全部版块 我的主页
论坛 经济学论坛 三区 微观经济学 经济金融数学专区
2020-7-27 10:39:31
中国矿业大学2020年数学分析考研试题
ky4.png

证明
              令:
                        $\displaystyle F(x)= (\int_{0}^{x}f(t)dt)^2,G(x)= \int_{0}^{x}f^3(t)dt,$

             利用柯西中值定理(2次)

                          $\begin{align*}\frac{(\int_{0}^{x}f(t)dt)^2}{\int_{0}^{x}f^3(t)dt}&=\frac{F(1)-F(0)}{G(1)-G(0)}\\\\&=\frac{(\int_{0}^{1}f(t)dt)^2}{\int_{0}^{1}f^3(t)dt}\\\\&=\frac{2f(\xi)\int_{0}^{\xi}f(t)dt}{f^3(\xi)} \\\\&\frac{2\int_{0}^{\xi}f(t)dt-\int_{0}^{0}f(t)dt}{f^2(\xi)-f^2(0)}\\\\&=\frac{2f(\eta)}{2f(\eta)f'(\eta)}\\\\&=\frac{1}{f'(\eta)}> 1.\end{align*}$

               由此得
                           $\displaystyle (\int_{0}^{x}f(t)dt)^2> \int_{0}^{x}f^3(t)dt,$

              令$x=1$,即得命题结论。



二维码

扫码加我 拉你入群

请注明:姓名-公司-职位

以便审核进群资格,未注明则拒绝

2020-7-27 10:39:57
中国矿业大学2020年数学分析考研试题
ky5.png

感觉这道是错的?



QQ图片20200803211710.png
二维码

扫码加我 拉你入群

请注明:姓名-公司-职位

以便审核进群资格,未注明则拒绝

2020-7-27 10:40:30
中国矿业大学2020年数学分析考研试题
ky6.png

证明:
                因为当$x=\frac{1}{n}$时,$f_n(x)=1,(n\to+\infty)$不趋于$0$.因此,$f_n(x)$不一致收敛。



二维码

扫码加我 拉你入群

请注明:姓名-公司-职位

以便审核进群资格,未注明则拒绝

2020-7-27 10:40:54
中国矿业大学2020年数学分析考研试题
ky7.png

解:
             将积分区间分为:$D=D_1+D_2,$

                                        $D_1:0\leq x\leq\frac{1}{4y}, 0\leq y\leq 1,$

                                        $D_2:\frac{1}{4y}\leq x\leq 1,0\leq y\leq 1.$

                    则:
                                         $I=\iint_D|xy-\frac{1}{4}|dxdy=\iint_{D_1}+\iint_{D_2}=\int_{0}^{1}dy\int_{0}^{\frac{1}{4y}}(-xy+\frac{1}{4})dx+\int_{0}^{1}dy\int_{\frac{1}{4y}}^{1}(xy-\frac{1}{4})dx.$

                       而其中:
                                         $\int_{0}^{1}dy\int_{0}^{\frac{1}{4y}}(-xy+\frac{1}{4})dx=\int_{0}^{1}dy(-\frac{1}{2}x^2y+\frac{1}{4}x)|_0^{\frac{1}{4y}}=\int_{0}^{1}\frac{1}{32y}dy,$

                                         $\begin{align*}\int_{0}^{1}dy\int_{\frac{1}{4y}}^{1}(xy-\frac{1}{4})dx&=\int_{0}^{1}dy(\frac{1}{2}x^2y-\frac{1}{4}x)|_{\frac{1}{4y}}^{1}\\\\&=\int_{0}^{1}(\frac{1}{2}y-\frac{1}{4})dy-\int_{0}^{1}\frac{1}{32y}dy\\\\&=\frac{1}{4}-\int_{0}^{1}\frac{1}{32y}dy,\end{align*}$

                                         $\therefore I=\frac{1}{4}.$

上述解答有误。下面是正确答案
1.png

二维码

扫码加我 拉你入群

请注明:姓名-公司-职位

以便审核进群资格,未注明则拒绝

2020-7-27 10:41:50
中国矿业大学2020年数学分析考研试题
ky8.png
解:
                                 $\because u(x,2x)=x,$

