经管之家App
让优质教育人人可得
立即打开
全部版块
我的主页
›
论坛
›
站务区 十一区
›
新手入门区
R作图分位数回归的系数作图:Error in plot.window(...) : infinite axis extents [GE
楼主
松鼠的松果子
1198
1
收藏
2019-04-18
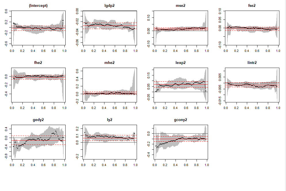
如图,我的模型中自变量有13个,进行分位数回归之后想画出系数图,但是每次都只能输出1~11个系数的示意图,即使是利用par调整作图位置也没有效果,希望大佬解答!感激不尽~代码如下:
fit2=summary(rq(y.net~lgdp2+mse2+fse2+fhe2+mhe2+lexp2+lintr2+gedy2+Iy2+gcony2+lblakp2+pol2+ttrad2,tau=2:98/100,data=barro))
plot(fit2)
附件列表
捕获.PNG
原图尺寸 30.82 KB
扫码加我 拉你入群
请注明:姓名-公司-职位
以便审核进群资格,未注明则拒绝
全部回复
沙发
松鼠的松果子
2020-6-3 22:34:00
已解决。建议求出系数的置信区间,自主绘图。
扫码加我 拉你入群
请注明:姓名-公司-职位
以便审核进群资格,未注明则拒绝
栏目导航
新手入门区
stata专版
行业分析报告
经管文库
文献求助专区
数据交流中心
热门文章
在概率与代码之间:Agent Skills 是 AI 的枷 ...
CDA数据分析脱产就业班于2026年3月7日开班! ...
癌症·真相:医生也在读(菠萝)
北大国发院 - 2026生活经济报告
法兰西数学精品译丛09-概率与位势(第Ⅰ卷) ...
脑机接口行业深度报告:顶层战略支持,国产 ...
山西经济普查年鉴2023 PDF版 全四册
半导体行业分析手册之二:混合键合设备,AI ...
芜湖造船厂为我国高端船舶制造自主创新再添 ...
表格结构数据特征与CDA数据分析师:精准适配 ...
推荐文章
2026JG学术冬训营:从Stata初高到Python机器 ...
【必看】【本版版规,欢迎发悬赏贴求助】
【新课】26年3月|Gemini辅助论文写作与数据 ...
关于如何利用文献的若干建议
关于学术研究和论文发表的一些建议
关于科研中如何学习基础知识的一些建议 (一 ...
一个自编的经济学建模小案例 --写给授课本科 ...
AI智能体赋能教学改革: 全国AI教育教学应用 ...
2025中国AIoT产业全景图谱报告-406页
关于文献求助的一些建议
说点什么
分享
微信
QQ空间
QQ
微博
扫码加好友,拉您进群
各岗位、行业、专业交流群