全部版块 我的主页
论坛 经济学论坛 三区 微观经济学 经济金融数学专区
2019-7-5 21:17:28
浙江师范大学数学分析2010真题
9.png

证明:
                 $\Rightarrow :$
                                 由$f(x)$在$(a,b)$一致连续,知

                                              $\delta > 0,\exists \xi \in[a+\delta ,b-\delta ],s.t.f(x)-f(a+\delta )=f'(\xi )(x-a-\delta ).$

                                  令$\delta \to 0$,取极限:

                                              $\displaystyle f(x)-\lim_{\delta \to 0}f(a+\delta )=f'(\xi )(x-a ).$

                                   而$f(x)$有界,$f'(\xi)$存在。所以,

                                                  $\displaystyle \lim_{\delta \to 0}f(a+\delta )=\lim_{x\to a^+}f(x)$,存在.

                                     同理可证$\displaystyle \lim_{x\to b^-}f(b)$,存在.

                $\Leftarrow :$
                                    
                                        $\displaystyle \lim_{x\to a^+}f(x)$,存在.则

                                        $\forall \varepsilon > 0,\exists \delta > 0,|x-a|< \delta(=\varepsilon ) $

                                      由中值定理,有

                                        $\displaystyle \exists \xi \in(a ,b),s.t.$

                                        $\displaystyle |f(x)-\lim_{x\to a^+}f(x)|=|f'(\xi )(x-a )|< M|x-a|< \varepsilon .$

                                     对右端同理可证。

                                      所以,$f(x)$在$(a,b)$上一致收敛。






二维码

扫码加我 拉你入群

请注明:姓名-公司-职位

以便审核进群资格,未注明则拒绝

2019-7-5 21:19:06
浙江师范大学数学分析2010真题
10.png

解:
            此题比较简单。

              当  $p+\frac{1}{n}\geq 0$,即$p\geq-\frac{1}{n}$时,级娄条件收敛。

              当$p+\frac{1}{n}> 1$,即$p> 1-\frac{1}{n}$时,级数绝对收敛。






二维码

扫码加我 拉你入群

请注明:姓名-公司-职位

以便审核进群资格,未注明则拒绝

2019-7-5 21:19:44
浙江师范大学数学分析2010真题
11.png

解:
        (1)、直角坐标

                                  $\iiint f(x^2+y^2,z)dV=4\int_{0}^{a}dx\int_{0}^{\sqrt{a-x^2}}dy\int_{a-\sqrt{a^2-x^2-y^2}}^{a+\sqrt{a^2-x^2-y^2}}f(x^2+y^2,z)dz.$


          (2)、柱面坐标

                                   $\iiint f(x^2+y^2,z)dV=\int_{0}^{2\pi}d\theta \int_{-a}^{a}rdr\int_{a-\sqrt{a^2-r^2}}^{a+\sqrt{a^2-r^2}}f(r^2,z)dz.$


            (3)、球面坐标

                                     $\iiint f(x^2+y^2,z)dV=\int_{0}^{2\pi}d\varphi \int_{0}^{\pi}\sin \theta d\theta \int_{-a}^{a}f(r\sqrt{2}\sin\theta ,a+r\cos\theta)r^2dr.$





二维码

扫码加我 拉你入群

请注明:姓名-公司-职位

以便审核进群资格,未注明则拒绝

2019-7-5 21:20:22
浙江师范大学数学分析2010真题
12.png
解:
                   $\because \forall x\in[a,b],$

                    $\therefore |\frac{e^{x^2}+\sqrt{n}}{n^{\frac{2}{3}}}|< \frac{e^{x^2}(1+\sqrt{n})}{n^{\frac{2}{3}}}=\frac{2e^{x^2}}{n}\rightarrow 0,(n \to \infty )$

                  因此,级数一致收敛。而因为有

                      $|(-1)^n\frac{e^{x_0^2}+\sqrt{n}}{n^{\frac{2}{3}}}|> \frac{1+\sqrt{n}}{n^{\frac{2}{3}}}> \frac{1}{n}.$

                   而级数$\{ \frac{1}{n}\}$发散,由比较判别法,故对任一点$x_0$,原级数不绝对收敛。



                    

二维码

扫码加我 拉你入群

请注明:姓名-公司-职位

以便审核进群资格,未注明则拒绝

2019-7-11 21:11:44
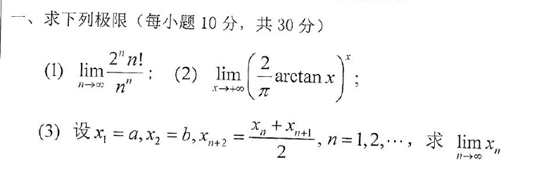
湘潭大学2017年601数学分析
1.png

