全部版块 我的主页
论坛 休闲区 十二区 休闲灌水
1026 4
2019-07-26
即使是没有任何统计学基础的读者朋友可能也听说过「p 值」,但是鲜有文章能够清楚解释 p 值是什么,以及 p 值在统计学中的作用。本文是 TowardDataScience 的一篇博文,作者条理清楚地解释了 p 值的相关内容,并给出了一个简单的例子,适合读者参考。

还记得我作为暑期实习生第一次在 CERN 海外实习时,大多数人都在讨论,要超过「5-sigma」阈值(这意味着 p 值为 0.0000003)才能确认发现了希格斯玻色子。


那时我对 p 值、假设检验甚至统计显著一无所知。

直到进入数据科学领域后,我终于意识到了 p 值的含义,以及在某些实验中,p 值是如何成为决策工具的一部分的。

因此,我决定在这篇文章中解释什么是 p 值以及如何在假设检验中使用 p 值。希望能帮你更好、更直观地理解 p 值。

本文共分四个部分,从假设检验到理解 p 值,以及根据 p 值指导我们的决策过程。我强烈建议你仔细阅读全文,以便详细地了解 p 值:

  • 假设检验;

  • 正态分布;

  • 什么是 p 值;

  • 统计显著性。



假设检验

640.webp (4).jpg

假设检验

在讨论 p 值的意义之前,我们先理解一下假设检验。在假设检验中,常用 p 值确定结果的统计显著性。

我们的最终目标是确定结果的统计显著性。而统计显著性建立在这 3 个简单概念之上:

  • 假设检验

  • 正态分布

  • p 值


假设检验是用来通过一组数据检验针对总体的声明(零假设)有效性的。如果零假设不成立,我们就会相信备择假设。

换句话说,我们需要提出声明(零假设),并用样本数据来检验声明是否有效。如果声明是无效的,就选择备择假设。就这么简单。

而要知道声明是否有效,就要用 p 值来衡量证据的强度,从而了解到它是否有统计显著性。如果证据支持备择假设,那就拒绝零假设并接受备择假设。后面的章节中会解释这些内容。

我们举个例子来更清晰地说明这一概念,这个例子会贯穿全文同时说明其他概念。

假设某个披萨店声称,他们的平均配送时间小于等于 30 分钟,但你认为他们的配送时间不止 30 分钟。所以你做了假设检验,对配送时间随机采样来检验这一说法:

  • 零假设——平均配送时间小于等于 30 分钟;

  • 备择假设——平均配送时间大于 30 分钟。


这里的目标是确定样本数据中的证据能更好地支持哪种假设(零假设或备择假设)。

本例中用的是单尾检验,因为我们只想知道平均配送时间是否大于 30 分钟。

因为配送时间小于等于 30 分钟都是可以接受的,因此我们忽略另一个方向的可能性。这里想要检验的是平均配送时间是否会大于 30 分钟。换句话说,我们想知道披萨店是否在某种角度上骗了我们。

假设检验的常用方法之一是 Z 检验。这里我们不讨论细节,因为我们想要先理解表面的内容,然后再深入。

正态分布

640.webp (3).jpg

平均值为 μ 标准差为 σ 的正态分布

正态分布是用来观察数据分布的概率密度函数。

正态分布有两个参数——平均值(μ)和标准差(σ)。

均值是分布的集中趋势。它决定了正态分布峰值的位置。标准差是衡量可变性的标准,它决定了均值到值的下降幅度。

正态分布通常和 68-95-99.7 规则(上图所示)相关:

  • 68% 的数据在平均值(μ)±1 个标准差(σ)内;

  • 95% 的数据在平均值(μ)±2 个标准差(σ)内;

  • 99.7% 的数据在平均值(μ)±3 个标准差(σ)内。


还记得文章开头说的发现希格斯玻色子的「5-sigma」阈值吗?在科学家证实发现希格斯玻色子之前,5-sigma 约为数据的「99.9999426696856%」。设置这么严格的阈值是为了避免潜在的错误信号。

好了。现在你可能想知道「正态分布是如何应用在假设检验中的」。

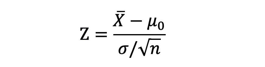
因为是用 Z 检验进行假设检验的,因此要计算 Z 分数(用于检验统计量),这是数据点到平均值的标准偏差数。在本文的例子中,每个数据点都是收集到的披萨配送时间。

640.webp (2).jpg

计算每个数据点的 Z 分数的公式。

对每个披萨配送时间点计算 Z 分数,并绘制出标准正态分布曲线时,x 轴上的单位从分钟变成了标准差单位,因为已经通过计算(变量减去平均值再除以标准差,见上述公式)将变量标准化了。

标准正态分布曲线是很有用的,因为我们可以比较测试结果和在标准差中有标准单位的「正态」总体,特别是在变量的单位不同的情况下。

640.webp (1).jpg

Z 分数的标准正态分布

Z 分数可以告诉我们整个数据相对于总体平均值的位置。

我喜欢 Will Koehrsen 的说法——Z 分数越高或越低,结果就越不可能偶然发生,结果就越有可能有意义。

但多高(低)才足以说明结果是有意义的呢?

