经管之家App
让优质教育人人可得
立即打开
全部版块
我的主页
›
论坛
›
经济学论坛 三区
›
微观经济学
›
经济金融数学专区
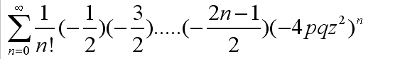
求助:级数求和
楼主
christopher
1266
3
收藏
2010-02-03
哪位高人帮我解燃眉之急:
扫码加我 拉你入群
请注明:姓名-公司-职位
以便审核进群资格,未注明则拒绝
全部回复
沙发
chenxiaoliang22
2010-2-3 21:27:33
哇塞赛
这个专业哈
期待
扫码加我 拉你入群
请注明:姓名-公司-职位
以便审核进群资格,未注明则拒绝
藤椅
jumboichigo
2010-2-5 16:56:20
does it converge?
扫码加我 拉你入群
请注明:姓名-公司-职位
以便审核进群资格,未注明则拒绝
板凳
christopher
2010-2-8 17:30:56
现在弄明白了,是一个taylor 级数
扫码加我 拉你入群
请注明:姓名-公司-职位
以便审核进群资格,未注明则拒绝
栏目导航
经济金融数学专区
经管文库(原现金交易版)
休闲灌水
经管高考
Stata专版
市场营销
热门文章
展望2026:学术智能体即将崛起?
CDA数据分析师:以数据思维赋能企业管理,驱 ...
CDA全国考点信息一览(更新于2025年12月10日 ...
Wooldridge的最新版Introductory Econometr ...
2035年中国产业政策研究报告20251204
求助文章Sharp Constant in a Sobolev Trac ...
2026年人工智能趋势报告:颠覆规则与未来前 ...
初等数学论丛+第6辑
【顶刊多指标】2000-2024年上市公司企业股票 ...
【多指标】2001-2024年上市公司企业供应链风 ...
推荐文章
12月武汉站|Deepseek辅助论文写作与数据分 ...
2026JG学术冬训营:从Stata初高到Python机器 ...
关于如何利用文献的若干建议
关于学术研究和论文发表的一些建议
关于科研中如何学习基础知识的一些建议 (一 ...
一个自编的经济学建模小案例 --写给授课本科 ...
AI智能体赋能教学改革: 全国AI教育教学应用 ...
2025中国AIoT产业全景图谱报告-406页
关于文献求助的一些建议
几种免费下载文献的方法----我的文献应助经
说点什么
分享
微信
QQ空间
QQ
微博
扫码加好友,拉您进群
各岗位、行业、专业交流群