全部版块 我的主页
论坛 经济学论坛 三区 微观经济学 经济金融数学专区
2020-5-28 09:33:36
西南大学2020年数学分析考研真题
1.png

解:
(1)、
                    $\displaystyle \lim_{n \to \infty }\sqrt[n]{1^n+2^n+\cdots +100^n}=100.$


(2)、
                   $\displaystyle \lim_{x\to 0}\frac{\int_{0}^{x^2}\sin t^2dt}{x^6}=\lim_{x\to 0}\frac{2x\sin x^4}{6x^5}=\frac{1}{3}.$


(3)、利用积分奇偶性、对称性,有

                  $\displaystyle \int_{-\pi/2}^{\pi/2}\frac{x+x^3+\cos x}{1+\sin^2x}dx=\int_{-\pi/2}^{\pi/2}\frac{\cos x}{1+\sin^2x}dx=2\arctan(\sin x)|_0^{\pi/2}=\frac{\pi}{2}.$


二维码

扫码加我 拉你入群

请注明:姓名-公司-职位

以便审核进群资格,未注明则拒绝

2020-5-28 09:34:16
西南大学2020年数学分析考研真题
2.png


是比较基础的题,不难。(略)

二维码

扫码加我 拉你入群

请注明:姓名-公司-职位

以便审核进群资格,未注明则拒绝

2020-5-28 09:34:50
西南大学2020年数学分析考研真题
3.png


证明:$(\Rightarrow )$
                        由已知条件,有
                                  $\forall \varepsilon > 0,\exists \delta > 0,|x_0-x|< \delta ,s.t.$

                                   $|f(x)-f(x_0)|< \varepsilon .$
                        而此时,由已知可知,满足
                                   $\forall \varepsilon > 0,\exists N,n> N,s.t.$

                                   $|f(x_n)-f(x_0)|< \varepsilon .$

         $(\Leftarrow )$
                      由条件可得
                                   $\forall \varepsilon > 0,\exists N,n> N,s.t.$
                     
                                     $|f(x_n)-f(x_0)|< \varepsilon .$
                         取
                                    $x\geq x_n,$而此时显然满足
                                           $\exists \delta > 0,|x_0-x|< \delta. $
                           又
                                     $ \because f(x)\uparrow,$

                                     $\therefore |f(x)-f(x_0)| \leq |f(x_n)-f(x_0)|< \varepsilon .$(因为在左侧邻区间)

                    所以命题成立。

二维码

扫码加我 拉你入群

请注明:姓名-公司-职位

以便审核进群资格,未注明则拒绝

2020-5-28 09:35:18
西南大学2020年数学分析考研真题
4.png

证明:
                            $\displaystyle \because |f(x)|\leq |\sin x|,$

                            $\displaystyle \therefore \frac{|f(x)|}{|\sin x|}=|a_1+a_2\frac{\sin 2x}{\sin x}+\cdots +a_n\frac{\sin nx}{\sin x}|\leq 1,$

                             $\displaystyle \Rightarrow \lim_{x\to 0}\frac{|f(x)|}{|\sin x|}=|a_1+2a_2+\cdots +na_n|\leq 1.$


二维码

扫码加我 拉你入群

请注明:姓名-公司-职位

以便审核进群资格,未注明则拒绝

2020-5-28 09:37:35
西南大学2020年数学分析考研真题
5.png

证明:由已知
                                $\displaystyle \lim_{x\to -\infty }f(x)=A< \infty ,$
                 有
                               $\forall \varepsilon > 0,\exists G> 0,x< -G,s.t.$

                                $|f(x)-A|< \varepsilon ,$
                   将区间分为
                                  $(-\infty,-G]\cup [-G,a]=(-\infty,a],$

                                 $\because f(x)\in C[-G,a],$所以,在此有限闭区间内一致连续。
                       而
                                  $\forall \varepsilon > 0,\forall x_1,x_2\in(-\infty,-G],s.t.$

                                   $|f(x_1)-A|< \varepsilon ,|f(x_2)-A|< \varepsilon .$
                     故
                                   $|f(x_1)-f(x_2)|< |f(x_1)-A|+ |f(x_2)-A|< 2\varepsilon.$一致连续。

