全部版块 我的主页
论坛 数据科学与人工智能 数据分析与数据科学 SPSS论坛
1120 0
2020-02-16
悬赏 5 个论坛币 未解决
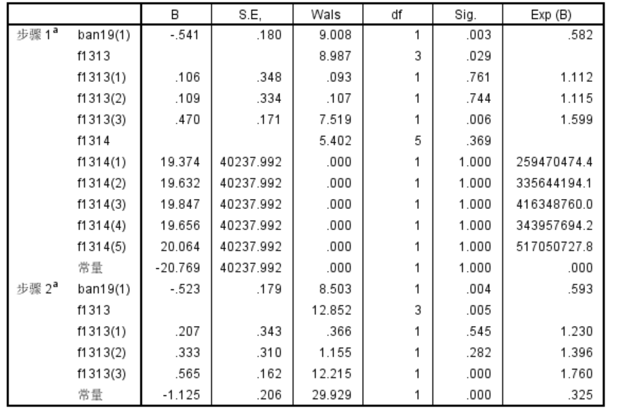
求教一下大家,我在spss里做二元logit回归时把其中一个自变量做了分类(只有0和1两个赋值,1代表同意,0代表不同意)然后我跑出来的结果是这样,ban19是我做了分类的自变量,之后得到了ban19这个变量如果同意的话相关系数为-0.523,因为我想得到正相关的结果,所以我之后取消分类又试了一次就变成了正相关,相关系数还刚好是分类情况的相反数(0.523,-0.523) 这是为什么呢,不分类得出的相关系数的统计学意义是什么呢 这也能够代表这个自变量是能够显著影响因变量的吗 统计小白虚心求教!
QQ图片20200216180017.png
QQ截图20200216180034.png
二维码

扫码加我 拉你入群

请注明:姓名-公司-职位

以便审核进群资格,未注明则拒绝

栏目导航
热门文章
推荐文章

说点什么

分享

扫码加好友,拉您进群
各岗位、行业、专业交流群