全部版块 我的主页
论坛 休闲区 十二区 休闲灌水
2215 7
2019-06-22

此后以Logit为基础的离散选择模型不断发展,到1995年有三位产业组织领域的学者发表了一篇极具影响的文章,分析消费者对不同品牌汽车的选择(Berry、Levinsohn和Pakes, 1995,通常被简称为BLP)。BLP假设消费者的效用是收入、汽车价格和汽车品牌特征的函数,外加一项随机扰动。他们延用随机效用服从Gumbel分布的假设,本质上仍然是一个Logit模型。但是三位学者引入了一系列的新思路,包括:让效用函数的参数随消费者个人特征变化;利用收缩映射(contraction mapping)的特性通过迭代运算估计不随个人特征变化的参数,以降低运算成本;分两步估计函数中非线性和线性部分的参数,在线性估计部分使用工具变量解决价格受缺失特征影响的内生性问题;在不知道个人选择的情况下通过匹配市场份额来估计个人效用函数中的参数,从而降低了对微观数据的要求。因为BLP的方法比较灵活,被后来的学者广泛采用。

Bayer et al. (2007) 用BLP的方法研究旧金山地区的居民对住房的选择。他们估计的效用函数除了包括住房特征和价格,还包括学区质量、种族构成等邻里特征。这样就可以通过估计出来的参数计算边际替代率¾增加一单位的邻里特征与放弃多少收入对效用的影响能互相抵消¾从而算出居民对邻里特征的支付意愿。为了消除邻里特征缺失而可能导致的偏误,Bayer et al. 一方面采用了Black (1999)的边界断点方法,即通过对照学区边界两侧的住房需求来控制缺失的邻里特征的影响;另一方面用3英里之外的房屋和街区特征做房价的工具变量(因为竞争关系而影响房价,但是不直接影响效用)。

Bayer et al. (2007) 和Black (1999) 同样都研究了居民对学区质量的支付意愿,前者是结构性估计,后者是简化型估计。对照这两项研究能让我们认识到两种方法的一些优缺点。Black (1999) 用的是传统的特征回归,学区质量的系数是边际购买者的支付意愿,可是如果想做成本效益分析来指导政策,我们需要的是平均支付意愿,Black的估值理论上来说并不适用;而Bayer et al. 的估计因为允许参数随个人特征变化,就可以估计平均支付意愿,对政策的指导意义更大。 同样因为Black用的是特征回归,她的估值只能解释成对微小变化的支付意愿;而Bayer et al. 直接估计出了效用函数,可以用于计算对非边际变化的支付意愿。当然简化型估计也有它的优点,主要是计算相对简单,可以做很多敏感性和稳健性的检验。

Wong (2013) 用BLP的方法研究新加坡居民对住房的选择,着重研究对街区族裔构成的偏好,把街区内各族裔的居民比例直接纳入效用函数。新加坡有个种族配额制度,当一个小区某个族裔的比例达到规定的上限时,其他族裔的房主就不许把房子卖给这个族裔的居民了。Wong利用这个政策造成的需求上的“弯折”来帮助识别模型的参数。她实际上没有个人层面的信息,只是通过电话黄页上的姓名估算出各个小区的族裔比例,加上一些小区层面上的信息,用模拟广义矩的方法(simulated generalized method of moments)估计出个人效用函数的参数。这也反映出BLP方法对微观数据要求不高的特点。Wong (2013)还做了反事实分析,用估算的效用函数推算最优的族裔构成安排,然后看现实是否接近最优的安排。这也是上面提到的结构性研究的优势。

BLP的方法也被借用来研究跨城市的居住地选择,把城市特征写进效用函数。Bayer et al. (2009)利用美国国内移民走向来估计效用函数,研究人们对空气质量的显示性偏好。Zhang和Zheng (2015)用类似的方法研究人们对城市水平上的种族居住隔离的偏好,估算人们对降低隔离程度的支付意愿。值得一提的是,此前的研究者在估算人们对城市特征的支付意愿时,一般会使用上面提到的Rosen-Roback分析框架,这个方法的前提是城际迁徙成本为零,研究美国这样高度自由的社会里的问题也许还可以,借用到像中国这样的有迁徙限制的社会就有点勉强了。而BLP的方法就不需要零迁徙成本的假设,甚至可以把迁徙成本写进效用函数,直接去估计它的影响。正是因为此一方法的这个特点,Timmins (2007)用它研究了巴西的问题,Xing和Zhang (2017)、Freeman et al. (2017)用它研究了中国的问题。