                      综合所得,命题成立。



                              
二维码

扫码加我 拉你入群

请注明:姓名-公司-职位

以便审核进群资格,未注明则拒绝

2020-5-28 09:38:34
西南大学2020年数学分析考研真题
7.png

证明:
           由已知可知,$x=0$为$g(x)$的特殊点,很显然,在$x$非零区间内,$g(x),g'(x)$连续。可以求得
                                 $\begin{align*}g'(0)&=\lim_{x\to 0}\frac{g(x)-g(0)}{x-0}=\lim_{x\to 0}\frac{\frac{f(x)}{x}-f'(0)}{x}\\\\&=\lim_{x\to 0}\frac{f(x)-xf'(0)}{x^2}=\lim_{x\to 0}\frac{f'(x)-f'(0)}{2x}\\\\&=\frac{1}{2}f''(0).\end{align*}$

             在$x\neq 0$的点,有
                                $g'(x)=\frac{xf'(x)-f(x)}{x^2},$

                 由于
                              $\begin{align*}\lim_{x\to 0}g'(x)&=\lim_{x\to 0}\frac{xf'(x)-f(x)}{x^2}=\lim_{x\to 0}\frac{f'(x)+f''(x)-f'(x)}{2x}\\\\&=\lim_{x\to 0}\frac{xf''(x)}{2x}=\frac{1}{2}f''(0)\\\\&=g'(0).\end{align*}$

                  所以,$g'(x)$在$x=0$点,连续。

                综合所知,$g'(x)$连续。

二维码

扫码加我 拉你入群

请注明:姓名-公司-职位

以便审核进群资格,未注明则拒绝

2020-5-28 09:39:01
西南大学2020年数学分析考研真题
8.png

证明
                        $\displaystyle \because \lim_{x\to 0}\frac{f(x)}{x}=0,$

                          $\displaystyle \therefore f(0)=0,f'(0)=0.$

            由泰勒公式
                           $\displaystyle f(x)=f(0)+f'(0)x+\frac{1}{2}f''(0)x^2+o(x^2)=\frac{1}{2}f''(0)x^2+o(x^2),$

                             $\displaystyle \therefore \sqrt{n}f(\frac{1}{n})=\frac{f''(0)}{2}\frac{1}{\sqrt{n^3}}+o(\frac{1}{\sqrt{n^3}}),$

                              $\displaystyle \because \sqrt{n^3}\cdot \sqrt{n}|f(\frac{1}{n})|=\frac{|f''(0)|}{2},(n \to \infty )$

                 因为级数
                                 $\displaystyle \sum \frac{1}{\sqrt{x^3}}< \infty ,$

                    因此,有
                                $\displaystyle \Rightarrow \sum \sqrt{n}|f(\frac{1}{n})|< \infty .$

类似的真题有
1.png
2.png



二维码

扫码加我 拉你入群

请注明:姓名-公司-职位

以便审核进群资格,未注明则拒绝

2020-5-28 09:41:06
西南大学2020年数学分析考研真题
6.png

证明:
1.png
2.png
QQ图片20200528220053.png


二维码

扫码加我 拉你入群

请注明:姓名-公司-职位

以便审核进群资格,未注明则拒绝

2020-5-29 07:35:13
西南大学2020年数学分析考研真题:证明题四、八为历届考研已经考过的原题。总的来说难度一般,证明题六考定理,好象也是很多学校曾经考过。
二维码

扫码加我 拉你入群

请注明:姓名-公司-职位

以便审核进群资格,未注明则拒绝

2020-5-29 17:36:09
北京邮电大学2020年考研数分试题
1.png

解:
                           $\because \sin x=x+o(x),\cos x=1-\frac{1}{2}x^2+o(x^2),,e^x=1+x+o(x).$

                           $\begin{align*}\therefore \lim_{x\to 0}\frac{1-\cos x^{\sin x}}{x^3}&=\lim_{x\to 0}\frac{1-(1-\frac{1}{2}x^2+o(x^2))^{-\frac{2}{x^2}\frac{-x^3}{2}}}{x^3}\\\\&=\lim_{x\to 0}\frac{1-e^{-\frac{x^3}{2}}}{x^3}\\\\&=\lim_{x\to 0}\frac{1-1+\frac{x^3}{2}}{x^3}\\\\&=\frac{1}{2}.\end{align*}$