            对$x$求偏导
                                   $u_x+2u_y=1,$
         
             再 对$x,y$分别求偏导
                                 $u_{xx}+2u_{xy}+2u_{yx}+4u_{yy}=0---------(1)$

                                  $u_{xx}+2u_{xy}=0---------------(2)$

                     又
                                   $\because u_x(x,2x)=x^2,$

               对$x$求偏导
                                   $u_{xx}+2u_{xy}=2x--------------(3)$

                由已知
                                   $\because u_{xx}=u_{yy},$

              由上面$(1),(2),(3)$三个方程,解得

                                     $u_{xy}=\frac{4}{3}x,$

                                     $u_{xx}=u_{yy}=-\frac{2}{3}x.$



二维码

扫码加我 拉你入群

请注明:姓名-公司-职位

以便审核进群资格,未注明则拒绝

2020-7-27 10:42:15
中国矿业大学2020年数学分析考研试题
ky9.png

区间夽定理:
1.png
2.png

聚点定理:
有界无穷点集  至少有一个聚点(极限点) 。

用区间夽定理证明聚点定理,比较容易。只要将有界无穷点集看成是一个实数有界闭区间。然后二分区间,则到少有一部分区间有无穷多点,再将此区间一分为二,再取无穷多点的那个区间,再一分为二,如此方法,一直进行下去,当无限分划下去,最后必有一个点,属于所有区间,这个点即是极限点。





二维码

扫码加我 拉你入群

请注明:姓名-公司-职位

以便审核进群资格,未注明则拒绝

2020-7-27 10:42:45
中国矿业大学2020年数学分析考研试题
ky10.png

解,先添加一个平面:
                                 $S':z=2,(x^2+y^2\leq 4)$

           方向向上,使$S+S'$成一闭合曲面。利用高斯公式,有
                                   $\begin{align*}I&=\iint_S(z^2+x)dydz-zdxdy\\\\&=\iint_{S+S'}-\iint_{S'}\\\\&=\iiint_\Omega 0dV-\iint_{S'}(z^2+x)dydz-zdxdy\\\\&=\iint_{S'}zdxdy\\\\&=2\iint_{D'}dxdy=8\pi.\end{align*}$




二维码

扫码加我 拉你入群

请注明:姓名-公司-职位

以便审核进群资格,未注明则拒绝

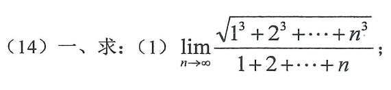
2020-8-1 00:57:42
安徽师范大学2020年601数学分析真题
1.png

解:
                    $\displaystyle \because 1^3+2^3+\cdots +n^3=(\frac{n(n+1)}{2})^2,$

                                 $\displaystyle 1+2+\cdots +n=\frac{n(n+1)}{2},$

                     $\displaystyle \therefore \lim_{n \to \infty }\frac{\sqrt[2]{1^3+2^3+\cdots +n^3}}{1+2+\cdots +n}=\lim_{n \to \infty }\frac{\frac{n(n+1)}{2}}{\frac{n(n+1)}{2}}=1.$


二维码

扫码加我 拉你入群

请注明:姓名-公司-职位

以便审核进群资格,未注明则拒绝

2020-8-1 00:58:20
安徽师范大学2020年601数学分析真题
2.png

解:
                  利用已知的高阶导数公式,并由Leibniz求导公式

                            $\displaystyle (e^{ax})^{(n)}=a^ne^{ax},$

                            $\displaystyle \sin^{(n)}(ax+b)=a^n\sin(ax+b+\frac{n\pi}{2}),$

                            $\displaystyle (uv)^{(n)}=\sum_{k=0}^{n}C_n^ku^{(k)}v^{(n-k)},$

                            $\begin{align*}\therefore (e^{2019x}\sin(2018x+2017))^{(2020)}&=e^{2019x}\sin(2018x+2017)[2019^{2020}\\\\&+2020\cdot 2019^{2019}\cdot 2018-\frac{2020\cdot 2019^{2018}\cdot 2018^2}{2!}+\cdots +2018^{2020}].\end{align*}$


