全部版块 我的主页
论坛 数据科学与人工智能 数据分析与数据科学 SAS专版
2628 4
2010-05-15
悬赏 10 个论坛币 未解决
question1
proc nlp data=t1;
  max logf;
parms const pri sec man her10 size tang gea exch ind1 ind2 ind3 ind4 ind5 ind6 ind7 ind8 ind9 ind10 ind11 ind12 ind13 ind14 ind15 ind16 ind17 ind18 ind19 ind20 ind21 ind22 y1 y2 y3 y4 y5;
   u=roa - (const + pri * prilarge + sec * second + man*manager+her10*h10+size*size_roa+tang*tangible+gea*gear+exch*exchange+ind1*B+ind2*C+ind3*D+ind4*E+ind5*F+ind6*G+ind7*H+ind8*I+ind9*J+ind10*K+ind11*L+ind12*M+ind13*C0+ind14*C1+ind15*C2+ind16*C3+ind17*C4+ind18*C5+ind19*C6+ind20*C7+ind21*C8+ind22*C99+y1*year99+y2*year00+y3*year01+y4*year02+y5*year03);
  sigmau2=0.0604154**2;
  sigmae2=0.0675433**2;
  no=_n_;
f=-0.5*(((roa-const+pri*prilarge+sec*second+man*manager+her10*h10+size*size_roa+tang*tangible+gea*gear+exch*exchange+ind1*B+ind2*C+ind3*D+ind4*E+ind5*F+ind6*G+ind7*H+ind8*I+ind9*J+ind10*K+ind11*L+ind12*M+ind13*C0+ind14*C1+ind15*C2+ind16*C3+ind17*C4+ind18*C5+ind19*C6+ind20*C7+ind21*C8+ind22*C99+y1*year99+y2*year00+y3*year01+y4*year02+y5*year03)^2-sigmau2*u**2/(no*sigmau2+sigmae2))/sigmae2+log(no*sigmau2/sigmae2+1)+no*log(2π*sigmae2));
  logf=log(f);
run;
询问,为什么我跑这个程序会出现提示:
           proc nlp data=t1;
              ERROR: 过程 NLP 没有找到。
我安装的SAS是9.1版的,是否与SAS的版本有关,只在9.2中才能跑那个语句么?
还有,请帮忙看一下语句编写是否有误?
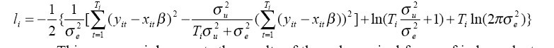
主要是想用极大似然面板估计法MLP法做,即通过 未命名1.jpg 进而计算回归方程 未命名.jpg ,得出多个贝塔的估计值(X中有多个变量)。


question2
另,不知道MLP用上面的程序是否正确,我又编了以下的程序,不知道哪一个才是正确的,烦请指正(如下述)
proc mixed data=group3.sampleroa  method=ml covtest;
class stkcd;
model  roa=exchange gear tangible size_roa manager h10 second prilarge year99 year00
year01 year02 year03 b c c0 c1 c2 c3 c4 c5 c6 c7 c8 c99 d e f g h i j k l m/solution;
random intercept year99 year00 year01 year02 year03 / sub=stkcd;
run;
quit;



question3
我用了上面的程序,但是结果
   未命名2.jpg
由于没有自由度DF,造成P值缺失,这又是怎么回事呢?有哪些因素会造成自由度变为0啊???明明原始数据里有3000多个观测的,而我的因变量不超过20个。这个问题在网络上搜了好几次,一直搜不到解决的方法,希望论坛里的高手能帮忙解决一下,感激不尽。。
P.S如果哪个细节没有说清楚,请留言,我再详说。
二维码

扫码加我 拉你入群

请注明:姓名-公司-职位

以便审核进群资格,未注明则拒绝

全部回复
2010-5-15 18:29:03
自己给自己顶一下,没人回答么?
二维码

扫码加我 拉你入群

请注明:姓名-公司-职位

以便审核进群资格,未注明则拒绝

2010-5-16 12:50:48
继续问~~有知道的回答一下啊,不用全部都解决
二维码

扫码加我 拉你入群

请注明:姓名-公司-职位

以便审核进群资格,未注明则拒绝

2010-5-16 19:55:32
能把NLP过程步学透,可不是仅仅知道一点统计学知识,至少还要要高等数学一和运筹学知识。所以估计你这个问题很少有人能回答。不过,对于你第二个问题,我个人感觉你用的class变量可能有非常多的值,从而对每一个类中的观测数少于变量的个数,导致自由度为0,仅仅是猜测。里外,你可以把你的数据做成TXT文档发上来,我给你看看,但是不能保证能解决你的问题。因为我以前只是用这个过程步做过logistic的系数(也是用的ML方法)
二维码

扫码加我 拉你入群

请注明:姓名-公司-职位

以便审核进群资格,未注明则拒绝

2010-5-17 11:07:25
4# nkwilling
谢谢哈,这么久没人回答,我都要放弃拉,幸好。
数据文件我做成TXT上传了,模型里的年度(year99等)和行业变量(B、C、C0、C99等是行业类别)是哑变量,分类的确比较多。汗~~对NLP这个过程,我学SAS的时间比较短,NLP那几句我也只是看人家的示例自己试着写的,已经预感到问题会很多,但是第一步就没跑出来,有点受打击。所以希望能够有人帮忙分析下原因。
无论如何,感谢回答,如果版主能够帮忙解决,将不胜感激!
附件列表

sample98-03.txt

大小:1.61 MB

 马上下载

二维码

扫码加我 拉你入群

请注明:姓名-公司-职位

以便审核进群资格,未注明则拒绝

相关推荐
栏目导航
热门文章
推荐文章

说点什么

分享

扫码加好友,拉您进群
各岗位、行业、专业交流群