二维码

扫码加我 拉你入群

请注明:姓名-公司-职位

以便审核进群资格,未注明则拒绝

2020-5-29 17:36:54
北京邮电大学2020年考研数分试题
2.png

解:拆分区间积分
                           $\displaystyle \int_{0}^{\sqrt{2\pi}}\sin (x^2)dx=\int_{0}^{\sqrt{\pi}}\sin (x^2)dx+\int_{\sqrt{\pi}}^{\sqrt{2\pi}}\sin (x^2)dx,$
               
             而
                            $\displaystyle \int_{0}^{\sqrt{\pi}}\sin (x^2)dx\geq 0,$

                            $\displaystyle \int_{\sqrt{\pi}}^{\sqrt{2\pi}}\sin (x^2)dx=\int_{\pi}^{2\pi}\frac{\sin t}{2\sqrt{t}}dt\geq \frac{1}{2\sqrt{2\pi}}\int_{\pi}^{2\pi}\sin tdt=\frac{1}{\sqrt{2\pi}}> 0.$

              因此
                            $\displaystyle \int_{0}^{\sqrt{2\pi}}\sin (x^2)dx>0.$

二维码

扫码加我 拉你入群

请注明:姓名-公司-职位

以便审核进群资格,未注明则拒绝

2020-5-29 17:44:05
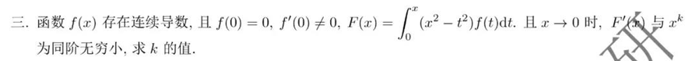
北京邮电大学2020年考研数分试题
3.png

解:
                           $\displaystyle F(x)=\int_{0}^{x}(x^2-t^2)f(t)dt=x^2\int_{0}^{x}f(t)dt-\int_{0}^{x}t^2f(t)dt,$

                            $\displaystyle F'(x)=2x\int_{0}^{x}f(t)dt+x^2f(x)-x^2f(x)=2x\int_{0}^{x}f(t)dt,$

                              $\displaystyle \because F'(x)=2x\int_{0}^{x}f(t)dt=O(x^k),$

                           $\begin{align*}\therefore \lim_{x\to 0}\frac{2x\int_{0}^{x}f(t)dt}{x^k}&=\lim_{x\to 0}\frac{2\int_{0}^{x}f(t)dt+2xf(x)}{kx^{k-1}}\\\\&=\lim_{x\to 0}\frac{2f(x)+2f(x)+2xf'(x)}{k(k-1)x^{k-2}}\\\\&=\lim_{x\to 0}\frac{2f'(x)}{k(k-1)x^{k-3}},
\end{align*}$

                           $\displaystyle \because f'(0)\neq 0,\therefore k-3=0,$

                           $\displaystyle \Rightarrow k=3.$



二维码

扫码加我 拉你入群

请注明:姓名-公司-职位

以便审核进群资格,未注明则拒绝

2020-5-29 17:44:38
北京邮电大学2020年考研数分试题
4.png

解:
                     $\displaystyle p=0,\int_{0}^{1}|\ln x|^pdx< \infty ,$
              令
                     $t=\ln x,dx=xdt=e^tdt,$
              则
                      $\displaystyle \int_{0}^{1}|\ln x|^pdx=-\int_{0}^{-\infty }|t|^pe^tdt=\int_{0}^{+\infty }t^pe^{-t}dt< \int_{0}^{+\infty }t^pdt.$

             所以
                       $\displaystyle p< -1,\int_{0}^{+\infty }t^pdt< \infty ,$
             而
                        $\displaystyle p\geq -1(p\neq 0),\int_{0}^{+\infty }t^pe^{-t}dt=\infty ,$


二维码

扫码加我 拉你入群

请注明:姓名-公司-职位

以便审核进群资格,未注明则拒绝

2020-5-29 17:45:20
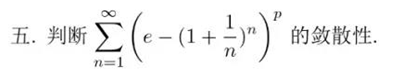
北京邮电大学2020年考研数分试题
5.png

解:
                       $\because e^x=1+x+o(x),\ln(1+x)=x+\frac{1}{2}x^2+o(x^2),$

                       $\therefore (1+\frac{1}{n})^n=e^{n\ln(1+\frac{1}{n})}=e^{n(\frac{1}{n}-\frac{1}{2n^2}+o(\frac{1}{n^2}))},$

                       $\begin{align*}\left ( e-(1+\frac{1}{n})^n \right )^p&=\left ( e-e^{1-\frac{1}{2n}+o(\frac{1}{n}))} \right )^p\\\\&=e^p\left ( 1-e^{\frac{1}{2n}+o(\frac{1}{n})} \right )^p\\\\&=e^p(\frac{1}{2^pn^{p}}+o(\frac{1}{n^{p}}))\\\\&\sim \frac{1}{n^p},\end{align*}$