这就是解决这个难题的最后一片拼图——p 值。根据实验开始前设定的显著水平(alpha)检验结果是否具有统计学意义。。 640.webp.jpg

步骤 5 计算检验统计量的公式。


二维码

扫码加我 拉你入群

请注明:姓名-公司-职位

以便审核进群资格,未注明则拒绝

全部回复
2019-7-26 07:52:06

什么是 P 值

与其用维基百科给出的定义来解释 p 值,不如用文中的披萨配送时间为例来解释它。

对披萨配送时间随机采样,目的是检查平均配送时间是否大于 30 分钟。如果最终的结果支持披萨店的说法(平均配送时间小于等于 30 分钟),那就接受零假设。否则,就拒绝零假设。

因此,p 值的工作就是回答这个问题:

如果我生活在披萨配送时间小于等于 30 分钟(零假设成立)的世界中,那我在真实世界中得到的证据有多令人惊讶?

p 值用数字(概率)回答了这一问题。

p 值越低,证据越令人惊讶,零假设越荒谬。

当零假设很荒谬的时候还能做什么?可以拒绝零假设并转而选择备择假设。

如果 p 值低于之前定义的显著水平(人们一般将它称为 alpha,但我将它称之为荒谬阈值——别问为什么,我只是觉得这样更容易理解),那么就可以拒绝零假设。

现在我们理解了 p 值是什么意思。接下来把 p 值用到文中的例子中。

现在已经抽样得到了一些配送时间,计算后发现平均配送时间要长 10 分钟,p 值为 0.03。

这意味着在披萨配送时间小于等于 30 分钟(零假设成立)的世界中,由于随机噪声的影响,我们有 3% 的概率会看到披萨配送时间延长了至少 10 分钟。

p 值越低,结果越有意义,因为它不太可能是由噪声引起的。

大多数人对于 p 值都有一个常见的误解:

p 值为 0.03 意味着有 3%(概率百分比)的结果是偶然决定的——这是错误的。

人们都想得到确切的答案(包括我),而这也是我在很长时间内都对 p 值的解释感到困惑的原因。

p 值不能证明任何事。这只是一种根据惊讶程度做出合理决策的基础方法。
Cassie Kozyrkov
我们是如何用 0.03 的 p 值来做出合理决策的(重点):

想象我们生活在平均配送时间小于等于 30 分钟的世界——因为我们信任披萨店(我们最初的信念)!

分析收集的配送时间样本后,p 值为 0.03,低于 0.05 的置信水平(假设在实验之前就设置好了),因此可以说结果是具有*统计显著性*的。

因为我们一直相信披萨店可以在 30 分钟内配送披萨,现在需要考虑的是这一信念是否仍然有意义,因为结果告诉我们,披萨店没能兑现承诺,而且结果是具有统计学意义的。

那该怎么办?我们先试着用各种方法使初始信念(零假设)成立。但是因为披萨店的口碑越来越差,并且经常找导致配送延迟的借口,我们自己都觉得再相信披萨店是很可笑的事情,因此,我们决定拒绝零假设。

最终,我们做出了不再从这家披萨店买披萨的合理决定。

到现在为止,你可能已经注意到了,在上面的例子中,p 值不能证明或决定任何事。

在我看来,当结果有统计学意义时,p 值可以作为挑战初始信念(零假设)的工具。在我们认为自己的信念荒谬(假设 p 值表明结果具有统计显著性)的那一刻,就放弃了自己的初始信念(拒绝零假设)并做出了更合理的决定。

统计显著性

这是最后一步,将所有内容放在一起,并检验结果是否有统计学意义。

只有 p 值是不够的,还要设定阈值(即显著水平——alpha)。为了避免偏差,实验开始之前就应该设定 alpha。如果观测的 p 值小于 alpha,那就可以得出结论——结果具有统计显著性。

经验法则一般将 alpha 设定为 0.05 或 0.01(同样,值取决于你的问题)。

如上文所述,假设在实验开始前将 alpha 设置为 0.05,得到的结果具有统计显著性,因为 p 值(0.03)小于 alpha。

为便于参考,整个实验的基本步骤如下:

陈述零假设;

陈述备择假设;

确定 alpha 值;

找到和 alpha 水平相关的 Z 分数;

根据公式计算检验统计量;

如果检验统计量的值比 alpha 水平的 Z 分数小(或 p 值小于 alpha 值),拒绝零假设。否则,接受零假设
二维码

扫码加我 拉你入群

请注明:姓名-公司-职位

以便审核进群资格,未注明则拒绝

2019-7-26 11:31:08
了解,谢谢提供分享!
二维码

扫码加我 拉你入群

请注明:姓名-公司-职位

以便审核进群资格,未注明则拒绝

2019-7-26 13:16:08
是的,谢谢发表分享!
二维码

扫码加我 拉你入群

请注明:姓名-公司-职位

以便审核进群资格,未注明则拒绝

2019-7-27 17:47:40
谢谢楼主分享。
二维码

扫码加我 拉你入群

请注明:姓名-公司-职位

以便审核进群资格,未注明则拒绝

栏目导航
热门文章
推荐文章

说点什么

分享

扫码加好友,拉您进群
各岗位、行业、专业交流群