法则。

                          $\begin{align*}\because \lim_{x\to 0}\frac{f(x)}{x}&=\lim_{x\to 0}\frac{x+a\ln(1+x)+bx\sin x}{x}\\\\&=\lim_{x\to 0}(1+a\frac{\ln(1+x)}{x}+b\sin x)\\\\&=1+a=\lim_{x\to 0}\frac{kx^3}{x}=0.\end{align*}$

                           $\therefore a=-1.$

                           $\begin{align*}\because \lim_{x\to 0}\frac{f(x)}{x^2}&=\lim_{x\to 0}\frac{x+a\ln(1+x)+bx\sin x}{x^2}\\\\&=\lim_{x\to 0}\frac{1+\frac{a}{1+x}+b\sin x+bx\cos x}{2x}\\\\&=\frac{1-a+2b}{2}=\lim_{x\to 0}\frac{kx^3}{x^2}=0.\end{align*}$

                             $\therefore b=-1.$

                          $\begin{align*}\because \lim_{x\to 0}\frac{f(x)}{x^3}&=\lim_{x\to 0}\frac{x+a\ln(1+x)+bx\sin x}{x^3}\\\\&=\lim_{x\to 0}\frac{1+\frac{a}{1+x}+b\sin x+bx\cos x}{3x^2}\\\\&=\frac{1+2a+2b}{6}=\lim_{x\to 0}\frac{kx^3}{x^3}=k.\end{align*}$

                         $\therefore k=-\frac{1}{2}.$




二维码

扫码加我 拉你入群

请注明:姓名-公司-职位

以便审核进群资格,未注明则拒绝

2019-6-26 14:48:59
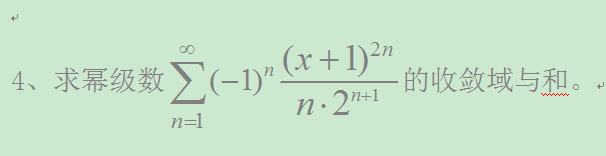
杭州师范大学2019年722数学分析
3.png

解:
                       $\displaystyle \sum_{n=1}^{\infty }(-1)^n\frac{(x+1)^{2n}}{n\cdot 2^{n+1}}=\frac{1}{2}\sum_{n=1}^{\infty }(-1)^n\frac{(x+1)^{2n}}{n\cdot 2^{n}}.$

                       $|R|=\left | \frac{\frac{1}{n\cdot 2^n}}{\frac{1}{(n+1)\cdot 2^{n+1}}} \right |=2.(n \to \infty )$

                           $-\sqrt{2}< (x+1)\leq \sqrt{2}.$

                          $\therefore -1-\sqrt{2}< x\leq -1+\sqrt{2}.$

                令:
                         $\displaystyle \begin{align*}S_n&=\sum_{k=1}^{n }(-1)^k\frac{(x+1)^{2k}}{k\cdot 2^{k+1}}=\frac{1}{2}\sum_{k=1}^{n}(-1)^k\frac{(x+1)^{2k}}{k\cdot 2^{k}}\\\\&=\frac{1}{2}\sum_{k=1}^{n}(-1)^k(\frac{(x+1)^{2}}{2})^k\cdot \frac{1}{k}\overset{t=\frac{(x+1)^2}{2}}\\\\&{\rightarrow}\frac{1}{2}\sum_{k=1}^{n}(-1)^k \frac{t^k}{k}.\end{align*}$

                          $\displaystyle \begin{align*}S_n&=\frac{1}{2}\int_{0}^{x}(\sum_{k=1}^{n}(-1)^k \frac{t^k}{k})'dt=-\frac{1}{2}\int_{0}^{x}\sum_{k=1}^{n}(-1)^{k-1} t^{k-1}dt\\\\&=-\frac{1}{2}\int_{0}^{x}\frac{1+t^{n-1}}{1+t}dt.\end{align*}$

                          $\displaystyle\begin{align*}\therefore S&=\lim_{n\to \infty }S_n=-\frac{1}{2}\int_{0}^{x}\lim_{n\to \infty }\frac{1+t^{n-1}}{1+t}dt\\\\&=-\frac{1}{2}\int_{0}^{x}\frac{1}{1+t}dt=-\frac{1}{2}\ln(1+x)\\\\&=-\frac{1}{2}\ln(1+\frac{(1+x)^2}{2}).
\end{align*}$