              因此,当$p> 1$时,原级数收敛,当$p\leq 1$时,原级数发散。

二维码

扫码加我 拉你入群

请注明:姓名-公司-职位

以便审核进群资格,未注明则拒绝

2020-5-29 17:45:54
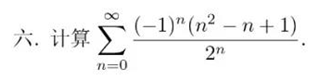
北京邮电大学2020年考研数分试题
6.png

解:
                         $\displaystyle \because \sum_{n=0}^{\infty }(-1)^n\frac{n^2-n+1}{2^n}=\sum_{n=0}^{\infty }(-1)^n\frac{n(n-1)}{2^n}+\sum_{n=0}^{\infty }(-1)^n\frac{1}{2^n},$

           利用幂级数求和
                          $\displaystyle \sum_{n=0}^{\infty }n(n-1)x^{n-2}=(x^{n})''=(\frac{1}{1-x})''=(\frac{1}{(1-x)^2})'=\frac{2}{(1-x)^3},(-1< x< 1)$
           
             令$x=-\frac{1}{2},$则
                           $\displaystyle \sum_{n=0}^{\infty }(-1)^n\frac{n(n-1)}{2^n}=\frac{1}{4}\sum_{n=0}^{\infty }(-1)^{n-2}\frac{n(n-1)}{2^{n-2}}=\frac{1}{4}\frac{2}{(1+\frac{1}{2})^3}=\frac{4}{27}.$
                而               
                            $\displaystyle \sum_{n=0}^{\infty }(-1)^n\frac{1}{2^n}=\frac{1}{1+\frac{1}{2}}=\frac{2}{3},$

                            $\displaystyle \therefore \sum_{n=0}^{\infty }(-1)^n\frac{n^2-n+1}{2^n}=\frac{4}{27}+\frac{2}{3}=\frac{22}{27}.$

注:此题考对常见幂级数的熟练程度。利用已知幂级数求和,是常用的方法。带有一定技巧。

二维码

扫码加我 拉你入群

请注明:姓名-公司-职位

以便审核进群资格,未注明则拒绝

2020-5-29 17:46:29
北京邮电大学2020年考研数分试题
7.png


证明:
                       $\displaystyle \because a_{n+1}-a_n=\frac{1}{\sqrt{n+1}}-2(\sqrt{n+1}-\sqrt{n})=\frac{\sqrt{n}-\sqrt{n+1}}{\sqrt{n+1}(\sqrt{n+1}+\sqrt{n})}< 0,$

                         $\displaystyle \therefore a_n\downarrow ,$

             又
                          $\displaystyle \because 2(\sqrt{n+1}-\sqrt{n})=\frac{2}{\sqrt{n+1}+\sqrt{n}}< \frac{2}{2\sqrt{n}}=\frac{1}{\sqrt{n}}.$

                            $\begin{align*}\therefore a_n&> 2\{(\sqrt{2}-\sqrt{1})+(\sqrt{3}-\sqrt{2})+\cdots +(\sqrt{n+1}-\sqrt{n})\}-2\sqrt{n}\\\\&=-2+2(\sqrt{n+1}-\sqrt{n})\\\\&> -2.
\end{align*}$

                           $\displaystyle \therefore \{a_n\}$级数单调,有界,收敛。


注:证明有界性的那个不等式由网友提供,在此谢过。

二维码

扫码加我 拉你入群

请注明:姓名-公司-职位

以便审核进群资格,未注明则拒绝

2020-5-29 17:47:00
北京邮电大学2020年考研数分试题
8.png

证明:
                       $\displaystyle \because \frac{a_n}{S_n^2}=\frac{S_{n}-S_{n-1}}{S_{n}^2}\leq \int_{S_{n-1}}^{S_{n}}\frac{1}{x^2}dx,$

                       $\displaystyle \therefore \sum_{n=2}^{N}\frac{a_n}{S_{n}^2}\leq \sum_{n=2}^{N}\int_{S_{n-1}}^{S_{n}}\frac{1}{x^2}dx=\int_{S_{1}}^{S_N}\frac{1}{x^2}dx\leq \int_{a_1}^{+\infty }\frac{1}{x^2}dx< \infty .$



