经管之家App
让优质教育人人可得
立即打开
全部版块
我的主页
›
论坛
›
计量经济学与统计论坛 五区
›
计量经济学与统计软件
›
EViews专版
eviews自相关图怎么定阶,我的虚线看不清怎么办?
楼主
zizy147258
3071
1
收藏
2019-06-09
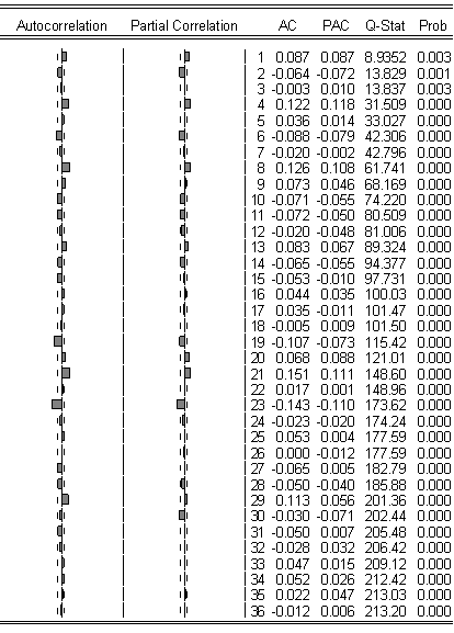
这是一阶差分之后的自相关图
为什么我的虚线离中间这么近?有什么问题吗?根据这张图怎么确定pq?选择arma模型对吗?
附件列表
eviews.png
原图尺寸 12.77 KB
扫码加我 拉你入群
请注明:姓名-公司-职位
以便审核进群资格,未注明则拒绝
全部回复
沙发
大魔王的小仙女
2019-7-2 22:02:38
你图上的ACF和PACF都在虚线里面,说明修正过后的残差序列不存在序列相关性。你确定p.q是用原始序列去算ACF和PACF看怎么截尾。
扫码加我 拉你入群
请注明:姓名-公司-职位
以便审核进群资格,未注明则拒绝
相关推荐
Eviews自相关图怎么看
eviews自相关
eviews自相关图和偏自相关图怎么看,这个图实在是太奇怪了
Eviews自相关和偏相关图怎么看
求看eviews自相关的图
Eviews自相关和偏自相关判断拖尾截尾
Eviews自相关图和偏自相关图
eviews自相关和偏相关决定arma的阶数问题
eviews自相关
eviews自相关图
栏目导航
EViews专版
经管文库(原现金交易版)
市场行情分析
经管高考
真实世界经济学(含财经时事)
stata专版
热门文章
AI Core产业营销思考
【24重磅,顶刊热点!】2008-2024上市公司股吧 ...
用论文示例+AI讲解计量方法:Stata实证研究 ...
CDA数据分析师:全流程拆解数据治理开展路径 ...
《数据要素发展报告(2025年)》---来源:中 ...
【多指标】2000-2024年上市公司企业债务融资 ...
CDA数据分析脱产就业班于2025年12月08日开班 ...
北京统计年鉴2025(excel)、北京统计年鉴2 ...
《智能制造标准化发展研究报告(2025)》-- ...
2025中国企业数智化转型案例研究报告
推荐文章
12月武汉站|Deepseek辅助论文写作与数据分 ...
2026JG学术冬训营:从Stata初高到Python机器 ...
关于如何利用文献的若干建议
关于学术研究和论文发表的一些建议
关于科研中如何学习基础知识的一些建议 (一 ...
一个自编的经济学建模小案例 --写给授课本科 ...
AI智能体赋能教学改革: 全国AI教育教学应用 ...
2025中国AIoT产业全景图谱报告-406页
关于文献求助的一些建议
几种免费下载文献的方法----我的文献应助经
说点什么
分享
微信
QQ空间
QQ
微博
扫码加好友,拉您进群
各岗位、行业、专业交流群