附件列表
2.png

原图尺寸 17.45 KB

2.png

二维码

扫码加我 拉你入群

请注明:姓名-公司-职位

以便审核进群资格,未注明则拒绝

2019-6-26 14:50:17
杭州师范大学2019年722数学分析
4.png


解:由对称性,得

                              $\begin{align*}I&=\iiint_V(x+y+z) dV=\iiint_Vz dV\\\\&=\iint_Sdxdy\int_{0}^{\sqrt{1-x^2-y^2}} dz\\\\&=\frac{1}{2}\iint_S(1-x^2-y^2)dxdy\\\\&=\frac{1}{2}\int_{0}^{2\pi}d\theta \int_{0}^{1}(1-r^2)rdr\\\\&=\frac{2}{3}\pi.
\end{align*}$


附件列表
3.png

原图尺寸 11.34 KB

3.png

二维码

扫码加我 拉你入群

请注明:姓名-公司-职位

以便审核进群资格,未注明则拒绝

2019-6-26 14:53:36
杭州师范大学2019年722数学分析
4.png


此题是基本题。(重复)






二维码

扫码加我 拉你入群

请注明:姓名-公司-职位

以便审核进群资格,未注明则拒绝

2019-6-26 14:54:13
杭州师范大学2019年722数学分析
5.png


解:利用Cauchy中值定理。其中

                                  $f(x)=\ln x,g(x)=x.$


                        比较简单。
                  

二维码

扫码加我 拉你入群

请注明:姓名-公司-职位

以便审核进群资格,未注明则拒绝

2019-6-26 14:54:51
杭州师范大学2019年722数学分析
6.png


此题前已有类似解。(略过)
二维码

扫码加我 拉你入群

请注明:姓名-公司-职位

以便审核进群资格,未注明则拒绝

2019-6-26 14:55:20
杭州师范大学2019年722数学分析
7.png



此题前已有类似题,设辅助函数,利用邻域性质。






二维码

扫码加我 拉你入群

请注明:姓名-公司-职位

以便审核进群资格,未注明则拒绝

2019-6-26 14:56:09
杭州师范大学2019年722数学分析
8.png


证明:由已知条件,有:
                                        $z_x=(1+e^y)\sin x=0,$

                                        $z_y=e^y\cos x-e^y-ye^y=0,$
                           
                                         $\therefore \sin x=0,$
                        
                                        $\cos x-1-y=0,$

                         因此,可能的极值点为:

                                            $\Rightarrow x=0,\pi,2\pi,\cdots . y=0.$


                        又因为,
                                             $A=z_{xx}=-(1+e^y)\cos x|_{(k\pi,0)}=(-1)^{k+1}2\cos k\pi=-2< 0,$
               
                                             $B=z_{yy}=e^y\cos x-2e^y-ye^y|_{(k\pi,0)}=-1,$

                                              $C=z_{xy}=e^y\sin x|_{(k\pi,0)}=0.$

                                              $\therefore D=AC-B=-2\cdot (-1)-0> 0.$

                          即,函数有极大值点,且无数多个,没有极小值点。



二维码

扫码加我 拉你入群

请注明:姓名-公司-职位

以便审核进群资格,未注明则拒绝

2019-6-26 14:56:55
杭州师范大学2019年722数学分析
9.png

证明:用反证法。假设
                                     $\displaystyle \int_{0}^{1}f(x)dx< \infty ,\Rightarrow \lim_{x\to 0}xf(x)\neq 0.$

              不妨设
                                    $\displaystyle \lim_{x\to 0}xf(x)=1,$

               此时有
                                    $f(x)=O(\frac{1}{x}),$

                                     $\displaystyle \int_{0}^{1}f(x)dx=\int_{0}^{1}\frac{1}{x}dx=\infty ,$

               而这显然与假设矛盾,因此

                                    $\displaystyle \lim_{x\to 0}xf(x)=0.$


二维码

扫码加我 拉你入群

请注明:姓名-公司-职位

以便审核进群资格,未注明则拒绝

2019-6-28 12:37:02
一道竞赛题:计算:
                                $\displaystyle \iint_Sx^2 dydz+y^2dxdz+z^2dxdy $


其中,$S$是球面$\displaystyle (x-a)^2+(y-b)^2+(z-c)^2=R^2,$的外侧面。


解:由高斯公式:
                              $\displaystyle \iint_Sx^2 dydz+y^2dxdz+z^2dxdy=2\iiint_\Omega (x+y+z)dV,$


                            $\displaystyle \because \iiint_\Omega xdV =\iiint_\Omega (x-a)dV+\iiint_\Omega adV =0+\frac{4}{3}\pi R^3a ,$
           