二维码

扫码加我 拉你入群

请注明:姓名-公司-职位

以便审核进群资格,未注明则拒绝

2020-8-1 00:58:53
安徽师范大学2020年601数学分析真题
3.png

解:
                      $\because x_n=(\cos \frac{n\pi}{4})^n,$

                      $\therefore \inf\{x_n\} =-1,\sup\{x_n\}=1.$

                      $\therefore \underset{n \to \infty }{\underline{\lim}}x_n=-1,$

                      $\underset{n \to \infty }{\overline{\lim}}x_n=1.$

二维码

扫码加我 拉你入群

请注明:姓名-公司-职位

以便审核进群资格,未注明则拒绝

2020-8-1 00:59:33
安徽师范大学2020年601数学分析真题
4.png


                          $\displaystyle \because \frac{1}{n}\leq a_n\leq \frac{n-1}{n},$

                          $\displaystyle \therefore \lim_{n \to \infty }a_n=0,\lim_{n \to \infty }a_n=1.$

                 因此,聚点为:$0,1$。

二维码

扫码加我 拉你入群

请注明:姓名-公司-职位

以便审核进群资格,未注明则拒绝

2020-8-1 01:00:15
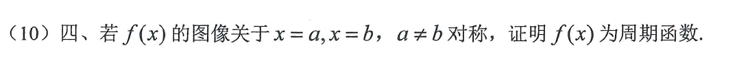
安徽师范大学2020年601数学分析真题
5.png

证明:
                    不妨设$a<b$,任取一点$a<x<b$,则由对称性可知有
                                 
                                    $f(x)=f(x-2(x-a))=f(x+2(b-x))$

                       显然,当$x$取定时,$(x-a),(b-x)$都是固定的。由于$x$的任意性,所以$f(x)$是周期函数。


二维码

扫码加我 拉你入群

请注明:姓名-公司-职位

以便审核进群资格,未注明则拒绝

2020-8-1 01:00:56
安徽师范大学2020年601数学分析真题
6.png

解:
                       $\displaystyle \because 2020^x=e^{x\ln2020}=1+x\ln2020,$

                               $\displaystyle x^{2020}=e^{2020\ln x}=1+2020\ln x,$

                        $\begin{align*}\therefore \lim_{x\to 2020}\frac{2020^x-x^{2020}}{x-2020}&=\lim_{x\to 2020}\frac{1+x\ln2020-1-2020\ln x}{x-2020}\\\\&=\lim_{x\to 2020}\frac{\ln2020-2020/x}{1}\\\\&=\ln2020-1.\end{align*}$

二维码

扫码加我 拉你入群

请注明:姓名-公司-职位

以便审核进群资格,未注明则拒绝

2020-8-1 01:01:36
安徽师范大学2020年601数学分析真题
7.png

证明:
                              $\displaystyle \forall \varepsilon > 0,x_1,x_2\in (0,1],x_1> x_2,\exists \delta =\frac{x^2_2}{A}\varepsilon > 0,(A=\max \{|\sin\frac{1}{x_1}|,|\sin\frac{1}{x_2}|\}),$

                              $\displaystyle |x_1-x_2|< \delta ,s.t.$

                              $\begin{align*}|f(x_1)-f(x_2)|&=|\frac{1}{x_1}\sin\frac{1}{x_1}-\frac{1}{x_2}\sin\frac{1}{x_2}|\\\\&\leq A|\frac{x_1-x_2}{x_1x_2}|\leq \frac{A}{x_2^2}|x_1-x_2|\\\\&< \frac{A}{x_2^2}\cdot \delta =\varepsilon .\end{align*}$

                   因此,$f(x)$一致连续。

二维码

扫码加我 拉你入群

请注明:姓名-公司-职位

以便审核进群资格,未注明则拒绝

2020-8-1 01:15:07
安徽师范大学2020年601数学分析真题
1.png

解:

