经管之家App
让优质教育人人可得
立即打开
全部版块
我的主页
›
论坛
›
计量经济学与统计论坛 五区
›
计量经济学与统计软件
›
经管代码库
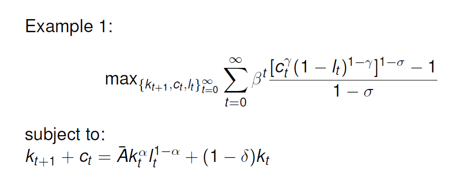
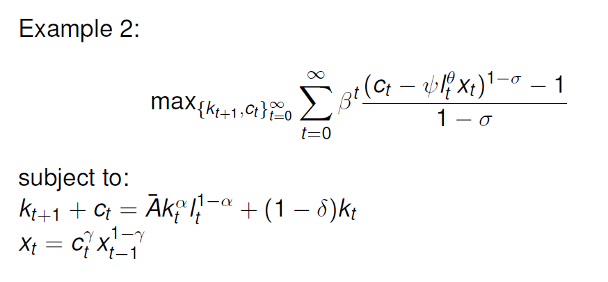
如何用MATLAB来复制经济模型?
楼主
ljj66666
1192
1
收藏
2020-03-28
老师留的作业,但之前没有matlab的基础,想请问一下如何用matlab复制经济模型,谢谢各位。
附件列表
QQ截图20200328095216.png
原图尺寸 38.86 KB
QQ截图20200328095207.png
原图尺寸 33.51 KB
QQ截图20200328095154.png
原图尺寸 9.76 KB
扫码加我 拉你入群
请注明:姓名-公司-职位
以便审核进群资格,未注明则拒绝
全部回复
沙发
皮影戏077
2020-4-16 07:31:21
解决了吗?同求
扫码加我 拉你入群
请注明:姓名-公司-职位
以便审核进群资格,未注明则拒绝
相关推荐
On the Robustness of Unit Root Tests in the Presence of Double Unit Roots
论坛开张并诚招版主
庆祝论坛开张并诚招版主
有志于报考人大经济学院的同学朋友们看过来
庆祝论坛开张并诚招各分论坛版主
On the Robustness of Unit Root Tests in the Presence of Double Unit Roots
双单位根存在情况下单位根检验的稳健性研究
Local Power Functions of Tests for Double Unit Roots
周小川:调利率还需观察 息口盯住5%通胀率
栏目导航
经管代码库
经管文库(原现金交易版)
行业分析报告
SAS专版
人力资源管理
发展经济学
热门文章
AI Core产业营销思考
【24重磅,顶刊热点!】2008-2024上市公司股吧 ...
用论文示例+AI讲解计量方法:Stata实证研究 ...
CDA数据分析师:全流程拆解数据治理开展路径 ...
《数据要素发展报告(2025年)》---来源:中 ...
【多指标】2000-2024年上市公司企业债务融资 ...
CDA数据分析脱产就业班于2025年12月08日开班 ...
北京统计年鉴2025(excel)、北京统计年鉴2 ...
《智能制造标准化发展研究报告(2025)》-- ...
2025中国企业数智化转型案例研究报告
推荐文章
12月武汉站|Deepseek辅助论文写作与数据分 ...
2026JG学术冬训营:从Stata初高到Python机器 ...
关于如何利用文献的若干建议
关于学术研究和论文发表的一些建议
关于科研中如何学习基础知识的一些建议 (一 ...
一个自编的经济学建模小案例 --写给授课本科 ...
AI智能体赋能教学改革: 全国AI教育教学应用 ...
2025中国AIoT产业全景图谱报告-406页
关于文献求助的一些建议
几种免费下载文献的方法----我的文献应助经
说点什么
分享
微信
QQ空间
QQ
微博
扫码加好友,拉您进群
各岗位、行业、专业交流群