                同理,有

                              $\displaystyle \iiint_\Omega xdV =\frac{4}{3}\pi R^3b,\iiint_\Omega xdV =\frac{4}{3}\pi R^3c.$


                            $\displaystyle \therefore 2\iiint_\Omega (x+y+z)dV=\frac{8}{3}\pi R^3(a+b+c).$







二维码

扫码加我 拉你入群

请注明:姓名-公司-职位

以便审核进群资格,未注明则拒绝

2019-7-2 22:34:10
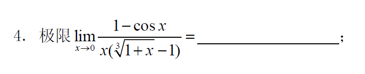
中国计量大学2019数学分析713
一、填空题
1.png

填空题比较简单,主要是考基础计算。选择两道极限计算题。

解:
                          $\displaystyle \lim_{x\to 0}\frac{1-\cos x}{x(\sqrt[3]{x+1}-1)}=\lim_{x\to 0}\frac{\frac{1}{2}x^2}{x\cdot \frac{1}{3}x}=\frac{3}{2}.$







二维码

扫码加我 拉你入群

请注明:姓名-公司-职位

以便审核进群资格,未注明则拒绝

2019-7-2 22:35:23
中国计量大学2019数学分析713
2.png


解:
                  $\displaystyle \lim_{x\to 0}(\cos x)^{\frac{1+x}{\sin^2x}}=\lim_{x\to 0}e^{\frac{1+x}{\sin^2x}\ln \cos x}=\lim_{x\to 0}e^{\frac{\ln(1-\frac{1}{2}x^2)}{x^2}}=\lim_{x\to 0}e^{\frac{-\frac{1}{2}x^2}{x^2}}=e^{-\frac{1}{2}}.$




二维码

扫码加我 拉你入群

请注明:姓名-公司-职位

以便审核进群资格,未注明则拒绝

2019-7-2 22:35:46
中国计量大学2019数学分析713
3.png

解:

         (1)、
                         $\displaystyle \int \frac{dx}{\sqrt{x}(1+x)}=\int \frac{2d\sqrt{x}}{1+x}=2\arctan\sqrt{x} +C.$



          (2)、
                        $\displaystyle \lim_{x\to 0}\frac{\int_{0}^{x^2}t\cos tdt}{\ln(1+x^3)\cdot \sin x}=\lim_{x\to 0}\frac{2x\cdot x^2\cdot \cos x^2}{\frac{3x^2}{1+x^3}\cdot \sin x+\ln(1+x^3)\cdot \cos x}=\lim_{x\to 0}\frac{2x^3(1+x^3)}{3x^3+x^3(1+x^3)}=\frac{1}{2}.$



二维码

扫码加我 拉你入群

请注明:姓名-公司-职位

以便审核进群资格,未注明则拒绝

2019-7-2 22:36:22
中国计量大学2019数学分析713
4.png


解:
                $I=\iiint_\Omega \sqrt{x^2+y^2} dxdydz=\int_{0}^{2\pi}d\theta \int_{3}^{0}r^2dr\int_{0}^{9-r^2}dz=\int_{0}^{2\pi}d\theta \int_{0}^{3}r^2(r^2-9)dr=\frac{216}{5}\pi.$




二维码

扫码加我 拉你入群

请注明:姓名-公司-职位

以便审核进群资格,未注明则拒绝

2019-7-2 22:36:50
中国计量大学2019数学分析713
5.png


解:
                       $\begin{align*}I&=\oint ydx+\sin xdy\\\\&=-\iint (\frac{\partial Q}{\partial x}-\frac{\partial P}{\partial y})dxdy\\\\&=-\iint(\cos x-1) dxdy\\\\&=\int_{0}^{\pi}(1-\cos x)dx\int_{0}^{\sin x}dy\\\\&=\int_{0}^{\pi}(\sin x-\cos x\sin x)dx\\\\&=-2+\frac{1}{4}\cos2x|_0^\pi\\\\&=-2.
\end{align*}$


二维码

扫码加我 拉你入群

请注明:姓名-公司-职位

以便审核进群资格,未注明则拒绝

2019-7-2 22:37:17
中国计量大学2019数学分析713
6.png

解:
                    $\displaystyle \because \sum_{n=}^{\infty }\frac{x^{2n}}{2n-1}=x\sum_{n=1}^{\infty }\frac{x^{2n-1}}{2n-1}.$

                    $\displaystyle \therefore |R|=|\frac{2n+1}{2n-1}|=1,(n \to \infty )$

                     $\displaystyle \Rightarrow -1\leq x< 1.$

            设:
                         $\displaystyle s_n=\sum_{k=1}^{n}\frac{x^{2k-1}}{2k-1},$         

