经管之家App
让优质教育人人可得
立即打开
全部版块
我的主页
›
论坛
›
计量经济学与统计论坛 五区
›
计量经济学与统计软件
›
EViews专版
ACF和PACF图
楼主
Angersman
1415
1
收藏
2019-05-27
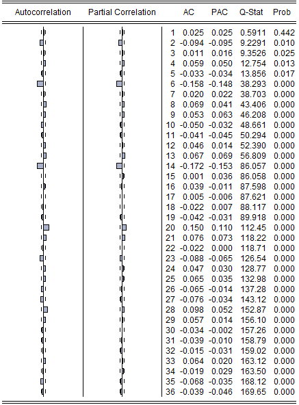
请问下图如何判断,序列是上证50ETF日对数收益率,已通过ADF检验。本人刚学习计量方面的知识,看不出该图片是拖尾还是截尾,望各位大神予以指教!感激不尽!论坛币没有了
还是希望各位能帮帮我。
扫码加我 拉你入群
请注明:姓名-公司-职位
以便审核进群资格,未注明则拒绝
全部回复
沙发
Angersman
2019-5-27 22:48:17
有人吗
扫码加我 拉你入群
请注明:姓名-公司-职位
以便审核进群资格,未注明则拒绝
相关推荐
[求助]请教如何在SAS中生成高质量的ACF图和PACF图
[求助]请教如何在SAS中生成高质量的ACF图和PACF图
今天看到笔记里的一句话“要以acf pacf图做依据,不能直接用疏系数模型”为什么呢?
新人想知道ACF和PACF图不明显怎么定阶
怎么看ACF图和PACF图?
怎么通过acf图,pacf图判断p、d、q
麻烦各位大大看下这个ACF图和PACF图,该拟合什么模型啊
通过ACF图和PACF图定阶的问题
acf图和pacf图的判断
acf图和pacf图怎么看p和q
栏目导航
EViews专版
经管文库(原现金交易版)
人力资源管理
新手入门区
投行估值、金融建模&VBA学习群组
经管在职研
热门文章
CDA数据分析脱产就业班于2026年3月7日开班! ...
天堂的证据(〔美〕埃本·亚历山大)
半导体行业分析手册之二:混合键合设备,AI ...
芜湖造船厂为我国高端船舶制造自主创新再添 ...
表格结构数据特征与CDA数据分析师:精准适配 ...
CDA 认证考试大纲 2025 重磅更新:一二级考 ...
在概率与代码之间:Agent Skills 是 AI 的枷 ...
新宏观丨豆包,传统经济学与商学对全球性债 ...
失去的三十年:平成日本经济史(【日】野口 ...
硅光芯片代工爆发式增长,重构全球半导体产 ...
推荐文章
2026JG学术冬训营:从Stata初高到Python机器 ...
【必看】【本版版规,欢迎发悬赏贴求助】
【新课】26年3月|Gemini辅助论文写作与数据 ...
关于如何利用文献的若干建议
关于学术研究和论文发表的一些建议
关于科研中如何学习基础知识的一些建议 (一 ...
一个自编的经济学建模小案例 --写给授课本科 ...
AI智能体赋能教学改革: 全国AI教育教学应用 ...
2025中国AIoT产业全景图谱报告-406页
关于文献求助的一些建议
说点什么
分享
微信
QQ空间
QQ
微博
扫码加好友,拉您进群
各岗位、行业、专业交流群