                           $\begin{align*}I&=\int \frac{\sin x}{2\sin x+\cos x}dx=\int \frac{\tan x}{2\tan x+1}dx\\\\&=\int \frac{t}{2t+1}\cdot (t^2+1)dt=\frac{1}{2}\int  (1-\frac{1}{2t+1}) (t^2+1)dt\\\\&=\frac{1}{6}t^3+\frac{1}{2}t-\frac{1}{2}\int \frac{t^2+1}{2t+1}dt\\\\&=\frac{1}{6}t^3+\frac{1}{2}t-\frac{1}{8}\int \frac{(2t)^2+1}{2t+1}dt\\\\&=\frac{1}{6}t^3+\frac{1}{2}t-\frac{1}{8}t^2+\frac{1}{8}t-\frac{1}{4}\int \frac{1}{2t+1}dt\\\\&=\frac{1}{6}t^3-\frac{1}{8}t^2+\frac{5}{8}t-\frac{1}{8}\ln (2t+1)+C\\\\&=\frac{1}{6}\tan^3x-\frac{1}{8}\tan^2x+\frac{5}{8}\tan x-\frac{1}{8}\ln (2\tan x+1)+C.\end{align*}$

二维码

扫码加我 拉你入群

请注明:姓名-公司-职位

以便审核进群资格,未注明则拒绝

2020-8-1 01:15:39
安徽师范大学2020年601数学分析真题
2.png

解:
                              $\displaystyle \because e^x=\sum_{n=0}^{\infty }\frac{1}{n!}x^n,$

                              $\displaystyle \therefore \sum_{n=0}^{\infty }\frac{1}{n!}\sum_{n=0}^{\infty }\frac{(-1)^n}{n!}=\sum_{n=0}^{\infty }\frac{1}{n!}e^{-1}=\frac{1}{e}\cdot e=1.$

二维码

扫码加我 拉你入群

请注明:姓名-公司-职位

以便审核进群资格,未注明则拒绝

2020-8-1 01:17:01
安徽师范大学2020年601数学分析真题

二维码

扫码加我 拉你入群

请注明:姓名-公司-职位

以便审核进群资格,未注明则拒绝

2020-8-1 01:18:00
安徽师范大学2020年601数学分析真题
3.png

解:
               令
                                  $\displaystyle F(x,y,z)=xyz-1=0,$

                在$(x_0,y_0,z_0)$点的法向量为:
                                 $\displaystyle (y_0z_0,x_0z_0,x_0y_0),$

                而在该点的切平面为:
                                 $\displaystyle (x-y_0z_0)+(y-x_0z_0)+(z-x_0y_0)=0.$

                切平面在坐标轴上的交点为:
                                 $\displaystyle (y_0z_0+x_0z_0+x_0y_0,0,0),(0,y_0z_0+x_0z_0+x_0y_0,0),(0,0,y_0z_0+x_0z_0+x_0y_0),$

                   从而锥体的体积为:
                                 $\displaystyle \therefore V=\frac{1}{6}(y_0z_0+x_0z_0+x_0y_0)^3.$

二维码

扫码加我 拉你入群

请注明:姓名-公司-职位

以便审核进群资格,未注明则拒绝

2020-8-1 01:20:49
安徽师范大学2020年601数学分析真题
4.png

1.png
二维码

扫码加我 拉你入群

请注明:姓名-公司-职位

以便审核进群资格,未注明则拒绝

2020-8-1 01:21:27
安徽师范大学2020年601数学分析真题
5.png

解:
         可以利用格林公式计算

                                          $\begin{align*}I&=\oint_{x^2+y^2=1}xy^2dy-yx^2dx\\\\&=\iint_D(y^2+x^2)dxdy\\\\&=\int_{0}^{2\pi}d\theta \int_{0}^{1}r^3dr\\\\&=\frac{\pi}{2}.\end{align*}$

二维码

扫码加我 拉你入群

请注明:姓名-公司-职位

以便审核进群资格,未注明则拒绝

2020-8-2 17:03:30
上海交通大学2020年数学分析考研试题
1.png

解:
       (1)、错。如:
                                 $\displaystyle a_n=\frac{1}{2^n}.$

                $\{a_n\}$显然收敛。
                                 $\displaystyle \lim_{n \to \infty }a_n=0,$

               但,
                                 $\displaystyle \lim_{n \to \infty }\frac{a_{n+1}}{a_n}=\frac{1}{2}.$

       (2)、对。

                      因为。函数$f(x)$在某点$x_0$二阶可导,则在在该点一阶可导。由此可知在该点$f(x)$连续。

        (3)、对。
                      由Lagrange中值定理
                                   $\exists \eta \in[a,b],s.t.f(b)-f(a)=f'(\eta )(b-a),$