解:
    (1)、【解法一】
                             $\begin{align*}\lim_{n \to \infty }\frac{2^nn!}{n^n}&=\lim_{n \to \infty }\frac{2^n\cdot \sqrt{2\pi n}}{n^n}\cdot (\frac{n}{e})^n\\\\&=\sqrt{2\pi}\lim_{n \to \infty }(\frac{2}{e})^n\sqrt{n}\\\\&=\sqrt{2\pi}\lim_{n \to \infty }\frac{\sqrt{n+1}-\sqrt{n}}{(\frac{e}{2})^{n+1}-(\frac{e}{2})^n}\\\\&=\sqrt{2\pi}\lim_{n \to \infty }\frac{1}{\sqrt{n+1}+\sqrt{n}}\cdot \frac{(\frac{2}{e})^n}{\frac{e}{2}-1}\\\\&=0.
\end{align*}$

                【解法二】令:
                                        $a_n=\frac{2^nn!}{n^n}$

                                         $\because \frac{a_{n+1}}{a_n}=\frac{\frac{2^{n+1}(n+1)!}{(n+1)^{n+1}}}{\frac{2^nn!}{n^n}}=\frac{2}{(1+\frac{1}{n})^n}=\frac{2}{e}< 1,(n \to \infty )$

                                  由此知,级数$\{\sum a_n\}$收敛。所以

                                         $\displaystyle \lim_{n \to \infty }a_n=\lim_{n \to \infty }\frac{2^nn!}{n^n}=0.$

   (2)、
                       $\displaystyle \lim_{x\to+\infty }(\frac{2}{\pi}\arctan x)^x=\lim_{x\to+\infty }e^{x\ln(\frac{2}{\pi}\arctan x)}=\lim_{x\to+\infty }e^{\frac{-1}{\arctan x}}=e^\frac{-2}{\pi}.$


二维码

扫码加我 拉你入群

请注明:姓名-公司-职位

以便审核进群资格,未注明则拒绝

2019-7-11 21:12:11
湘潭大学2017年601数学分析
2.png

证明:
             由柯西收敛准则:

                                  $\begin{align*}|x_{n+p}-x_{n}|&=|\frac{\cos(n+1)}{(n+1)(n+2)}+\frac{\cos(n+2)}{(n+2)(n+3)}+\cdots +\frac{\cos(n+p)}{(n+p)(n+p+1)}|\\\\&\leq \frac{1}{(n+1)(n+2)}+\frac{1}{(n+2)(n+3)}+\cdots +\frac{1}{(n+p)(n+p+1)}\\\\&=\frac{1}{n+1}-\frac{1}{n+p+1}\rightarrow 0,(n \to \infty )
\end{align*}$

                故,$\{x_n\}$收敛。




二维码

扫码加我 拉你入群

请注明:姓名-公司-职位

以便审核进群资格,未注明则拒绝

2019-7-11 21:12:29
湘潭大学2017年601数学分析

证明:
                  $\forall \varepsilon> 0,\exists \delta > 0,x_1,x_2\in [1,\infty ) ,|x_1-x_2|< \delta(=\varepsilon ) ,s.t.$

                  $|\ln x_1-\ln x_2|=|x_1-1-x_2+1|=|x_1-x_2|<\varepsilon .$

                 因此一致收敛。


附件列表
3.png

原图尺寸 18.51 KB

3.png

二维码

扫码加我 拉你入群

请注明:姓名-公司-职位

以便审核进群资格,未注明则拒绝

2019-7-11 21:13:03
湘潭大学2017年601数学分析
4.png


解:由已知曲线,可知在$(1,1)$的切线钭率为
                                            $y'|_{x=1}=nx^{n-1}=n,$

             切线为:
                                            $y-1=n(x-1),$

              切线与$x$轴的交点为:
                                            $x_n=\frac{n-1}{n}.$

                  所以
                                             $\displaystyle \lim_{n \to \infty }y(x_n)=\lim_{n \to \infty }(\frac{n-1}{n})^n=e^{-1}.$



二维码

扫码加我 拉你入群

请注明:姓名-公司-职位

以便审核进群资格,未注明则拒绝

2019-7-11 21:13:32
湘潭大学2017年601数学分析
5.png
解:
      (1)、
                               $\begin{align*}\int \frac{\ln^3x}{x^2}dx&=-\frac{\ln^3x}{x}+\int \frac{3\ln^2x}{x^2}dx\\\\&=-\frac{\ln^3x}{x}-\frac{3\ln^2x}{x}+\int \frac{6\ln x}{x^2}dx\\\\&= -\frac{\ln^3x}{x}-\frac{3\ln^2x}{x}-\frac{6\ln x}{x}+\int \frac{6}{x^2}dx\\\\&=-\frac{\ln^3x}{x}-\frac{3\ln^2x}{x}-\frac{6\ln x}{x}-\frac{6}{x}+C.
\end{align*}$

