全部版块 我的主页
论坛 数据科学与人工智能 数据分析与数据科学 R语言论坛
872 2
2020-01-05
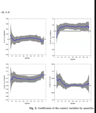
求问R语言面板分位数图要怎么画呢(类似下面这种的),我画的图太丑太粗糙了 2345截图20200105143433.png

二维码

扫码加我 拉你入群

请注明:姓名-公司-职位

以便审核进群资格,未注明则拒绝

全部回复
2020-1-5 14:37:56
我只能画出这样的图,太丑了
附件列表
2345截图20200105143350.png

原图尺寸 83.5 KB

2345截图20200105143350.png

二维码

扫码加我 拉你入群

请注明:姓名-公司-职位

以便审核进群资格,未注明则拒绝

2020-1-6 10:30:22
你要看看你具体想做什么,有什么数据。两个例子
https://ggplot2.tidyverse.org/reference/geom_smooth.html
https://ggplot2.tidyverse.org/reference/geom_ribbon.html
二维码

扫码加我 拉你入群

请注明:姓名-公司-职位

以便审核进群资格,未注明则拒绝

栏目导航
热门文章
推荐文章

说点什么

分享

扫码加好友,拉您进群
各岗位、行业、专业交流群