全部版块 我的主页
论坛 数据科学与人工智能 数据分析与数据科学 MATLAB等数学软件专版
799 3
2020-05-01
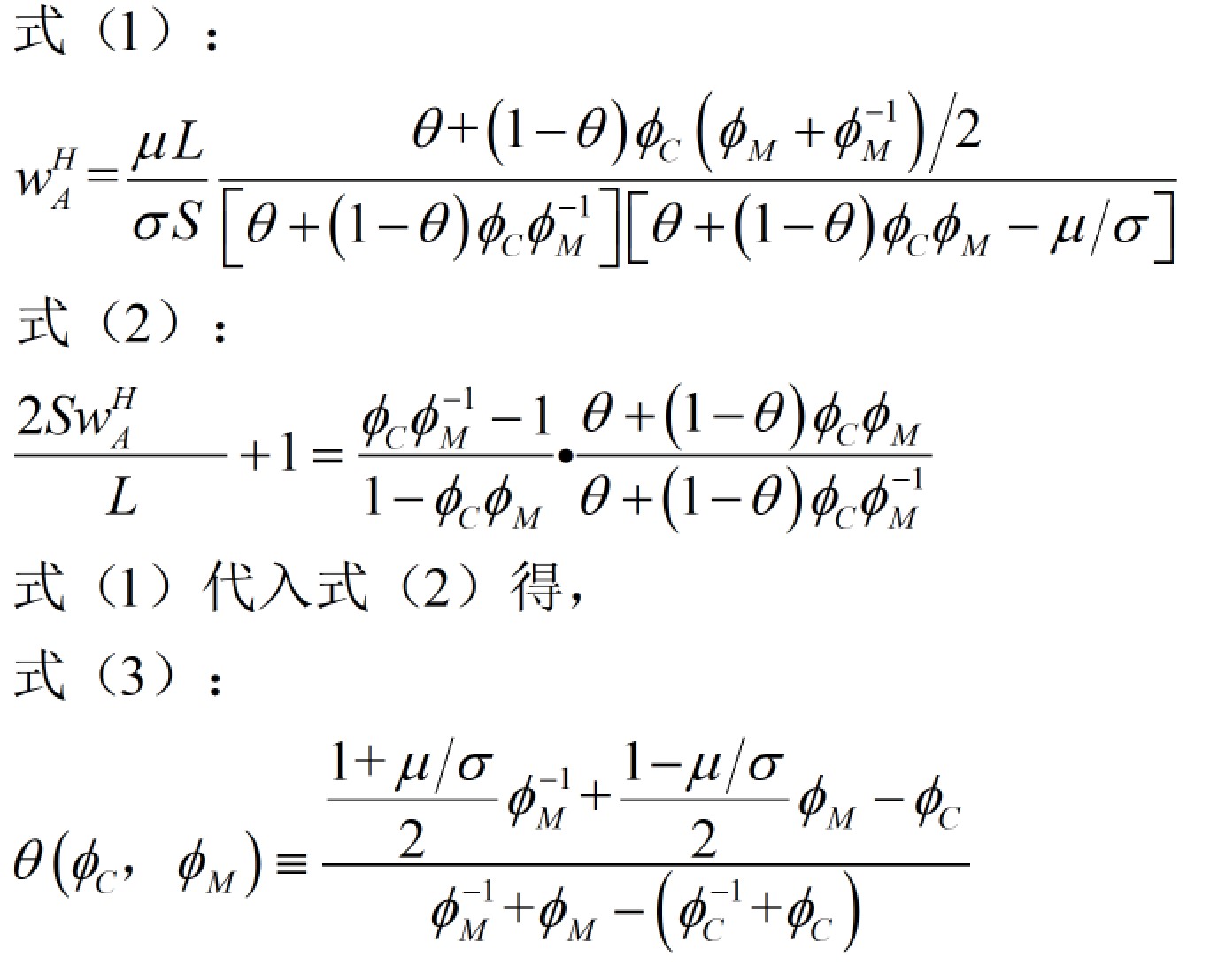
本人是Matlab小白,目前尚在Matlab初学阶段。今天看论文遇到如下难题,如图所示,式(1)和式(2)已知,能否通过Matlab,求解得出式(3)?

或者,是否有其他方法求解此方程组?

请坛友们不吝赐教,谢谢大家!
附件列表
方程求解.jpg

原图尺寸 148.1 KB

Matlab,编程,求解

Matlab,编程,求解

二维码

扫码加我 拉你入群

请注明:姓名-公司-职位

以便审核进群资格,未注明则拒绝

全部回复
2020-5-2 00:07:44
补充条件:ΦCΦMΦCΦM1
二维码

扫码加我 拉你入群

请注明:姓名-公司-职位

以便审核进群资格,未注明则拒绝

2020-5-2 09:57:13
您以为Matlab是陈景润教授吗?给他一堆公式帮你自动推导
二维码

扫码加我 拉你入群

请注明:姓名-公司-职位

以便审核进群资格,未注明则拒绝

2020-5-2 12:49:52
317792209 发表于 2020-5-2 09:57
您以为Matlab是陈景润教授吗?给他一堆公式帮你自动推导
谢谢版主回复!我之前尝试着手动推导了一下,展开后是个关于θ的复杂二次方程,解起来实在太繁琐了,感觉也简化不成式(3)的样子。畏难心理让我放弃继续求解了。所以想着在群里求教一下,看看是否有求解的捷径。如果Matlab不能实现的话,还想问问坛友是否还有其他解决方法。我自己也再尝试问问相关研究方向的人是如何推导这种情况的。
二维码

扫码加我 拉你入群

请注明:姓名-公司-职位

以便审核进群资格,未注明则拒绝

相关推荐
栏目导航
热门文章
推荐文章

说点什么

分享

扫码加好友,拉您进群
各岗位、行业、专业交流群