全部版块 我的主页
论坛 数据科学与人工智能 数据分析与数据科学 SAS专版
4098 4
2019-05-17
因为我记得sas默认空格为分隔符,所以就直接导入源文件 微信截图_20190517150944.png
PROC IMPORT OUT= WORK.try
            DATAFILE= "D:\作业20190514\price1.csv"
            DBMS=csv REPLACE;
                        GETNAMES=YES;
RUN;

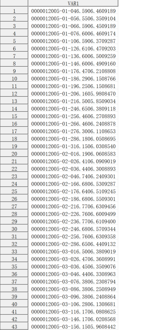
但导入后只剩一个变量,所有变量挤在同一列里
微信截图_20190517151007.png

请问该如何解决?
附件列表
微信截图_20190517150944.png

原图尺寸 110.62 KB

微信截图_20190517150944.png

微信截图_20190517151007.png

原图尺寸 163.95 KB

微信截图_20190517151007.png

二维码

扫码加我 拉你入群

请注明:姓名-公司-职位

以便审核进群资格,未注明则拒绝

全部回复
2019-5-17 19:27:40
csv文件是使用逗号作为分隔符的。
楼主的文件很可能只是普通的文本文档,可以试试将后缀名改为txt后导入。
二维码

扫码加我 拉你入群

请注明:姓名-公司-职位

以便审核进群资格,未注明则拒绝

2019-5-21 18:27:39
2个方式:
1 把所有空格都用英文逗号替换。csv文档默认是逗号分割的,comma-seperated value。
用infile就能搞定,import麻烦了。比如F:\test.csv(逗号分割的)
data tes;
infile 'F:\test.csv' dsd;
input x y z;
run;

2.空格分割的,一般不会是csv。应该将文件名改为test.dat。比如F:\test.dat
data tes;
infile 'F:\test.dat';
input x y z;
run;
二维码

扫码加我 拉你入群

请注明:姓名-公司-职位

以便审核进群资格,未注明则拒绝

2019-5-21 20:13:32
Azure_R 发表于 2019-5-17 15:12
因为我记得sas默认空格为分隔符,所以就直接导入源文件
PROC IMPORT OUT= WORK.try
            DATAFILE ...
试一下加上delimiter=\" \"呢?
二维码

扫码加我 拉你入群

请注明:姓名-公司-职位

以便审核进群资格,未注明则拒绝

2019-5-21 20:14:30
conner_he 发表于 2019-5-21 20:13
试一下加上delimiter=\" \"呢?
\"\"里面是空格
二维码

扫码加我 拉你入群

请注明:姓名-公司-职位

以便审核进群资格,未注明则拒绝

相关推荐
栏目导航
热门文章
推荐文章

说点什么

分享

扫码加好友,拉您进群
各岗位、行业、专业交流群