最近几年来城市和区域经济学领域应用最广泛的结构性分析框架,是由贸易经济学家Eaton和Kortum (2002)首创的,今天经常被简称为EK模型。他们创建这个模型本来是用于分析国际贸易成本的影响。可是如果把原模型里的国家理解成一国之内的各个地区,就提供了一个分析区域经济的框架;如果把国家看作是城市里的街区,就成了分析城市经济的模型。前一类研究包括Donaldson和Hornbeck (2016) 关于铁路系统对美国经济的贡献的论文、Donaldson (2018) 关于印度的铁路系统对经济的影响的论文;后一类研究包括Ahlfeldt et al. (2015) 利用柏林墙的建立和拆除造成的外生扰动来估计城市内密度经济的论文,Tsivanidis (2018) 关于波哥大公交系统的影响的工作论文。一些学者也在用这个模型来研究中国的区域经济问题(Tombe和Zhu, 2017;Fan, 2017)。

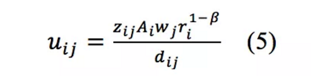
EK模型是个一般均衡的框架,既设定消费者偏好、生产技术,又要处理消费品和要素市场的均衡,在这里没法给出一个完整的例子。但是有必要看一看此类模型对消费者的效用函数是如何设定的,以便能了解这类模型的一个重要特点。我这里以Ahlfeldt et al. (2015)为例,假设一个在街区居住、在街区j工作的消费者有如下的效用函数:

3.png

其中Ai 是街区i的便利条件,wj 是街区j 的工资水平,γi 是街区i 的房租水平,是两地之间的通勤成本。Zij 是随机效用冲击,服从Fréchet (type III extreme value)分布:

2.png

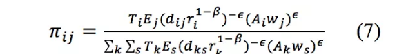
这里的Ti 是住在街区i得到的平均效用水平,Ej 是在街区j工作得到的平均效用水平,是个形状参数。ϵ>1 效用最大化可以导出一个人在街区i 居住、在街区j 工作的概率是:

1.png

就像Logit模型一样,这里通过对随机效用分布的假设,可以得到一个概率的解析解。当个人数量足够多时,这些概率加总就等于在街区居住、在街区j工作的城市人口比例。因而同样可以用最大似然法估计方程(7)里的每一个参数。跟Logit模型不同的是,这里选择的是两个地点的组合,而不是单个的地点。Fréchet分布是保证方程(7)解析解存在的关键条件,是每个EK模型里的核心假设。

上面几个例子都是关于效用函数的结构性估计,最后再举一个估计生产函数的例子。Epple et al. (2010) 试图估计住房的生产函数。这个问题的难处在于住房的数量是没法直接度量的,解决这类问题的传统方法是把产品价值加总用来表示产品总量。可是当产品的质量千差万别时(住房就是),这样的度量方法容易导致巨大的偏误。Epple et al. (2010) 从基本的微观理论出发提出了一个方法,即先估计建筑企业的利润函数,根据包络定理,利润函数的一阶导数是供给函数,而从供给函数可以导出生产函数。他们用匹兹堡地区的数据来演示这个方法的运用。作者们虽然没有做反事实分析,这样的估计结果显然对政策评估有用。不少地方政策(譬如地产税的变化、学区质量的提升)会影响住房需求,结合住房供给函数可以算出对房价的影响,进而推导出对本地居民福利的影响。

5.2  结构性的校准分析

有一些结构性的实证研究用的模型相当复杂,去估计模型中的每一个参数和变量关系已经不太现实。在这种情况下,研究人员可能去借用相关研究中得到的结果给模型参数赋值,对模型和参数值做出调整以使它模拟出的结果与现实中的一组事实大致吻合,然后用这个模型做模拟实验、反事实分析,以回答研究者关心的问题。这样的实证研究方法被称作校准(calibration)分析。校准最初被大量运用于分析一般均衡框架下的宏观经济问题。不难想象,宏观经济学问题涉及的决策者和部门较多、需要考虑的参数和变量关系也更多,因而完全依靠估计来给模型赋值极其困难,这是导致校准分析最先在该领域流行起来的原因之一。而宏观经济学家对城市和区域经济学问题的关注(例如Lucas和Rossi-Hansberg, 2002),自然就把这样的分析手段引入了城市和区域经济学。

做校准分析的实证研究一般分以下五个步骤进行(Kydland和Prescott 1996;DeJong和Dave, 2011,第六章):

(1)提出一个需要定量解答的问题;譬如说,废止户籍制度对中国经济会产生怎样的影响?