                                    $\because g(a)\leq \eta \leq g(b),$

                      又,$g(x)$为连续函数,所以由介值定理知

                                     $\exists \xi ,s.t.g(\xi)=\eta .$

                       即有
                                     $f(b)-f(a)=f'(g(\xi))(b-a).$

二维码

扫码加我 拉你入群

请注明:姓名-公司-职位

以便审核进群资格,未注明则拒绝

2020-8-2 17:04:01
上海交通大学2020年数学分析考研试题
2.png

解:
       (4)、错。

                       如:
                                     $a_n=b_n=\frac{(-1)^n}{\sqrt{n}},$

                        显然
                                     $\sum a_n=\sum b_n< \infty ,$

                          而
                                     $\sum (a_n+b_n)^2=\sum \frac{4}{n}=\infty .$

           (5)、对。
                          可令
                                       $(x_1,y),(x_2,y)\in D,$

                          由于$D$为凸区域,由Lagrange中值定理

                                       $f(x_2,y)-f(x_1,y)=f'(\xi,y)(x_2-x_1)=0,$

                                        $\Rightarrow f(x_2,y)=f(x_1,y).$


注:上海交通大学的数分考研题,比较喜欢出这样的判断题。其实是非题比较难。可参照:《数学分析试题分析与解答》上海交通大学数学系组编,2015。


二维码

扫码加我 拉你入群

请注明:姓名-公司-职位

以便审核进群资格,未注明则拒绝

2020-8-2 18:25:07
上海交通大学2020年数学分析考研试题
3.png

解:
              $\displaystyle \lim_{x\to 0}\frac{\cos x-e^{-\frac{x^2}{2}}}{\ln(\sin^4x+1)}=\lim_{x\to 0}\frac{1-\frac{1}{2}x^2+\frac{1}{4!}x^4-1+\frac{1}{2}x^2-\frac{1}{2!4}x^4}{\sin^4x}=\lim_{x\to 0}\frac{-\frac{1}{12}x^4}{x^4}=-\frac{1}{12}.$


二维码

扫码加我 拉你入群

请注明:姓名-公司-职位

以便审核进群资格,未注明则拒绝

2020-8-2 18:25:43
上海交通大学2020年数学分析考研试题
4.png

解:
                                 $\displaystyle g'(x)=f(x),(x\neq 0),$

                     当$x=0,$
                                 $\begin{align*}g'(0)&=\lim_{x\to 0}\frac{g(x)-g(0)}{x-0}=\lim_{x\to 0}\frac{\frac{\int_{0}^{x}f(t)dt}{x}-0}{x-0}\\\\&=\lim_{x\to 0}\frac{\int_{0}^{x}f(t)dt}{x^2}=\lim_{x\to 0}\frac{\int_{0}^{x}f(t)dt}{x}\\\\&=\lim_{x\to 0}\frac{f(x)}{2x}=\frac{A}{2}.\end{align*}$

                   又由已知,$f(x)$连续,所以可导。由已知等式,知

                                   $\displaystyle \because \lim_{x\to 0}\frac{f(x)}{x}=A.$

                                   $\displaystyle \Rightarrow \lim_{x\to 0}f(x)=0.$

                      由上面求导可知
                                   $\displaystyle \because \lim_{x\to 0}g'(x)=\lim_{x\to 0}f(x)=0.$

                        因而,当$A=0$时,$g'(x)$连续。当$A\neq 0$时,$g'(x)$不连续。



                             
二维码

扫码加我 拉你入群

请注明:姓名-公司-职位

以便审核进群资格,未注明则拒绝

2020-8-2 18:26:19
上海交通大学2020年数学分析考研试题
5.png

解:
            取曲线L:
                              $\displaystyle 4x^2+y^2=\varepsilon ^2,(\varepsilon > 0)$

                  取$\varepsilon$足够小。使$L$包围于$C$内。利用格林公式计算

                              $\displaystyle I=\oint_C\frac{xdy-ydx}{4x^2+y^2}=\frac{1}{\varepsilon ^2}\iint_D 2dxdy+0=\frac{2}{\varepsilon ^2}\cdot \pi\cdot \frac{\varepsilon}{2}\cdot \varepsilon=\pi.$