注记:此题$S_n^2$改为$S_n^\alpha,(\alpha>1)$也成立。


二维码

扫码加我 拉你入群

请注明:姓名-公司-职位

以便审核进群资格,未注明则拒绝

2020-5-29 17:47:32
北京邮电大学2020年考研数分试题
9.png

证明:
                  由已知,有
                                      $n \to \infty ,e^{-n}\to 0$

                                      $f_n(x)=e^n(f(x-e^{-n})-f(x))=e^n\cdot f'(\xi )e^{-n}=f'(\xi),\xi \in(x-e^{-n},x)$

                                      $\forall \varepsilon > 0,\exists N,\exists \delta > 0,n> N,|e^{-n}|< \delta ,s.t.$

                                       $|f_n(x)-f'(x)|=|f'(\xi)-f'(x)|< \varepsilon ,$
                     其中理由
                                      $e^{-n}\to 0,\xi\to x,f'(x)\in C(-\infty ,+\infty ),$
                     

二维码

扫码加我 拉你入群

请注明:姓名-公司-职位

以便审核进群资格,未注明则拒绝

2020-5-29 17:48:08
北京邮电大学2020年考研数分试题
10.png


基础题,先求偏导,再代入原方程,消去一阶偏导数项,即可。

二维码

扫码加我 拉你入群

请注明:姓名-公司-职位

以便审核进群资格,未注明则拒绝

2020-5-29 17:56:34
北京邮电大学2020年考研数分试题
1.png

题目错了“已知”应改为“求证

证明:
                设
                                     $A>0,\varepsilon > 0,I=(0,+\infty)$

                                     $\because |\int_{\varepsilon }^{A}(1-e^{-xy})\cos ydy|\leq |\int_{\varepsilon }^{A}\cos ydy|\leq 2,$
                  
                        即对于$x\in I$一致有界。又
                                       $\because \frac{1}{y}\to 0,(y\to +\infty)$,对于$x$一致趋于零。

                        由Dirichlet判别法知
                                             $F(x)\in C(0,+\infty).$

                          对于$x=0$点,
                                              $\begin{align*}\because \lim_{x\to 0^+}F(x)&=\lim_{\varepsilon \to 0}\lim_{x\to 0^+}\int_{\varepsilon }^{+\infty }\frac{1}{y}(1-e^{-xy})\cos ydy\\\\&=\lim_{\varepsilon \to 0}\int_{\varepsilon }^{+\infty }\lim_{x\to 0^+}\frac{1}{y}(1-e^{-xy})\cos ydy\\\\&=\int_{0}^{+\infty }\frac{1}{y}\cos ydy\\\\&=F(0).
\end{align*}$
                         $F(x)$  也连续。综上所知

                                   $\therefore F(y)\in C[0,+\infty).$


二维码

扫码加我 拉你入群

请注明:姓名-公司-职位

以便审核进群资格,未注明则拒绝

2020-5-29 17:57:19
北京邮电大学2020年考研数分试题
2.png

证明:
                 由已知,有
                                 $f(x+p)=f(x),\int_{(n-1)p}^{np}f(x)dx=\int_{0}^{p}f(x)dx,x=np,(n \to +\infty ,x\to+\infty )$

                                  $\begin{align*}\lim_{x\to+\infty }\frac{1}{x}\int_{0}^{x}f(x)dx&=\lim_{n \to +\infty }\frac{1}{np}\sum_{k=1}^{n}\int_{(n-1)p}^{np}f(x)dx\\\\&=\lim_{n \to +\infty }\frac{1}{np}\cdot n \int_{0}^{p}f(x)dx\\\\&=\frac{1}{p}\int_{0}^{p}f(x)dx.\end{align*}$




二维码

扫码加我 拉你入群

请注明:姓名-公司-职位

以便审核进群资格,未注明则拒绝

2020-5-29 17:57:56
北京邮电大学2020年考研数分试题
3.png

证明:
                    设
                                  $F(x)=e^{-x}|f(x)|,$
                      则有
                                   $F(0)=0,F(x)\geq 0,$

                                   $\because F'(x)=e^{-x}(|f'(x)|-|f(x)|)\leq 0,$(由已知:$|f'(x)|\leq |f(x)|$ )

                                    $\therefore F(x)\downarrow ,$

                        由此知
                                     $F(x)\leq F(0)=0,$

                        从而有
                                    $0\leq F(x)=e^{-x}|f(x)|=0,\Rightarrow f(x)=0.$

