全部版块 我的主页
论坛 经济学论坛 三区 宏观经济学
6755 0
2019-07-28
技术进步方向公式本.pdf
大小:(169.18 KB)

只需: 6 个论坛币  马上下载


技术进步的结构体现为技术进步对要素的偏向性,技术进步偏向性体现了要素相对回报的动态发展趋势,直接影响国民收入归属,对初次收入分配影响重大。总体而言,技术进步影响深远,一国技术进步的结构变动直接影响着该国产业的再投资结构,影响着该国产业层次的结构变动、发展质量高低,进而影响该国经济结构和发展方式转型进程。
技术进步方向和偏向程度变动通过改变国民经济分配环节的要素收入结构,在国民经济消费环节引致社会再生产过程中要素流向和要素投入结构发生转变,改变不同资本有机构成产业的类型分布 ,并逐步淘汰社会生产中的落后产能 ,从而优化产能结构,实现产业结构升级和经济发展方式转变。

注释:
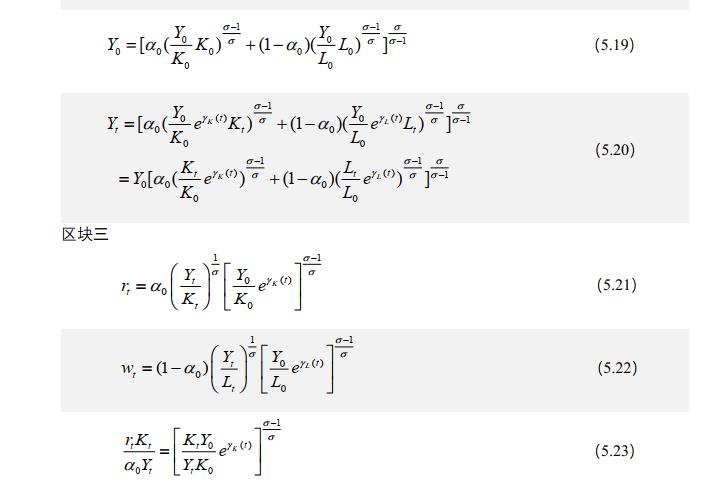
1.  Et_K,Et_L和Γt_K,Γt_L:资本要素投入效率,劳动要素投入效率;
(5.1)式表示的CES生产函数参考文献:Arrow K. J., Chenery H. B., Minhas B. S., Solow R. M. Capital-Labor Substitution and Economic Efficiency[J]. Review of Economics and Statistics,1961,43(3):225-250.
(5.3)式是我设定的CES生产函数;
2.  Yt,Kt,Lt:产出、资本存量、劳动力数量;
3.  α:分配参数;σkl:资本-劳动替代弹性;
我设定的CES生产函数中,资本与劳动要素替代弹性(Elasticity of Substitution)的含义是,一个经济体在技术水平、要素投入价格不变的情况下,技术替代率的相对变动引起的要素投入比例的相对变动,即一时期内,要素投入比例的变动百分比与技术替代率的变动百分比的比率。
4.  TRSkl:资本对劳动技术替代率;
(5.4)~(5.10)式是对替代弹性定义的推导与证明过程。
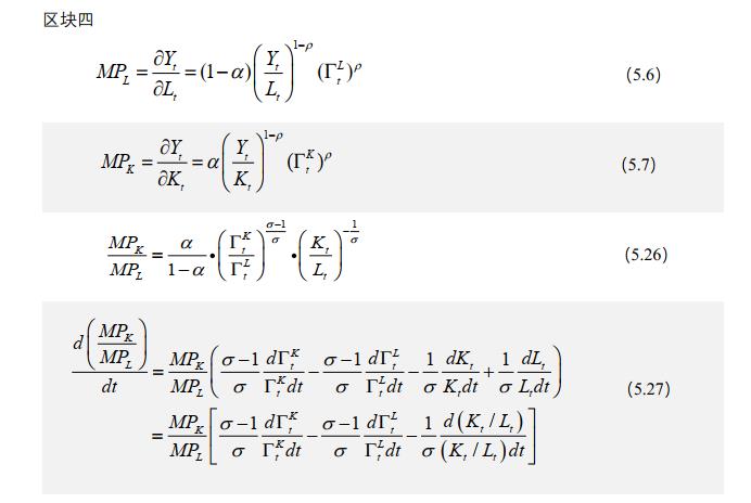
技术替代率(Technical Rate of Substitution,TRS)是指在维持一个经济体特定期间产出水平保持不变的前提下,第一种生产要素投入数量的增加引起第二种生产要素投入数量的减少,即第二种要素投入量(一般为资本)的减少与第一种要素投入量(一般为劳动)的增加的比率,记为TRSKL,表示为-ΔK/ΔL,使得该式在ΔL→0处取极限,为-dK/dL。因为当一种生产要素的投入量不断增加,每一单位的这种生产要素所能替代的另一种生产要素的数量是递减的。在这一边际技术替代率递减规律作用下,结合边际报酬递减规律,由于产出水平不变,得ΔK·MPK+ΔL·MPL=0(其中MPK、MPL为资本、劳动要素的边际产量),则TRSKL可表示为(5.5)式。用笔者设定的生产函数形式(5.3)式计算,并代入替代函数ρ=(σ-1)/σ,MPL、MPK分别表示为(5.6)式、(5.7)式,则TRSKL进一步表示为(5.8)式。
