经管之家App
让优质教育人人可得
立即打开
全部版块
我的主页
›
论坛
›
休闲区 十二区
›
灌水吧
求零和DEA解答或教程
楼主
ditangqiang3
751
1
收藏
2019-06-30
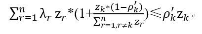
本人硕士小菜鸟,在做碳分配的小论文...作为无理工科背景的女生,理解模型+操作计算难度指数实为5颗星,求会算的各位大神救命啊...
[em11][em11]
请问这个模型中,把初始的碳排放带入求出来的效率值是初始的还是进行第一次分配之后的呢...另外下一步是要计算分配后的碳排放,并重新定义为模型中的Zr同时更新Zk,代入模型中进一步计算效率吗?
求助各位大神解答...如果能给出编程教程也是极好的,谢谢大家了!!!
[em23][em23]
附件列表
00.png
原图尺寸 4.2 KB
扫码加我 拉你入群
请注明:姓名-公司-职位
以便审核进群资格,未注明则拒绝
全部回复
沙发
皮影戏077
2021-8-22 21:02:47
这个属于非线性规划,用matlab编写比较方便。
扫码加我 拉你入群
请注明:姓名-公司-职位
以便审核进群资格,未注明则拒绝
相关推荐
谁有免费DEA软件?谢谢!
王应明--DEA英文版课件
求助,我的DEA不出结果,好心人帮忙看一下吧
DEA运行中的问题,求帮助
有关DEA解决碳排放效率问题
DEA 指标数目
DEA软件及教程整理
用DEA计算碳排放效率怎么选取指标?
dea求教
求助贴
栏目导航
灌水吧
经管类求职与招聘
计量经济学与统计软件
马克思主义经济学
经管文库(原现金交易版)
创新与战略管理
热门文章
CDA数据科学研究院发布《2026 全球数智化人 ...
ChatGPT Images 2.0震撼发布:AI不再只画画 ...
CAIE LEVEL Ⅰ考试更新说明(2026年4月)
从指标罗列到体系赋能:CDA数据分析师视角下 ...
CDA数据分析脱产就业班在2026年3月7日开班了 ...
CDA 认证考试大纲 2025 重磅更新:一二级考 ...
为什么在中美竞争中中国必然获胜?
统计学基于python课件
地缘政治和十五五规划如何重塑中国经济-摩根 ...
二次元开放世界游戏,席卷全球,新潮将至-- ...
推荐文章
五一充电,学术突围!四大AI赋能王牌课程, ...
关于学术研究和论文发表的一些建议
几种免费下载文献的方法----我的文献应助经
【必看】【本版版规,欢迎发悬赏贴求助】
【新课】26年3月|Gemini辅助论文写作与数据 ...
关于如何利用文献的若干建议
关于科研中如何学习基础知识的一些建议 (一 ...
一个自编的经济学建模小案例 --写给授课本科 ...
AI智能体赋能教学改革: 全国AI教育教学应用 ...
2025中国AIoT产业全景图谱报告-406页
说点什么
分享
微信
QQ空间
QQ
微博
扫码加好友,拉您进群
各岗位、行业、专业交流群