                         $\displaystyle \therefore s_n=\int_{0}^{x}\sum_{k=1}^{n}(\frac{x^{2k-1}}{2k-1})'dx=\int_{0}^{x}\sum_{k=1}^{n}x^{2k-2}dx=\int_{0}^{x}\frac{1-x^{2k}}{1-x^2}dx,$

                         $\displaystyle \Rightarrow S=x\lim_{n \to \infty }S_n=x\int_{0}^{x}\frac{1}{1-x^2}dx=x\ln\frac{1-x}{1+x}.$




二维码

扫码加我 拉你入群

请注明:姓名-公司-职位

以便审核进群资格,未注明则拒绝

2019-7-2 22:37:44
中国计量大学2019数学分析713
7.png

解:
                       $\displaystyle \begin{align*}\lim_{n \to +\infty }(\frac{f(a+\frac{1}{n})}{f(a)})^n&=\lim_{n \to +\infty }e^{\displaystyle n(\ln f(a+\frac{1}{n})-\ln f(a))}\\\\&=\lim_{n \to +\infty }e^{\displaystyle \frac{\ln f(a+\frac{1}{n})-\ln f(a)}{a+\frac{1}{n}-a}}\\\\&=e^{\displaystyle \lim_{n \to +\infty }\frac{\ln f(a+\frac{1}{n})-\ln f(a)}{f(a+\frac{1}{n})-f(a)}\cdot \frac{f(a+\frac{1}{n})-f(a)}{a+\frac{1}{n}-a}}\\\\&=e^{\displaystyle \frac{f'(a)}{f(a)}}.
\end{align*}$




二维码

扫码加我 拉你入群

请注明:姓名-公司-职位

以便审核进群资格,未注明则拒绝

2019-7-2 22:38:15
中国计量大学2019数学分析713
8.png

1、很简单,设辅助函数为:
                                           $F(x)=xf(x)$,

                       对$F(x)$用中值定理即可。

2、证明:
                              $\because \lim_{x\to 0}\frac{f(x)}{x}=0,$

                              $\therefore f(x)=o(x).$

                              $\Rightarrow a_n=|f(\frac{1}{n})|=o(\frac{1}{n})\to 0,(n \to \infty )$

                      又
                               $\because |S_{n+p}-S_n|=||f(\frac{1}{n})|+|f(\frac{1}{n+1})|+\cdots +|f(\frac{1}{n+p})||=|o(\frac{1}{n})+o(\frac{1}{n+1})+\cdots +o(\frac{1}{n+p})|< o(\frac{p}{n}).$

                       根据柯西准则,级数收敛。


二维码

扫码加我 拉你入群

请注明:姓名-公司-职位

以便审核进群资格,未注明则拒绝

2019-7-5 21:10:11
浙江师范大学数学分析2010真题
1.png

解:(1)、
                            $\displaystyle \lim_{x\to 0}\frac{(\sqrt{1+x}-1)\sin x}{x\tan x}=\lim_{x\to 0}\frac{\sqrt{1+x}-1}{x}=\lim_{x\to 0}\frac{\frac{1}{2}x}{x}=\frac{1}{2}.$


   (2)、先对被积函数进行有理化分解得:

                              $\frac{1}{x^4(1+x^2)}=\frac{Ax^2+B}{x^4}-\frac{C}{1+x^2}=\frac{Ax^4+Ax^2+Bx^2+B-Cx^4}{x^4(1+x^2)},$

                              $\Rightarrow  B=1,A=-B=-1,C=A=-1.$

                               $\therefore \frac{1}{x^4(1+x^2)}=\frac{-x^2+1}{x^4}+\frac{1}{1+x^2}.$

                  接下来可以直接对之积分。





二维码

扫码加我 拉你入群

请注明:姓名-公司-职位

以便审核进群资格,未注明则拒绝

2019-7-5 21:12:09
浙江师范大学数学分析2010真题
2.png


解:(3)、
                        $\lim_{x\to+\infty }x(\frac{\pi}{4}-\arctan \frac{x}{x+1})=\lim_{t\to 0 }\frac{\frac{\pi}{4}-\arctan \frac{1}{t+1}}{t}=\lim_{t\to 0 }\frac{-1}{1+\frac{1}{(t+1)^2}}=-\frac{1}{2}.$


        (4)、
                           $dZ=\frac{\partial z}{\partial x}dx+\frac{\partial z}{\partial y}dy,$