(2)选取一个前人检验过的合适的理论框架来回答这个问题;譬如说,可以用我们上面提到过的EK贸易理论框架。

(3)建立一个模型,即由一组方程式来代表一个简化的经济体。

(4)对模型进行校准,即给模型的参数赋值、选取特定的参数值组合以使模型模拟出的结果在事先选取的几个维度上跟现实大致吻合;譬如说,使模型计算出的经济增长率、进出口增长率、城市化率、城市规模分布变化等都跟数据里的趋势大致相同。(跟回归分析不同的是,校准分析在选择参数时不以最佳拟合程度为目标。校准模型的工作更像对仪器的调整,就像我们制做一个温度计,需要让它在热水开始沸腾之际显示100度、在冷水开始结冰之际显示零度;对模型的校准就是要让它产生的数量关系和特征符合已知的重要事实。)

(5)用经过校准的模型做实验来回答步骤(1)里提出的问题,譬如说把模型中户籍制度的限制全部消除,看重新解出的宏观经济变量与废除限制之前有哪些变化;这样的练习不但能量化取消户籍制度对每一个宏观变量的影响,还能帮助研究者搞清楚这些影响是通过哪些渠道达成的。

Albouy (2009)就是使用校准分析的一个例子。作者要研究的问题是,美国的联邦所得税率对全国各地的居民是一致的,但是因为城市地区需要高收入来抵消高房价等高生活成本,导致城市地区的居民在累进税制的情况下税负更重。那么这种地区间的税负不平等的影响是什么呢?Albouy把收入所得税引入传统的Rosen-Roback理论框架,建立了一个一般均衡模型,对模型进行校准,然后用这个模型进行模拟实验。他发现,税负的不同导致高工资地区的长期就业水平被压低了13%,地价和房价被分别压低了21%和5%,由此而导致的经济损失占国民收入的0.23%。

Desmet et al. (2018) 研究未来世界经济发展的地理分布。他们将Allen和Arkolakis (2014)、 Eaton和Kortum (2002)以及Kline和Moretti (2014)等几个理论框架的特点结合起来构建一个一般均衡模型,用来分析地球上每个1经度′1纬度(在赤道附近大致等于111公里′111公里)的方格里的经济活动。他们对这个模型进行校准,通过该模型反推回去的人口分布与全球过去一百多年的人口分布和增长拟合较好。他们用这个模型来分析,如果世界范围内降低(国内的和跨国的)迁徙限制结果会怎样。他们发现,如果完全消除移民限制,全世界的福利会增长三倍,70%的人口会选择跨国移民。这样世界大同的极端情况当然不太可能实现,但是确实说明了对人力资本流动的限制影响何其大。他们也分析了部分地降低移民限制的影响以及不同地区所受影响的差异程度。

需要指出的是,即便是以校准分析为主体的实证研究,也经常用到各种回归方法。大致有以下三种情形:

(1)有些研究会先借助回归分析描述一些“典型事实”(stylized facts),然后以这些事实为指导建立模型,再针对模型做校准分析。譬如Felkner和Townsend (2011)关于泰国企业地理分布的研究,就先做回归来展示离市场和基础设施越近的地方企业数量越多、自然条件越好的地方企业数量越多等等,而后构建和校准模型的目标之一就是能说明这些事实。再比如Ngai和Tenreyro (2014)在研究住房市场的季节性变化时,先做回归显示春夏两季搬进新居的人家住的时间更久、翻修花费更低,表明春夏两季买到手的住房更合意,然后根据这些事实建了一个搜索匹配模型做校准分析。

(2)有很多研究在做校准分析时,用的一些参数值是研究者自己通过回归分析得到的。例如Albouy (2009) 在校准分析中采用的美国各城市工资水平,就是他自己通过回归分析估计的。Xu (2018)校准一个经过拓展的EK模型,分析中国高铁系统的福利效应,他用到的国内迁徙和贸易成本都是自己估计的。

