全部版块 我的主页
论坛 计量经济学与统计论坛 五区 计量经济学与统计软件 Stata专版
4163 2
2020-04-21
股价崩盘风险指数模型包含周平均收益率和标准差

数据说明
原始数据包含:公司基础信息、周个股收益率、综合周市场收益率(2000-2019年的完整数据)
•数据格式为:dta格式(Stata14及以上版本)  最后计算结果格式有Excel格式
•选取2000—2019年沪深两市A股上市公司为研究对象,使用的数据均来源于CSMAR数据库
•剔除了每年交易周数小于30(具体可以根据需要调整)的样本
•字段包含以2012年证监会行业标准,代码中剔除金融保险业,如不需剔除可以将里面注释的代码修改即可
•结果提供交易状态可用筛选:正常交易、ST、*ST、PT、退市整理期(未做剔除)


计算方法

借鉴chenetal(2001)及许年行等(2012)的研究,采用两种指标NCSKEW和DUVOL作为股价崩盘风险的测度指标。[ Chen J, Hong H, Stein J C.Forecasting Crashes: Trading Volume, Past Returns, and Conditional Skewness in Stock Prices[J].Journal of Financial Economics, 2001, 61(6): 345-381 .]度量方法如下:
首先,通过式(1)进行回归,测算每支股票的收益率不能被市场收益率解释的部分。
          公式(1) 2.png
其中,Ri,t是股票i在某一年第t周的周收益率,是股票市场在某一年第t期的周收益率(流通市值加权平均法)。因股票非同步交易的影响,加入滞后两期的市场收益和以及超前两期的市场收益和。其次,基于式(1)求出残差项,并依照公式对残差项进行对数转换,表示股票i在第t周的特有收益率。最后,构建股价崩盘风险的两种测量指标。
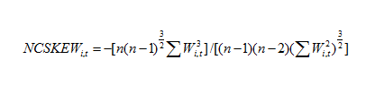
(1)负收益偏态系数NCSKEW
                  公式(2) 3.png
(2)收益上下波动比率DUVOL
                                    公式(3) 4.png
股价崩盘风险扩展指数2000-2019.zip
大小:(84.7 MB)

只需: 200 个论坛币  马上下载

本附件包括:

  • 代码.do
  • 公司基础信息.dta
  • 公司基础信息.xlsx
  • 周个股回报率.dta
  • 媒体报道、制度环境与股价崩盘风险(罗进辉).pdf
  • 崩盘风险.dta
  • 崩盘风险.xlsx
  • 综合周市场回报率.dta




资料列表
微信图片_20200421221907.png


二维码

扫码加我 拉你入群

请注明:姓名-公司-职位

以便审核进群资格,未注明则拒绝

全部回复
2020-10-4 21:07:29
问一下楼主,这个数据里面有没有周特有收益率(Ret,第t年的平均周特有收益率)、周特有收益率标准差(Sigma,第t年周特有收益的标准差)两个指标?
二维码

扫码加我 拉你入群

请注明:姓名-公司-职位

以便审核进群资格,未注明则拒绝

2022-1-6 17:00:36
hnaxyb 发表于 2020-10-4 21:07
问一下楼主,这个数据里面有没有周特有收益率(Ret,第t年的平均周特有收益率)、周特有收益率标准差(Sigm ...
您好,这两个指标您找到了吗
二维码

扫码加我 拉你入群

请注明:姓名-公司-职位

以便审核进群资格,未注明则拒绝

相关推荐
栏目导航
热门文章
推荐文章

说点什么

分享

扫码加好友,拉您进群
各岗位、行业、专业交流群