5.  MPk,MPl:资本边际产出,劳动边际产出;
6.  “0”或“t0”为下标的变量:表示基期变量;
与“0”或“t0”的式子是CES生产函数的标准化过程。
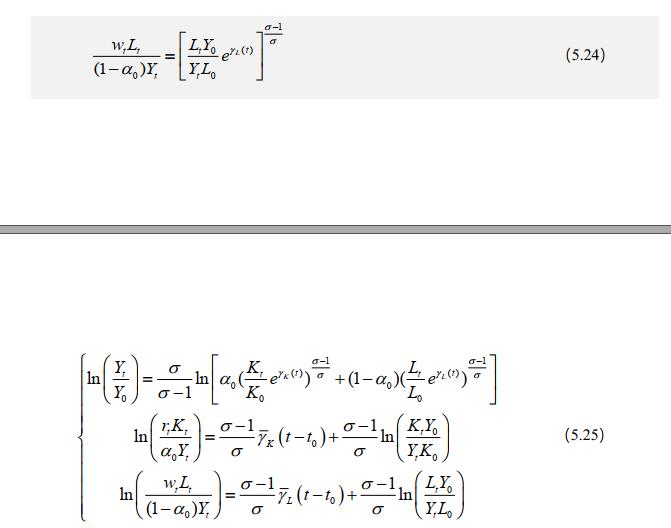
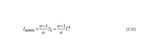
7.  rt:资本使用报酬率,wt:劳动工资率;
8.  (5.25)式:表示标准化供给面系统(Normalized Supply-side System)。参考文献:Klump R., McAdam P., Willman A. Factor Substitution and Factor-Augmenting Technical Progress in the United States: A Normalized Supply-Side System Approach[J]. Review of Economics and Statistics,2007,89(1):183-192.
9.  希克斯技术进步方向指数(Hicks’ Factor-biased Technological Change Index),记为IHICKS,放松的假定:希克斯中性技术进步:当技术进步使得劳动要素投入效率和资本要素投入效率同等增进。
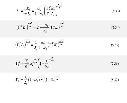
哈罗德技术进步方向指数(Harrod’s Factor-biased Technological Change Index),记为IHARROD,放松的假定:哈罗德中性技术进步:当技术进步主要使劳动要素投入效率提高。
以上指数设定参考文献:
(1)陆雪琴,章上峰. 技术进步偏向定义及其测度[J]. 数量经济技术经济研究,2013,30(08):20-34.
(2)戴天仕,徐现祥. 中国的技术进步方向[J]. 世界经济,2010,33(11):54-70.
两类总合指数除以研究期间的年限(t-t0),得到的指数分别称为:平均希克斯技术进步方向指数、平均哈罗德技术进步方向指数。实证研究中,针对经济体一段时期的变迁研究,我们往往采用平均指数。相应地,带“-A”后标的是总合希克斯/哈罗德技术进步方向指数。
10. (5.33)~(5.37)式的推导是为了计算每一年的技术进步方向指数,以便观察逐年趋势。
11.  资本-劳动替代弹性、资本要素投入效率、劳动要素投入效率这几个参数需要通过标准化供给面系统进行联立方程估计得到。
1.jpg 2.jpg 3.jpg 4.jpg 5.jpg 6.jpg 7.jpg 8.jpg 9.jpg 10.jpg 11.jpg
二维码

扫码加我 拉你入群

请注明:姓名-公司-职位

以便审核进群资格,未注明则拒绝

相关推荐
栏目导航
热门文章
推荐文章

说点什么

分享

扫码加好友,拉您进群
各岗位、行业、专业交流群