全部版块 我的主页
论坛 提问 悬赏 求职 新闻 读书 功能一区 经管文库(原现金交易版)
2343 3
2020-02-25
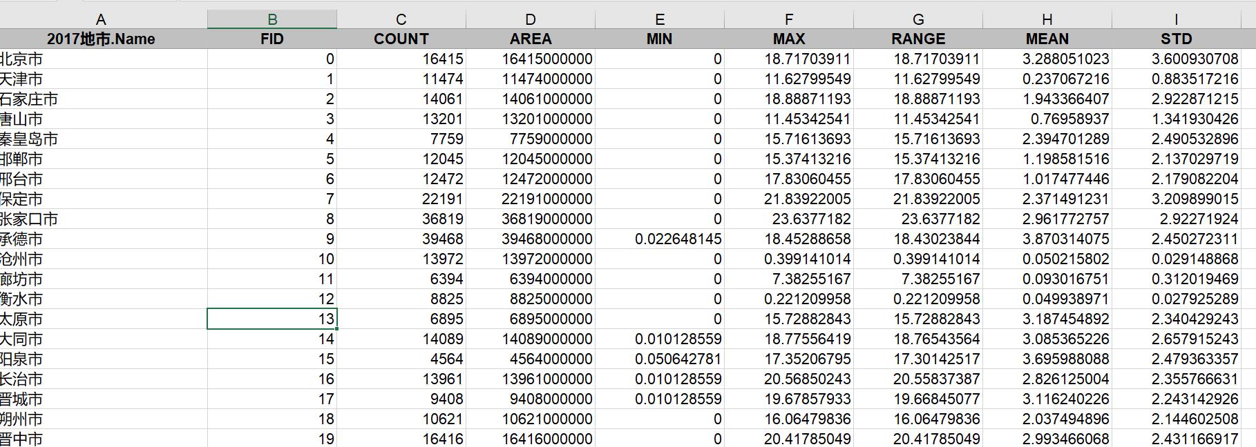
该数据是基于srtm海拔高程数据,以2017年行政划分地图提取出。为非时变数据
包含台湾在内的350个地级市坡度最大值、最小值、平均值、方差和求和数据。
现分享给大家,只收取少许辛苦钱。希望大家多多理解哈。

样图



附件列表

中国地级市平均坡度_2017.xls

大小:85 KB

只需: RMB 30 元  马上下载

二维码

扫码加我 拉你入群

请注明:姓名-公司-职位

以便审核进群资格,未注明则拒绝

全部回复
2020-10-30 09:42:31
庄宇航 发表于 2020-2-25 14:27
该数据是基于srtm海拔高程数据,以2017年行政划分地图提取出。为非时变数据
包含台湾在内的350个地级市坡度 ...
还有么 怎么买呀
二维码

扫码加我 拉你入群

请注明:姓名-公司-职位

以便审核进群资格,未注明则拒绝

2021-1-8 11:23:24
这里有各市各坡度耕地面积数据吗?
二维码

扫码加我 拉你入群

请注明:姓名-公司-职位

以便审核进群资格,未注明则拒绝

2021-4-6 23:03:00
谢谢分享
二维码

扫码加我 拉你入群

请注明:姓名-公司-职位

以便审核进群资格,未注明则拒绝

栏目导航
热门文章
推荐文章

说点什么

分享

扫码加好友,拉您进群
各岗位、行业、专业交流群