全部版块 我的主页
论坛 计量经济学与统计论坛 五区 计量经济学与统计软件 Stata专版
1459 1
2020-02-19
悬赏 50 个论坛币 未解决
stata小白约等于不会,快交毕业论文了,求求各位大神帮忙,想要按照以下方法:1.生成市场收益率market的滞后变量
2.像这样用滞后4期的market和每只股票收益率回归导出R平方序列和解释变量参数序列,从而生成最终的D1i变量和D2i变量用作之后论文的被解释变量
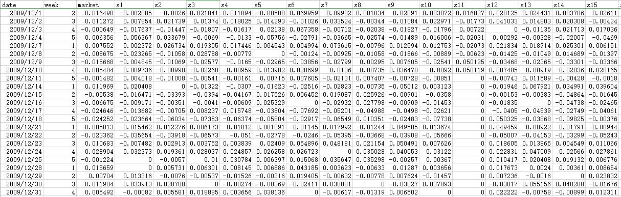
3.原始数据如下图所示,是2009-2019的交易日数据,最后的D1i变量和D2i变量是月度数据就可以了
1.JPG
数据源:
2.JPG



二维码

扫码加我 拉你入群

请注明:姓名-公司-职位

以便审核进群资格,未注明则拒绝

全部回复
2020-2-19 11:23:33
滞后变量还是比较简单,现在主要是2和3不会
二维码

扫码加我 拉你入群

请注明:姓名-公司-职位

以便审核进群资格,未注明则拒绝

相关推荐
栏目导航
热门文章
推荐文章

说点什么

分享

扫码加好友,拉您进群
各岗位、行业、专业交流群