                   $L$区域外的积分为$0$。



二维码

扫码加我 拉你入群

请注明:姓名-公司-职位

以便审核进群资格,未注明则拒绝

2020-8-2 18:26:54
上海交通大学2020年数学分析考研试题
6.png

解:
              利用Stolze公式
                                    $\displaystyle \lim_{n \to \infty }\frac{I_n}{\ln n}=\lim_{n \to \infty }\frac{I_n-I_{n-1}}{\ln n-\ln(n-1)},$

                    而
                                 $\begin{align*}\because I_n-I_{n-1}&=\int_{0}^{\frac{\pi}{2}}\frac{\sin^2(nt)}{\sin t}dt-\int_{0}^{\frac{\pi}{2}}\frac{\sin^2((n-1)t)}{\sin t}dt\\\\&=\int_{0}^{\frac{\pi}{2}}\frac{(\sin nt-\sin(n-1)t)(\sin nt+\sin(n-1)t)}{\sin t}dt\\\\&=\int_{0}^{\frac{\pi}{2}}\frac{\sin(2n-1)t\cdot \sin t}{\sin t}dt\\\\&=\frac{1}{2n-1}.\end{align*}$

                                $\displaystyle \therefore \lim_{n \to \infty }\frac{I_n}{\ln n}=\frac{\frac{1}{2n-1}}{\ln(1+\frac{1}{n-1})}=\lim_{n \to \infty }\frac{n-1}{2n-1}=\frac{1}{2}.$

注:此题有一定的技巧性,想到不难,想不能就难。

二维码

扫码加我 拉你入群

请注明:姓名-公司-职位

以便审核进群资格,未注明则拒绝

2020-8-2 22:51:16
上海交通大学2020年数学分析真题
1.png
证明:
                          $\displaystyle \because x_n=\sum_{k=1}^{n}(x_{k+1}-x_{k})+x_1,$

                 由已知
                             $\displaystyle \lim_{n \to \infty }(x_{n+1}-x_n)=0,$

                  可知有:
                              $\displaystyle \Rightarrow \forall \varepsilon > 0,\exists N,n> N,s.t.$

                                 $\displaystyle |x_{N+1}-x_N|< \frac{\varepsilon }{3},$

                因此,
                              $\displaystyle \forall \varepsilon > 0,\exists N,n> N,s.t.$

                             $\begin{align*}|\frac{x_n}{n}|&=|\frac{\displaystyle \sum_{k=1}^{N-1}(x_{k+1}-x_{k})+(x_{N+1}-x_N)+x_1}{n}|\\\\&\leq |\frac{\displaystyle \sum_{k=1}^{N-1}(x_{k+1}-x_{k})}{n}|+|\frac{x_{N+1}-x_N}{n}|+|\frac{x_1}{n}|\\\\&=\frac{\varepsilon }{3}+\frac{\varepsilon }{3}+\frac{\varepsilon }{3}=\varepsilon .\end{align*}$

                               命题成立。



二维码

扫码加我 拉你入群

请注明:姓名-公司-职位

以便审核进群资格,未注明则拒绝

2020-8-2 22:51:50
上海交通大学2020年数学分析真题
2.png

证明:可以利用有限覆盖定理证明。

                                 $\displaystyle \because \lim_{x\to x_0}=f(x_0)> 0,$

                                  $\displaystyle \therefore \forall\varepsilon>0,\forall x,x_0\in][a,b], \exists \delta >0,|x-x_0|<\delta ,s.t.$

              由此,有
                                   $\displaystyle f(x)\leq f(x_0)+\varepsilon=c,(c> 0).$

               取开覆盖
                                  $\displaystyle G=\{U(x_0,\delta_{x_0})|\forall x_0\in[a,b]\},$
               
               由有限覆盖定理知,存在有限个开区间

                                    $\displaystyle G^*=\{U(x_{0_i},\delta_{x_{0_i}})|i=1,2\cdots ,n\},$

                     覆盖区间$[a,b]$.且

                                     $\displaystyle x\in U(x_{0_i},\delta_{x_{0_i}}),f(x)\leq c_i,$

                           取
                                       $\displaystyle c=\max\{c_1,c_2,\cdots ,c_n\},$