        (2)、由已知,得
                                      $f(x-2)=\begin{cases}
1+(x+2)^2&,  x< 2 \\
e^{-x-2}&,  x\geq 2
\end{cases}$

                                     $\therefore \int_{1}^{3}f(x-2)dx=\int_{1}^{2}(1+(1+x)^2)dx+\int_{2}^{3}e^{-x-2}dx=\cdots .$

                           计算略。




                             

二维码

扫码加我 拉你入群

请注明:姓名-公司-职位

以便审核进群资格,未注明则拒绝

2019-7-11 21:13:53
湘潭大学2017年601数学分析
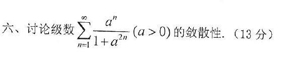
6.png

解:
             当$a\geq 1$时,有

                                  $\frac{a^n}{1+a^{2n}}< \frac{1}{a^n},$  

                 由$\sum \frac{1}{a^n}$收敛知,原级数收敛。

             当$a< 1$时,有  

                                  $\frac{a^n}{1+a^{2n}}> \frac{1}{a^n},$   

                  由$\sum \frac{1}{a^n}$发散知,原级数发散。



         


二维码

扫码加我 拉你入群

请注明:姓名-公司-职位

以便审核进群资格,未注明则拒绝

2019-7-11 21:14:16
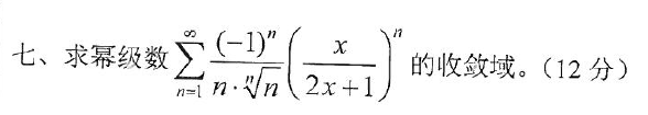
湘潭大学2017年601数学分析
7.png



解:
                                $x\in [-\frac{1}{3},+\infty ).$




二维码

扫码加我 拉你入群

请注明:姓名-公司-职位

以便审核进群资格,未注明则拒绝

2019-7-11 21:14:45
湘潭大学2017年601数学分析
8.png


解:
                              $\begin{align*}I&=\iiint_\Omega ze^{-(x^2+y^2+z^2)} dV\\\\&=\iint_\Sigma dxdy\int_{\sqrt{x^2+y^2}}^{\sqrt{1-x^2-y^2}}ze^{-(x^2+y^2+z^2)}dz\\\\&=\frac{1}{2}\iint_\Sigma (e^{-(x^2+y^2+1-x^2-y^2)}-e^{-2(x^2+y^2)})dxdy\\\\&=\frac{1}{2}\iint_\Sigma (e^{-1}-e^{-2(x^2+y^2)})dxdy\\\\&=\frac{1}{4}\pi e^{-1}-\frac{1}{2}\int_{0}^{2\pi}d\theta \int_{0}^{\frac{\sqrt{2}}{2}}re^{-2r^2}dr\\\\&=\frac{1}{4}\pi e^{-1}+\frac{1}{8}\cdot 2\pi\cdot (e^{-1}-1)\\\\&=\frac{1}{2}\pi e^{-1}-\frac{1}{4}\pi.
\end{align*}$





二维码

扫码加我 拉你入群

请注明:姓名-公司-职位

以便审核进群资格,未注明则拒绝

2019-7-11 21:15:03
湘潭大学2017年601数学分析
9.png

证明:
                      $\because x\geq 0,e^{-t^2}> 0,$

                      $\therefore \int_{x}^{+\infty }e^{-t^2}dt\leq \int_{0}^{+\infty }e^{-t^2}dt=\frac{\sqrt{\pi}}{2}.$

                      $\Rightarrow f(x)=e^{x^2}\int_{x}^{+\infty }e^{-t^2}dt\leq \frac{\sqrt{\pi}}{2}e^{x^2}\leq \frac{\sqrt{\pi}}{2}.$



二维码

扫码加我 拉你入群

请注明:姓名-公司-职位

以便审核进群资格,未注明则拒绝

2019-7-11 21:15:45
湘潭大学2017年601数学分析
10.png

一个网络解答:

1.png




这是一个非常经典的题,一般书上都有详细讲解。
二维码

扫码加我 拉你入群

请注明:姓名-公司-职位

以便审核进群资格,未注明则拒绝

2024-10-9 15:17:57
感谢楼主慷慨分享!
二维码

扫码加我 拉你入群

请注明:姓名-公司-职位

以便审核进群资格,未注明则拒绝

栏目导航
热门文章
推荐文章

说点什么

分享

扫码加好友,拉您进群
各岗位、行业、专业交流群