全部版块 我的主页
论坛 计量经济学与统计论坛 五区 计量经济学与统计软件
19318 22
2020-03-31
       对于多变量GARCH模型,最初是由Kraft和Engle(1982)以及Bollerslev,Chou和Kroner(1992)提出,即Vech GARCH模型。然而该模型有如下两个缺点:第一,该模型存在大量的待估参数如果对于n个变量,分别滞后pq阶,那么待估参数将达到[n(n+1)/2][1+(p+q)n(n+1)/2]个。因此为了有效地估计参数,则需要大量的样本。第二,该模型的另一个缺点在于方差协方差矩阵的正定性难以保证,这也使得该模型在现实中很少使用。


      
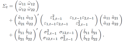
针对于Vech GARCH模型的第二个缺点,Engle和Kroner (1995)提出了BEKK GARCH模型。以2个变量,且滞后阶数为1为例,该模型为:

158.jpg



        对于BEKK模型来说,它的优点在于能容易地施加约束条件从而保证方差协方差矩阵的正定性。然而它也有一些缺点,首先待估参数的个数仍然比较多,为了有效的估计参数,仍然需要大量的样本;其次参数的含义不明确,不能直观的分析哪个解释变量对被结束变量的影响。如果需要分析变量之间的影响关系,需要将矩阵写成方程的形式,即将矩阵之间的乘积化简,在变量比较多的情况下,也有一定的难度。



附件列表
158.jpg

原图尺寸 24.7 KB

158.jpg

二维码

扫码加我 拉你入群

请注明:姓名-公司-职位

以便审核进群资格,未注明则拒绝

全部回复
2020-3-31 15:09:08
thanks for sharing
二维码

扫码加我 拉你入群

请注明:姓名-公司-职位

以便审核进群资格,未注明则拒绝

2020-3-31 16:30:09
tianwk 发表于 2020-3-31 15:09
thanks for sharing
thanks
二维码

扫码加我 拉你入群

请注明:姓名-公司-职位

以便审核进群资格,未注明则拒绝

2020-5-13 16:51:16
冰枫冷羽 发表于 2020-3-31 02:50
对于多变量GARCH模型,最初是由Kraft和Engle(1982)以及Bollerslev,Chou和Kroner(1992)提出,即Vech  ...
你好,我想问一下bekk garch的A,B矩阵,也就是arch项系数和garch项系数需要满足和大于1吗?
二维码

扫码加我 拉你入群

请注明:姓名-公司-职位

以便审核进群资格,未注明则拒绝

2020-5-13 20:17:12
ElviraTeng 发表于 2020-5-13 16:51
你好,我想问一下bekk garch的A,B矩阵,也就是arch项系数和garch项系数需要满足和大于1吗?
多元模型一般不会考虑参数矩阵各个元素需要满足什么性质,因为太复杂了,一般会考虑参数矩阵的特征根,具体可看下Tsay的多元金融时间序列
二维码

扫码加我 拉你入群

请注明:姓名-公司-职位

以便审核进群资格,未注明则拒绝

2020-5-17 14:26:31
冰枫冷羽 发表于 2020-3-31 02:50
对于多变量GARCH模型,最初是由Kraft和Engle(1982)以及Bollerslev,Chou和Kroner(1992)提出,即Vech  ...
好的,谢谢!
二维码

扫码加我 拉你入群

请注明:姓名-公司-职位

以便审核进群资格,未注明则拒绝

点击查看更多内容…
相关推荐
栏目导航
热门文章
推荐文章

说点什么

分享

扫码加好友,拉您进群
各岗位、行业、专业交流群