                                       $\displaystyle \therefore f(x)\leq c.$





            
二维码

扫码加我 拉你入群

请注明:姓名-公司-职位

以便审核进群资格,未注明则拒绝

2020-8-2 22:52:22
上海交通大学2020年数学分析真题
3.png

证明
                 令
                        $F(x)=\int_{a}^{x}f(t)dt,$

                则
                         $F(a)=0,F(b)=\int_{a}^{b}f(x)dx,$

             将$F(a),F(b)$分别在$x=\frac{a+b}{2}$泰勒展开:

                         $\begin{align*}F(a)&=F(\frac{a+b}{2})+F'(\frac{a+b}{2})(\frac{a+b}{2}-a)+\frac{1}{2!}F''(\frac{a+b}{2})(\frac{a+b}{2}-a)^2+\frac{1}{3!}F'''(\xi_1)(\frac{a+b}{2}-a)^3\\\\&=F(\frac{a+b}{2})-f(\frac{a+b}{2})(\frac{b-a}{2})+\frac{1}{2!}f'(\frac{a+b}{2})(\frac{b-a}{2})^2-\frac{1}{3!}f''(\xi_1)(\frac{b-a}{2})^3.\end{align*},$

                         $\begin{align*}F(b)&=F(\frac{a+b}{2})+F'(\frac{a+b}{2})(b-\frac{a+b}{2})+\frac{1}{2!}F''(\frac{a+b}{2})(b-\frac{a+b}{2})^2+\frac{1}{3!}F'''(\xi_1)(b-\frac{a+b}{2})^3\\\\&=F(\frac{a+b}{2})+f(\frac{a+b}{2})(\frac{b-a}{2})+\frac{1}{2!}f'(\frac{a+b}{2})(\frac{b-a}{2})^2+\frac{1}{3!}f''(\xi_1)(\frac{b-a}{2})^3.\end{align*},$

          将两式相减,

                           $\int_{a}^{b}f(x)dx=F(b)-F(a)=f(\frac{a+b}{2})(b-a)+\frac{f''(\xi_1)+f''(\xi_2)}{48}(b-a)^3$

                 其中$\xi_1\in[a,\frac{a+b}{2}],\xi_2\in[\frac{a+b}{2},b],$

           据Darboux定理,
                                    $\exists \xi\in[\xi_1,\xi_2]\subset [a,b],s.t.$

                                     $2f''(\xi)=f''(\xi_1)+f''(\xi_2),$

             代入上式,得

                                   $\int_{a}^{b}f(x)dx=f(\frac{a+b}{2})(b-a)+\frac{f''(\xi)}{24}(b-a)^3.$

                     命题得证。



二维码

扫码加我 拉你入群

请注明:姓名-公司-职位

以便审核进群资格,未注明则拒绝

2020-8-2 22:52:58
上海交通大学2020年数学分析真题
4.png

解:
            题目打错了,数列应为$\{a_n\}.$

      先证级数$\displaystyle f(x)=\sum_{n=1}^{\infty }a_nx^n,$有定义。

           当$L=0$时,级数$\displaystyle f(x)=\sum_{n=1}^{\infty }a_nx^n$在$(-1,1)$上有定义;

           当$L\neq 0$时,$\displaystyle |\frac{a_{n+1}x^{n+1}}{a_nx^n}|=|x|<1$,所以,级数$\displaystyle f(x)=\sum_{n=1}^{\infty }a_nx^n$在$(-1,1)$上有定义。

             再计算极限

                                $\begin{align*}\lim_{x\to1^-}(1-x)f(x)&=\lim_{x\to1^-}\sum_{n=1}^{\infty }a_nx^n-\lim_{x\to1^-}\sum_{n=1}^{\infty }a_nx^{n+1}\\\\&=\lim_{x\to1^-}[a_1x+\sum_{n=1}^{\infty}(a_{n+1}-a_n)x^{n+1}]\\\\&=a_1+\sum_{n=1}^{\infty }(a_{n+1}-a_n)\\\\&=a_1+\lim_{n \to \infty }(a_{n+1}-a_1)\\\\&=L.\end{align*}$

二维码

扫码加我 拉你入群

请注明:姓名-公司-职位

以便审核进群资格,未注明则拒绝

栏目导航
热门文章
推荐文章

说点什么

分享

扫码加好友,拉您进群
各岗位、行业、专业交流群