(3)有些研究者在建立一个模型之后,先做回归分析来验证模型的某些推断,然后再做校准分析来回答所关心的问题。Rossi-Hansberg et al. (2010)关于住房外部效应的研究就是这样的,他们先建立一个模型来解释ZF资助的城市改造项目的影响,然后用里士满的数据做非参数回归、显示城市改造项目对地价的影响随距离递减,最后做校准分析算出住房外部效应随距离递减的速率并计算城市改造项目的收益率。Gennaioli et al. (2013) 研究影响区域发展的因素,也是先根据模型的推断做回归分析、发现人力资本在解释区域收入差异时至关重要,然后再做校准分析,计算工人的教育水平、企业家的教育水平、人力资本外部性在解释区域间劳动生产率差异时各自起的作用。

5.3  结构性实证研究的优缺点

在结束这一小节之前,我仍然要做几点评论。在谈具体例子的时候,我已经提到一些结构性研究的优缺点,这里算是几点补充。

第一,有一种看法认为结构性研究的假设太多,不像简化型估计那样干净。这当然与结构性研究用到的模型相对更复杂有关。值得一提的是,所说的结构性研究假设太多在很大程度上只是一个错觉。任何一个试图解释现象或建立因果关系的实证研究,必然以一系列的假设为起点。举个例子来说,如果你的研究目的只是想说明厦门的住房均价比成都高,那你对比两个样本均值就行了,不用做太多的假设。可是一旦你想说明为什么厦门的房价更高,你必然要做一连串的假设。也就是说,即便是非结构性的研究,只要作者不是做简单的描述,一定也是建立在层层假设之上的。如果说结构性研究和非结构性研究在这一点上真有区别的话,那只是结构性研究因为有模型的约束必须在每一步尽量把假设讲清楚,而非结构性研究(特别是那些脱离模型的)往往做了很多隐含的假设。从科学研究的角度来说,写明所做的假设是个好习惯。

第二,另有一种观点认为,简化型研究在因果识别方面做得比结构性研究更好。这一点可以商榷。应该承认,强调因果关系的识别、要求研究者讲明外生扰动来源这样的标准做法,最早是由做简化型研究的学者大力推行的,而好的简化型研究确实在这一方面值得称赞和效仿。可是讲明外生扰动来源其实是每个做实证研究的学者都应该特别注意的,而最近这些年来做结构性研究的学者也已经接纳了这个标准。可以说,好的结构性研究在因果识别策略方面所下的功夫并不比好的简化型研究逊色。譬如前面提到的Ahlfeldt et al. (2015)利用柏林墙的起落、Wong (2013)利用新加坡的族裔配额、Bayer et al. (2007) 利用学区边界断点,都是很精彩的识别策略。