注记:此题的原型题为
QQ图片20200531101240.png
只是作了一点点改动。


二维码

扫码加我 拉你入群

请注明:姓名-公司-职位

以便审核进群资格,未注明则拒绝

2020-5-29 17:58:29
北京邮电大学2020年考研数分试题
4.png

证明
               设$\overrightarrow{n}$为曲线的法线方向,$\overrightarrow{t}$为曲线的切线方向。则有

                                    $\displaystyle (t,x)+(t,y)=\pi,(t,y)=(n,x),$  

                     于是,
                                   $\displaystyle \cos(n,x)ds=\cos(t,y)ds=dy,\cos(n,y)ds=-\cos(t,x)ds=-dx.$

                       而
                                    $\displaystyle \oint v\frac{\partial u}{\partial n}ds=\oint v(u_x\cos(n,x)+u_y\cos(n,y))ds=\oint vu_xdy-vu_ydx,$

                       应用格林公式,有
                                     $\displaystyle \oint vu_xdy-vu_ydx=\iint (v_xu_x+vu_{xx}+v_yu_y+vu_{yy})d\sigma ,$

                       因此有
                                      $\displaystyle \therefore -\iint (v_xu_x+v_yu_y)d\sigma +\oint v\frac{\partial u}{\partial n}ds=\iint v(u_{xx}+u_{yy})d\sigma .$


注记:此题难度不大,考概念。如果对法向量与切向量的关系没有掌握,就证明不了。






               
二维码

扫码加我 拉你入群

请注明:姓名-公司-职位

以便审核进群资格,未注明则拒绝

2020-5-29 17:59:00
北京邮电大学2020年考研数分试题
5.png

证明:
        (1)、当$x< y$时,

                                   $\because ky-f(y)-(kx-f(x))=k(y-x)-(f(y)-f(x))\geq k(y-x)-k(y-x)=0,$

                                    $\therefore kx-f(x)\uparrow .$

          (2)、
                                    $\because x_{n+1}=(x_{n+1}-x_n)+(x_n-x_{n-1})+\cdots +(x_2-x_1)+x_1,$

                        所以,级数$\{x_{n+1}\}$与级数$x_1+\sum (x_{n+1}-x_n)$等价。而

                                    $\because |x_{n+1}-x_n|=|f(x_n)-f(x_{n-1})|\leq k|x_n-x_{n-1}|\leq \cdots \leq k^{n-1}|x_2-x_1|,$
                        
                         可知,级数$x_1+\sum (x_{n+1}-x_n)$绝对收敛(李普希兹条件)。再由已知条件

                                         $\because |f(x)-f(y)|\leq k|x-y|,(0< k< 1)$

                                         $\therefore f(x)\in C(-\infty ,+\infty )$

                                       $\displaystyle \Rightarrow x_0=\lim_{n \to \infty }x_{n+1}=\lim_{n \to \infty }f(x_n)=f(x_0).$



                              
二维码

扫码加我 拉你入群

请注明:姓名-公司-职位

以便审核进群资格,未注明则拒绝

2020-5-31 16:32:15
北京邮电大学2020年考研数分试题向来以题量大而著名。虽说每个题的难度并不十分大,但是还是需要有相当的技巧性。考查的面也比较广。要得高分不易。

二维码

扫码加我 拉你入群

请注明:姓名-公司-职位

以便审核进群资格,未注明则拒绝

2020-5-31 19:33:00
多元函数可积的条件(兼谈北京大学一个考研试题):(转载)
1.png
2.png
3.png
4.png
5.png
6.png
7.png

二维码

扫码加我 拉你入群

请注明:姓名-公司-职位

以便审核进群资格,未注明则拒绝

2020-6-2 08:40:40
安徽大学2020年数学分析考研真题
1.png


                           $\because x_{n+1}=1-\sqrt{1-x_n},$

                           $\therefore 0\leq x_{n+1}\leq 1,$

              由已知,有
                             $(1-x_{n+1})^2=1-x_n,$

                             $1-2x_{n+1}+x^2_{n+1}=1-x_n,$

                     由此得到
                             $\displaystyle \frac{x_{n+1}}{x_n}=\frac{1}{2-x_{n+1}}\leq 1,\Rightarrow x_{n+1}\leq x_n.$

                  单调有界数列,收敛。设
                              $\displaystyle \lim_{n \to \infty }x_n=l,$

