经管之家App
让优质教育人人可得
立即打开
全部版块
我的主页
›
论坛
›
提问 悬赏 求职 新闻 读书 功能一区
›
经管百科
›
爱问频道
用r语言求相关系数
楼主
哈哈哈哈耶
1022
0
收藏
2020-02-26
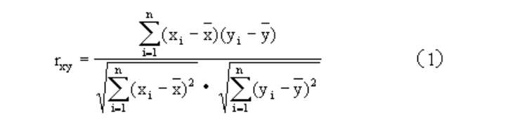
不用cor函数,自己编写一个函数(用到mean,sqrt,sum等)<br>
公式如下
扫码加我 拉你入群
请注明:姓名-公司-职位
以便审核进群资格,未注明则拒绝
相关推荐
对相关系数统计意义的检验为什么使用t检验?
R语言计算相关系数
如何用R语言计算空间相关系数
请问怎样保存相关系数的值?
R语言:Ruben(鲁宾)总体相关系数的区间估计
求一段生成相关系数的代码
求助有没有计算复杂网络度-度相关系数和基于边的度-度相关系数的R语言包?
R语言计算相关系数为什么不准确
r语言求多只股票的相关系数
基于R语言生成含有皮尔逊相关系数的多元变量
栏目导航
爱问频道
文献求助专区
休闲灌水
学术道德监督
论文版
真实世界经济学(含财经时事)
热门文章
CDA数据分析脱产就业班于2026年3月7日开班! ...
新宏观丨中美经济总量差距拉大的根源
艾瑞咨询 - 2025年中国早教行业白皮书
第一太平戴维斯 - 2026年中国房地产市场展望 ...
2025中国居民退休准备指数调研报告-清华大学 ...
Measure Theory for Analysis and Probabil ...
现代数学基础19 偏微分方程 孔德兴
科研时间70%耗在“下载-复制-粘贴”?零代码 ...
精准匹配,菁英相伴--经管之家单身俱乐部, ...
CDA数据分析师:商业数据分析实践的核心执行 ...
推荐文章
2026JG学术冬训营:从Stata初高到Python机器 ...
【必看】【本版版规,欢迎发悬赏贴求助】
26年寒假天津站|Gemini论文写作&数据分析 ...
关于如何利用文献的若干建议
关于学术研究和论文发表的一些建议
关于科研中如何学习基础知识的一些建议 (一 ...
一个自编的经济学建模小案例 --写给授课本科 ...
AI智能体赋能教学改革: 全国AI教育教学应用 ...
2025中国AIoT产业全景图谱报告-406页
关于文献求助的一些建议
说点什么
分享
微信
QQ空间
QQ
微博
扫码加好友,拉您进群
各岗位、行业、专业交流群