二维码

扫码加我 拉你入群

请注明:姓名-公司-职位

以便审核进群资格,未注明则拒绝

全部回复
2019-6-22 18:29:16

第三,简化型研究跟结构性研究比起来,因为计算量较小而更容易做稳健性、敏感性的检验。这是个不争的事实。自从Leamer (1983)倡导系统化的稳健性检验,实证经济学家在实践中应该说有了一些进步,现在很多微观实证研究会有专门的一节报告稳健性检验的结果。可是结构性研究在这方面还亟待提高。因为参数较多、计算繁复,很多结构性研究在挑战计算技术的极限,难以进行全面的稳健性分析,给人一个黑匣子的感觉、不知道计算结果对一些参数值有多么敏感。希望将来在计算技术继续提高的情况下,结构性研究能够进一步克服这方面的问题。
第四,因为与经济理论联系紧密、环环相扣,结构性的研究在一些学者看来更有趣。 何为有趣,当然属于主观判断。但是也无法否认,有些研究的特点确实对学者具有更大的吸引力,譬如简洁的模型、意料之外而又在情理之中的结果、巧妙的计量方法设计等等,都是学者们普遍接受的好的研究所具有的特性。结构性的研究把经济学理论和统计分析有机地结合在一起,确实是一个较好的做法。譬如McFadden用一个并不很牵强的关于随机效用分布的假设,把效用最大化、最大似然法、边际替代率等经济学和统计学概念揉成一个整体,回答人们关心的实际问题,给人一种赏心悦目的感觉。
第五,结构性的方法能让我们提出不一样的问题、回答不同的问题。抛弃了模型,就等于抛弃了这一类问题。再以Au和Henderson (2005)为例,他们问中国的城市是不是太小了。我想没有人会否认这是一个极其重要的问题,关于这个问题的讨论从来没有停息,而对这个问题的回答关乎中国城市化道路的选择。同时我想受过严格训练的学者里也不会有人否认,这个问题不依靠模型是没法解答的。我们必须要搞清最优的城市规模是什么,然后与现实做对比,才能回答这个问题。也就是说,只有做结构性的估计才能回答这一类的问题。上面提到的,量化废止户籍制度的影响,也属于这类问题 (Bosker et al., 2012)。
6. 总结
回到开篇时提到的现象,我感觉很多城市和区域经济学领域的年轻华人学者都在做不用经济学模型的研究。我们经济学家知道分工的重要性,从个人的角度来看,如果觉得写模型不是自己的比较优势,从而致力于脱离模型的实证研究,似乎也是有道理的选择。可是如果一个群体都做这样的选择,就不正常了。我希望上面的这些例子能够表明,脱离正规理论模型会影响实证研究的深度、会限制我们选题的广度,把一大堆重要的问题排除在我们的研究之外。打个比方说,模型是我们经济学者探索未知世界的重要工具之一,放弃了这个工具就如同木工只留下了锤子而扔掉了改锥,手里的工具决定了我们只能看到钉子的用途而看不到螺丝钉的用途;更糟糕的是,我们可能由于手里工具的限制,去用锤子敲打螺丝钉。一个真正的学者,必然因问题的不同而选择最合适的解决方法(合适的工具)。如果能把各类研究方法的优势结合起来,就更好了。
我们华人经济学者,特别是研究中国问题的华人经济学者,大多有一个想法,就是通过自己的研究来理解中国的高速发展。我们时常说,用我们的研究讲好“中国的故事”。在经济学说史上有颇多建树的George Stigler (1960) 有个观点,他认为经济科学的重大发展,主要是由学科内的逻辑运行机制推动的,现实世界的具体事件起的作用有限。中国的高速发展无疑是几十年来经济领域最重要的现象之一,这也是我们很多华人学者做研究的动力之一。可是按Stigler的说法,研究了身边重要的现象并不必然是重要的研究;只有在研究这个现象时推动了学科的发展,才能成为重要的贡献。换句话说,只有把“中国的故事”讲成“经济学的故事”,以中国的经验推动学科内知识的积累和方法的创新,才有可能做出有影响的学术贡献。在我看来,以模型为依托的实证研究,是从“中国的故事”里提炼经济学时不可或缺的一项工作。
二维码

扫码加我 拉你入群

请注明:姓名-公司-职位

以便审核进群资格,未注明则拒绝

2019-6-23 07:04:53
点赞!谢谢楼主分享。
二维码

扫码加我 拉你入群

请注明:姓名-公司-职位

以便审核进群资格,未注明则拒绝

2019-12-8 14:25:46
感谢楼主,看完受益匪浅!我是金融研一学生,我们导师大多也像您说的那样只重实证不重模型,所以并没有对我们进行“严格的理论训练”。因此想向您请教一下,该从哪入手接受“严格的理论训练”呢?有推荐的书籍吗?谢谢!
二维码

扫码加我 拉你入群

请注明:姓名-公司-职位

以便审核进群资格,未注明则拒绝

2020-8-25 18:55:47
杨明凡 发表于 2019-6-22 18:28
此后以Logit为基础的离散选择模型不断发展,到1995年有三位产业组织领域的学者发表了一篇极具影响的文章, ...
感谢楼主分享
二维码

扫码加我 拉你入群

请注明:姓名-公司-职位

以便审核进群资格,未注明则拒绝

2020-8-25 21:27:27
了解,谢谢提供分享!
二维码

扫码加我 拉你入群

请注明:姓名-公司-职位

以便审核进群资格,未注明则拒绝

点击查看更多内容…
相关推荐
栏目导航
热门文章
推荐文章

说点什么

分享

扫码加好友,拉您进群
各岗位、行业、专业交流群