                   极限为
                                $\displaystyle \Rightarrow l=1.$

                    而
                                 $\displaystyle \lim_{n \to \infty }\frac{x_{n+1}}{x_n}=\lim_{n \to \infty }\frac{1}{2-x_{n+1}}=1.$

二维码

扫码加我 拉你入群

请注明:姓名-公司-职位

以便审核进群资格,未注明则拒绝

2020-6-2 08:41:12
安徽大学2020年数学分析考研真题
2.png


   (1)、      
                                  $\begin{align*} \lim_{x\to 0}(\cos\sqrt{x})^{\frac{1}{x}}&=\lim_{x\to 0}e^{\frac{1}{x}\ln\cos\sqrt{x}}\\\\&=\lim_{x\to 0}e^{\frac{-\sin\sqrt{x}}{\sqrt{x}\cos\sqrt{x}}}\\\\&=e^{-1}.
\end{align*}$

    (2)、
                                    $\displaystyle  \lim_{x\to 0}\frac{e^x-\cos 2x-x}{\sqrt{1+4x}-2\ln(1+x)-1}=\lim_{x\to 0}\frac{1+x+\frac{1}{2}x^2-(1-\frac{1}{2}(2x)^2)-x}{1+\frac{1}{2}(4x)-\frac{1}{8}(4x)^2+(2x-x^2)-1}=-\frac{5}{6}.$


二维码

扫码加我 拉你入群

请注明:姓名-公司-职位

以便审核进群资格,未注明则拒绝

2020-6-2 08:41:40
安徽大学2020年数学分析考研真题
3.png

证明:
        (1)、由已知在$(a,b)$内$f(x)$一致连续,所以有

                                 $\forall \varepsilon_1> 0,\forall x_1,x_2\in(a,b),\exists \delta > 0,|x_1-x_2|< \delta ,s.t.$

                                 $|f(x_1)-f(x_2)|< \varepsilon _1,$

                       又因为$c< f(x_1),f(x_2)< d,$则由$g(x)$的一致连续性,可知取$\delta_1=\varepsilon _1$时,有

                                   $\forall \varepsilon > 0,\exists \delta_1,|f(x_1)-f(x_2)|<\delta_1,s.t.$

                                    $|g(f(x_1))-g(f(x_2))|< \varepsilon .$

                     而此时有
                                   $|x_1-x_2|< \delta $.

                      此即表明$g(f(x))$一致收敛。

         (2)、
                                   $\varepsilon_0=1,x_1=\sqrt{n\pi+\frac{\pi}{2}},x_2=\sqrt{n\pi},\exists N,n> N,\exists \delta > 0,$

                                   $|x_1-x_2|=|\frac{\pi/2}{\sqrt{n\pi+\pi/2}+\sqrt{n\pi}}|< \delta ,$

                       而此时
                                   $|f(x_1)-f(x_2)|=|\cos x^2_1-\cos x^2_2|=1= \varepsilon_0> 0 ,$

                        因 此,函数不一致连续。





                                
二维码

扫码加我 拉你入群

请注明:姓名-公司-职位

以便审核进群资格,未注明则拒绝

2020-6-2 08:42:11
安徽大学2020年数学分析考研真题
4.png


                             $\displaystyle s(x)=\int_{0}^{x}|\sin 2t|dt,$

                             $\displaystyle s(n\pi)=\int_{0}^{n\pi}|\sin 2t|dt=\sum_{k=0}^{n}\int_{\frac{k\pi}{2}}^{\frac{(k+1)\pi}{2}}|\sin2t|dt,$
                  又
                             $\displaystyle \because \int_{\frac{k\pi}{2}}^{\frac{(k+1)\pi}{2}}|\sin2t|dt=\int_{0}^{\pi}\sin xdx=2,$

                             $\displaystyle \therefore s(n\pi)=\int_{0}^{n\pi}|\sin 2t|dt=n\int_{0}^{\pi}\sin xdx=2n.$

                 而
                             $\displaystyle \lim_{x \to +\infty }\frac{s(x)}{x}=\lim_{n \to +\infty }\frac{2n}{n\pi}=\frac{2}{\pi}.$


二维码

扫码加我 拉你入群

请注明:姓名-公司-职位

以便审核进群资格,未注明则拒绝

栏目导航
热门文章
推荐文章

说点什么

分享

扫码加好友,拉您进群
各岗位、行业、专业交流群