                           $\frac{\partial z}{\partial x}=x^{y-1}y^{x+1}+x^{y}y^x\ln y,$

                            $\frac{\partial z}{\partial y}=x^{y}y^{x}\ln x+x^{y+1}y^{x-1},$

                           $\therefore dZ=(x^{y-1}y^{x+1}+x^{y}y^x\ln y)dx+(x^{y}y^{x}\ln x+x^{y+1}y^{x-1})dy.$


二维码

扫码加我 拉你入群

请注明:姓名-公司-职位

以便审核进群资格,未注明则拒绝

2019-7-5 21:12:57
浙江师范大学数学分析2010真题
3.png

解:
                        $\because F(x)=\int_{0}^{x}(x+y)f(y)dy=x\int_{0}^{x}f(y)dy+\int_{0}^{x}yf(y)dy.$

                        $\therefore F'(x)=\int_{0}^{x}f(y)dy+xf(x)+xf(x),$

                           $F''(x)=f(x)+2f(x)+2xf'(x)=3f(x)+2f'(x).$




二维码

扫码加我 拉你入群

请注明:姓名-公司-职位

以便审核进群资格,未注明则拒绝

2019-7-5 21:13:38
浙江师范大学数学分析2010真题
4.png


解:
                               $\displaystyle \because 1=\frac{1\cdot 3\cdots (2n-1)}{1\cdot 3\cdots (2n-1)}< \frac{1\cdot 3\cdots (2n-1)}{2\cdot 4\cdots 2n}< \frac{2\cdot 4\cdots 2n}{2\cdot 4\cdots 2n}=1,$

                               $\displaystyle \lim_{n \to \infty }\frac{1\cdot 3\cdots (2n-1)}{2\cdot 4\cdots 2n}=1.$



二维码

扫码加我 拉你入群

请注明:姓名-公司-职位

以便审核进群资格,未注明则拒绝

2019-7-5 21:14:53
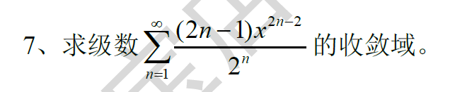
浙江师范大学数学分析2010真题
5.png


解:
                    $\begin{align*}\sum_{n=1}^{\infty }\frac{(2n-1)x^{2n-2}}{2^n}&=\sum_{n=1}^{\infty }\frac{(\int_{0}^{x}(2n-1)x^{2n-2}dx)'}{2^n}\\\\&=\sum_{n=1}^{\infty }\frac{(x^{2n-1})'}{2^n}\\\\&=(\frac{1}{x}\lim_{n \to\infty}\sum_{k=1}^{n}(\frac{x}{2})^k)'\\\\&=(\frac{1}{x}\cdot \frac{x/2}{1-x/2})'\\\\&=(\frac{1}{2-x})'\\\\&=\frac{1}{(2-x)^2},(-2\leq x< 2)
\end{align*}$



二维码

扫码加我 拉你入群

请注明:姓名-公司-职位

以便审核进群资格,未注明则拒绝

2019-7-5 21:15:34
浙江师范大学数学分析2010真题
6.png

解:添加$y=0$使其与上关圆组成一个闭合回路,再运用格林公式,

                         $\frac{\partial Q}{\partial x}-\frac{\partial P}{\partial y}=e^x\cos y-e^x\cos y+2=2.$

                         $\int_L=\oint_{L+y=0}-\int_{y=0}=\iint_D(\frac{\partial Q}{\partial x}-\frac{\partial P}{\partial y})dxdy-0=2\iint_Ddxdy=\pi a^2.$





二维码

扫码加我 拉你入群

请注明:姓名-公司-职位

以便审核进群资格,未注明则拒绝

2019-7-5 21:16:12
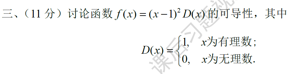
浙江师范大学数学分析2010真题
7.png

解:因为$D(x)$不可导,所以,当$x\neq 1$时,$f(x)$不可导。

           在$x=1$点,
                              
                               $\displaystyle \because \lim_{x\to 0}\frac{f(x)-f(1)}{x-1}=\lim_{x\to 0}\frac{0-0}{x-1}=0=f'(1).$

                 所以,可导。





二维码

扫码加我 拉你入群

请注明:姓名-公司-职位

以便审核进群资格,未注明则拒绝

2019-7-5 21:16:47
浙江师范大学数学分析2010真题
8.png



解:此题其实就是微分中值定理。



二维码

扫码加我 拉你入群

请注明:姓名-公司-职位

以便审核进群资格,未注明则拒绝

栏目导航
热门文章
推荐文章

说点什么

分享

扫码加好友,拉您进群
各岗位、行业、专业交流群